





所属成套资源:2023年新高考地区数学名校地市选填压轴题好题汇编
2023年新高考地区数学名校地市选填压轴题好题汇编(十九)
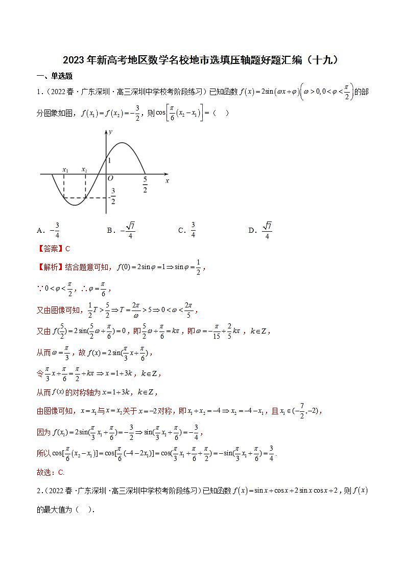
展开2023年新高考地区数学名校地市选填压轴题好题汇编(十九) 一、单选题1.(2022春·广东深圳·高三深圳中学校考阶段练习)已知函数的部分图象如图,,则( )A. B. C. D.2.(2022春·广东深圳·高三深圳中学校考阶段练习)已知函数,则的最大值为( ).A. B. C. D.3.(2022春·广东·高三校联考阶段练习)已知.则的大小关系为( )A. B.C. D.4.(2022春·湖南株洲·高三校联考阶段练习)已知数列满足:,,且,,其中.若,数列的前n项和为,则使得成立的( )A.60 B.61 C.120 D.1215.(2022春·湖南株洲·高三校联考阶段练习)已知双曲线的离心率为,过左焦点且与实轴垂直的弦长为1,A、B分别是双曲线的左、右顶点,点P为双曲线右支上位于第一象限的动点,PA,PB的斜率分别为,,则的取值范围是( )A. B. C. D.6.(2022春·湖南长沙·高三校考阶段练习),,,则( )A. B.C. D.7.(2022春·湖南长沙·高三雅礼中学校考阶段练习)在ΔABC中,角A,B,C所对的边分别是a,b,c,若ccosA+acosC=2,AC边上的高为,则∠ABC的最大值为( )A. B. C. D.8.(2022春·湖北襄阳·高三襄阳五中校考阶段练习)数列满足,,则下列说法错误的是( )A.若且,数列单调递减B.若存在无数个自然数,使得,则C.当或时,的最小值不存在D.当时,9.(2022春·湖北襄阳·高三襄阳五中校考阶段练习)己知的上、下焦点分别是,,若椭圆C上存在点P使得,,则其离心率的值是( )A. B. C. D.10.(2022春·湖北·高三校联考阶段练习)已知函数是定义在上的奇函数,且对任意的,成立,当时,,若对任意的,都有,则的最大值是( )A. B. C. D.11.(2022春·湖北·高三湖北省仙桃中学校联考阶段练习)定义在上的偶函数满足,当时,,则( )A. B.C. D.12.(2022春·山东威海·高三威海市第一中学校联考阶段练习)已知等差数列中,,设函数,记,则数列的前项和为( )A. B. C. D.13.(2022春·山东聊城·高三山东聊城一中校考阶段练习)直线经过椭圆的左焦点,交椭圆于两点,交轴于点,若,则该椭圆的离心率是A. B. C. D.14.(2022春·山东·高三利津县高级中学校联考阶段练习)已知函数的定义域为,对任意的,,都有,且当时,恒成立.若,则不等式的解集是( )A. B. C. D.15.(2022春·福建福州·高三校联考期中)已知函数,则过点可作曲线的切线的条数最多为( )A.1 B.2 C.3 D.416.(2022春·福建莆田·高三莆田第五中学校考阶段练习)在中,角的对边分别为,若成等差数列,则( )A. B. C. D.17.(2022春·福建莆田·高三莆田第五中学校考阶段练习)若对任意的 ,,且,都有,则m的最小值是( )A. B. C.1 D.18.(2022春·福建龙岩·高三上杭县第二中学校考阶段练习)已知点P是椭圆C:上一点,点、是椭圆C的左、右焦点,若的内切圆半径的最大值为,若椭圆的长轴长为4,则的面积的最大值为( )A.2 B.2 C. D.19.(2022春·江苏·高三江苏省新海高级中学校联考阶段练习)若直线与曲线和曲线都相切,则直线的条数有( )A.1 B.2 C.3 D.无数条20.(2022春·江苏镇江·高三校联考阶段练习)已知,,有如下结论:①有两个极值点;②有个零点;③的所有零点之和等于零.则正确结论的个数是( )A. B. C. D.二、多选题21.(2022春·广东深圳·高三深圳中学校考阶段练习)已知,则( )A. B.C. D.22.(2022春·广东·高三校联考阶段练习)抛物线有如下光学性质:平行于抛物线对称轴的入射光线经抛物线反射后必过抛物线的焦点;反之,由其焦点射出的光线经抛物线反射后,沿平行于抛物线对称轴的方向射出,已知抛物线的焦点为F,一束平行于x轴的光线从点射入,经过C上的点反射后,再经C上另一点反射后,沿直线射出,则( )A. B.C.延长(为坐标原点)交直线于点,则轴 D.23.(2022春·湖南株洲·高三校联考阶段练习)若,,则下列不等关系正确的有( )A. B. C. D.24.(2022春·湖南株洲·高三校联考阶段练习)已知函数在区间上有且仅有4条对称轴,则下列四个结论正确的是( )A.在区间上有且仅有3个不同的零点B.的最小正周期可能是C.的取值范围是D.在区间上单调递增25.(2022春·湖南长沙·高三校考阶段练习)已知函数,则下列说法正确的是( )A.函数在的值域为B.若实数满足且,则的取值范围是C.实数,关于的方程恰有五个不同实数根D.实数,关于的方程有四个不同实数根26.(2022春·湖南长沙·高三雅礼中学校考阶段练习)已知当时,不等式恒成立,则正实数的值可以为( )A.1 B. C.e D.27.(2022春·湖北襄阳·高三襄阳五中校考阶段练习)如图,过双曲线右支上一点P作双曲线的切线l分别交两渐近线于A、B两点,交x轴于点D,分别为双曲线的左、右焦点,O为坐标原点,则下列结论正确的是( )A.B.C.D.若存在点P,使,且,则双曲线C的离心率28.(2022春·湖北·高三校联考阶段练习)已知函数在上恰有3个零点,则( )A.B.在上单调递减C.函数在上最多有3个零点D.在上恰有2个极值点29.(2022春·湖北·高三湖北省仙桃中学校联考阶段练习)设函数,则下列命题中正确的是( )A.若方程有四个不同的实根,,,,则的取值范围是B.若方程有四个不同的实根,,,,则的取值范围是C.若方程有四个不同的实根,则的取值范围是D.方程的不同实根的个数只能是1,2,3,630.(2022春·山东威海·高三威海市第一中学校联考阶段练习)已知函数,则( )A.B.C.若函数恰有个零点,则D.当时,31.(2022春·山东·高三利津县高级中学校联考阶段练习)已知函数,数列按照如下方式取定:,曲线在点处的切线与经过点与点的直线平行,则( )A. B.恒成立 C. D.数列为单调数列32.(2022春·山东·高三利津县高级中学校联考阶段练习)已知正方体的棱长为2,、、是棱、、上的动点(包含端点),且满足,则下列结论正确的是( )A.平面B.存在、、,使得点到平面的距离为1C.平面截此正方体所得截面面积的最大值为D.平面截此正方体所得截面的周长为定值33.(2022春·福建福州·高三校联考期中)如图,在长方体中,,分别是棱的中点,点在侧面内,且,则( )A.的最小值是B.C.三棱锥的体积是定值D.三棱锥的外接球表面积的取值范围是34.(2022春·福建莆田·高三莆田第五中学校考阶段练习)在数学课堂上,为提高学生探究分析问题的能力,教师引导学生构造新数列:现有一个每项都为1的常数列,在此数列的第项与第项之间插入首项为2,公比为2,的等比数列的前项,从而形成新的数列,数列的前项和为,则( )A. B.C. D.35.(2022春·福建龙岩·高三上杭县第二中学校考阶段练习)已知数列满足,,则下列结论中正确的是( )A.B.为等比数列C.D.36.(2022春·江苏·高三江苏省新海高级中学校联考阶段练习)已知直线与圆相交于两不同的点,与两坐标轴分别交于C,D两点,则下列说法正确的是( )A.的取值范围为B.的最大值为C.直线一定与圆相离D.存在,使得37.(2022春·江苏镇江·高三校联考阶段练习)已知函数(),(),则下列说法正确的是( )A.若有两个零点,则B.若且,则C.函数在区间有两个极值点D.过原点的动直线l与曲线相切,切点的横坐标从小到大依次为:,,…,.则三、填空题38.(2022春·广东·高三校联考阶段练习)若存在直线与曲线,都相切,则的范围是__________.39.(2022春·湖南株洲·高三校联考阶段练习)在四棱锥P-ABCD中,已知底面ABCD是边长为的正方形,其顶点P到底面ABCD的距离为4.该四棱锥的外接球O的半径为7,若球心O在四棱锥P-ABCD内,则顶点P的轨迹长度为_____________.40.(2022春·湖南长沙·高三校考阶段练习)在空间直角坐标系中,定义:平面的一般方程为,点到平面的距离,则在底面边长与高都为2的正四棱锥中,底面中心O到侧面的距离等于________.41.(2022春·湖南长沙·高三雅礼中学校考阶段练习)设,同时为椭圆与双曲线的左、右焦点,设椭圆与双曲线在第一象限内交于点M,椭圆与双曲线的离心率分别为,,O为坐标原点,若,则的取值范围是______.42.(2022春·湖北襄阳·高三襄阳五中校考阶段练习)已知函数,其中.若恒成立,则a的取值范围是_________.43.(2022春·湖北·高三湖北省仙桃中学校联考阶段练习)已知,,则实数的取值范围为_________.44.(2022春·山东威海·高三威海市第一中学校联考阶段练习)在三棱锥中,平面ABC,,.以A为球心,表面积为的球面与侧面PBC的交线长为______.45.(2022春·山东·高三利津县高级中学校联考阶段练习)已知矩形的边,,为的中点,为矩形所在平面内的动点,且,则的取值范围为______.46.(2022春·福建福州·高三校联考期中)函数的值域是______.47.(2022春·福建福州·高三校联考期中)在数列中,,且,则的前2023项和是______.48.(2022春·福建莆田·高三莆田第五中学校考阶段练习)已知,设函数,存在满足,且,则的取值范围是______.49.(2022春·福建龙岩·高三上杭县第二中学校考阶段练习)设定点 ,动点N在圆上运动,以 为邻边作平行四边形 ,求点P的轨迹为______.50.(2022春·江苏·高三江苏省新海高级中学校联考阶段练习)如图,是面积为2的等腰直角三角形,记的中点为,以为直角边第一次构造等腰,记的中点为,以为直角边第二次构造等腰,以此类推,当第次构造的等腰的直角边所构成的向量与同向时,构造停止,则构造出的所有等腰直角三角形的面积之和为______.51.(2022春·江苏镇江·高三校联考阶段练习)已知三个内角A,B,C的对边a,b,c依次成等比数列,且,,点T为线段AB(含端点)上的动点,若满足的点T恰好有2个,则实数t的取值范围______.四、双空题52.(2022春·湖南株洲·高三校联考阶段练习)已知抛物线E:的焦点为F,过点F的直线l与抛物线交于A,B两点,与准线交于C点,为的中点,且,则_____________;设点是抛物线上的任意一点,抛物线的准线与轴交于点,在中,,则的最大值为_____________.53.(2022春·湖南长沙·高三校考阶段练习)已知函数则根为_____________;若函数有四个零点,则实数的取值范围是___________.54.(2022春·山东·高三利津县高级中学校联考阶段练习)著名的斐波那契数列满足,,其通项公式为,则是斐波那契数列中的第______项;又知高斯函数也称为取整函数,其中表示不超过的最大整数,如,,则______.(