


云南省教能教育集团2023-2024学年高一上学期12月月考英语试题
展开
这是一份云南省教能教育集团2023-2024学年高一上学期12月月考英语试题,共12页。试卷主要包含了本卷命题范围等内容,欢迎下载使用。
考生注意:
1.满分150分,考试时间120分钟。
2.考生作答时,请将答案答在答题卡上。选择题每小题选出答案后,用2B铅笔把答题卡上对应题目的答案标号涂黑;非选择题请用直径0.5毫米黑色墨水签字笔在答题卡上各题的答题区域内作答,超出答题区域书写的答案无效,在试题卷、草稿纸上作答无效。
3.本卷命题范围:必修第一册。
第一部分 听力(共两节,满分30分)
第一节(共5小题;每小题1.5分,满分7.5分)
听下面5段对话。每段对话后有一个小题,从题中所给的A、B、C三个选项中选出最佳选项,并标在试卷的相应位置。听完每段对话后,你都有10秒钟的时间来回答有关小题和阅读下一小题。每段对话仅读一遍。
1.What des Lana want t-be?
A.A lawyer.B.A teacher.C.A reprter.
2.Where are the speakers prbably ging t eat lunch?
A.At hme.B.At a cafe.C.At a park.
3.What is the man’s suggestin fr the wman?
A.Fllwing her mther’s advice.B.Chsing a prmising career.C.Making decisins n her wn.
4.Hw did Tm feel a mment ag?
A.Happy.B.Sad.C.Cnfused.
5.What d the speakers say abut baseball?
A.It is their favrite sprt.B.It is the mst bring sprt.C.It is mre interesting than basketball.
第二节(共15小题;每小题1.5分,满分22.5分)
听下面5段对话或独白。每段对话或独白后有几个小题,从题中所给的A、B、C三个选项中选出最佳选项,并标在试卷的相应位置。听每段对话或独白前,你将有时间阅读各个小题,每小题5秒钟;听完后,各小题将给出5秒钟的作答时间。每段对话或独白读两遍。
听第6段材料,回答第6、7题。
6.Where des the N. 60 bus g?
A.The train statin.B.The stadium.C.The museum.
7.Which bus will the man take?
A.The N. 88 bus.B.The N. 60 bus.C.The N. 56 bus.
听第7段材料,回答第8、9题。
8.What caused the man’s prblem?
A.His wrry.B.His wund.C.His verwrk.
9.Wh prbably is the wman?
A.A manager.B.A dctr.C.A teacher.更多课件 教案 视频 等优质滋源请 家 威杏 MXSJ663 听第8段材料,回答第10至12题。
10.Hw will Lily g t Lndn?
A.By train.B.By bus.C.By plane.
11.Hw much is a student travel card fr six mnths?
A.£6.B.£16.C.£60.
12.What else are needed t get the card besides mney?
A.An ID card.B.A letter and phts.C.An applicatin frm.
听第9段材料,回答第13至16题。
13.What is Amy interested in?
A.The high jump.B.Running.C.The lng jump.
14.Wh is the fastest runner in Amy’s class?
A.Amy.B.Steven.C.Lily.
15.What d we knw abut Steven?
A.He wn’t take part in the sprts meeting this year.
B.He has wn the first prize in the high jump.
C.He did best in the lng jump last year.
16.What is the relatinship between the speakers?
A.Schlmates.B.Teacher and student.C.Interviewer and interviewee.
听第10段材料,回答第17至20题。
17.Where des the speaker usually have breakfast?
A.In the garden.B.In the kitchen.C.In the dining rm.
18.What is the speaker prbably?
A.A vilinist.B.A ck.C.A waitress.
19.What des the speaker usually d at 6:30 pm?
A.Meet friends.B.Have dinner.C.G t wrk.
20.When des the speaker usually get hme?
A.At 10:30 pm.B.At 00:30 am.C.At 2:00 am.
第二部分 阅读(共两节,满分50分)
第一节(共15小题;每小题2.5分,满分37.5分)
阅读下列短文,从每题所给的A、B、C、D四个选项中选出最佳选项。
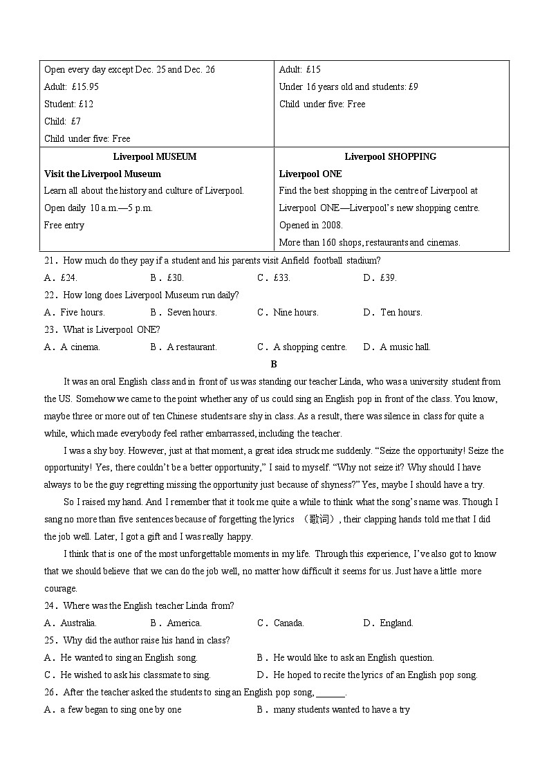
A
21.Hw much d they pay if a student and his parents visit Anfield ftball stadium?
A.£24.B.£30.C.£33.D.£39.
22.Hw lng des Liverpl Museum run daily?
A.Five hurs.B.Seven hurs.C.Nine hurs.D.Ten hurs.
23.What is Liverpl ONE?
A.A cinema.B.A restaurant.C.A shpping centre.D.A music hall.
B
It was an ral English class and in frnt f us was standing ur teacher Linda, wh was a university student frm the US. Smehw we came t the pint whether any f us culd sing an English pp in frnt f the class. Yu knw, maybe three r mre ut f ten Chinese students are shy in class. As a result, there was silence in class fr quite a while, which made everybdy feel rather embarrassed, including the teacher.
I was a shy by. Hwever, just at that mment, a great idea struck me suddenly. “Seize the pprtunity! Seize the pprtunity! Yes, there culdn’t be a better pprtunity,” I said t myself. “Why nt seize it? Why shuld I have always t be the guy regretting missing the pprtunity just because f shyness?” Yes, maybe I shuld have a try.
S I raised my hand. And I remember that it tk me quite a while t think what the sng’s name was. Thugh I sang n mre than five sentences because f frgetting the lyrics (歌词), their clapping hands tld me that I did the jb well. Later, I gt a gift and I was really happy.
I think that is ne f the mst unfrgettable mments in my life. Thrugh this experience, I’ve als gt t knw that we shuld believe that we can d the jb well, n matter hw difficult it seems fr us. Just have a little mre curage.
24.Where was the English teacher Linda frm?
A.Australia.B.America.C.Canada.D.England.
25.Why did the authr raise his hand in class?
A.He wanted t sing an English sng.B.He wuld like t ask an English questin.
C.He wished t ask his classmate t sing.D.He hped t recite the lyrics f an English pp sng.
26.After the teacher asked the students t sing an English pp sng, ______.
A.a few began t sing ne by neB.many students wanted t have a try
C.almst all the students were excitedD.the students kept silent fr sme time
27.What des the authr want t tell us in the text?
A.Students shuld be active in class.B.Hard wrk can help peple succeed.
C.Peple need curage t vercme difficulties.D.Being helpful can benefit neself and thers.
C
When yu’re sitting in class r behind yur desk waiting fr the clck t strike a time when yu can g hme, it is natural that yur mind shuld wander a bit. It is cmmn fr yur mind t wander t a vacatin and even travel the wrld. What if there is a way that yu can travel the wrld withut having t pay any mney?
A persn that managed t make it arund the wrld withut spending much was Shantanu Starick. Hw did he trade ff his service? Starick realized that as a phtgrapher he had a service that peple wuld usually be willing t pay mney fr, but he wuld instead ffer his phtgraphy service t anyne wh culd prvide him with fd, shelter and transprtatin.
Starick has been traveling fr a surprising 30 mnths and has visited cuntries ranging frm the United States t Ecuadr.
In English-speaking cuntries, trading ff services and cmmunicating aren’t difficult fr Starick. Hwever, in farther areas where there isn’t an English-speaking persn in sight it can be quite difficult. Mre than anything, the lcals appreciate the effrt behind trying t speak their language, even if he desn’t exactly sund like a native speaker.
Yu can d it t!
Hnestly, with a bit f cnfidence, drive and a skill yu can trade, yu’ll be able t d exactly the same as Starick.
Start thinking abut what yu can d t get arund the wrld withut paying mney. With ur scial netwrks and the cnnectivity ur wrld has, yu can easily cnnect with and market yurself t peple acrss the wrld withut any effrt.
28.What is the authr’s purpse in writing the first paragraph?
A.T intrduce the tpic.B.T describe students in class.
C.T give an example fr the text.D.T shw peple’s state f mind.
29.What des the underlined phrase “trade ff” in paragraph 2 mean?
A.Jin.B.Exchange.C.Stp.D.Imprve.
30.In the lcals’ pinin, what is the key fr travelers in nn-English-speaking cuntries?
A.The skills.B.The cnfidence t succeed.
C.The bravery t travel.D.The effrt t speak the lcal language.
31.What d we knw abut Shantanu Starick?
A.He is t pr t affrd the travels.B.His jb is nly traveling arund the wrld.
C.He has a skill t travel withut paying much mney.D.He desn’t hear f ther languages except English.
D
There’s mre evidence that what’s gd fr, yur heart is gd fr yur head. A new study shws that peple wh run, swim r d ther mderate intensity (中等强度) exercise have brains that lk, n average, 10 years yunger than the brains f cuch ptates (成天看电视的人).
“Our study shwed that fr lder peple, getting mderate intensity exercise may be prtective, helping them keep their brains wrk better,” said Dr. Clintn Wright f the University f Miami, wh led the study. But it’s nt necessarily easy. Walking, glf, bwling and yga dn’t cunt, and peple need t start befre they begin shwing memry lss. Wright’s team reprted in the jurnal Neurlgy.
The study f nearly 900 peple wh exercise regularly shwed that 90 percent fell int the lw-intensity grup. These peple are part f a larger grup taking part in a bigger study called Nrthern Manhattan Study. They were asked hw lng and hw ften they exercised during the past tw weeks. Five years later, they were tested fr memry and thinking skills and gt a brain MRI. Seven years after that, they tk the memry and thinking tests again. The 10 percent wh said they tk part in mderate intensity exercise scred better n the tests. These included running, climbing, swimming, riding bicycles and s n.
“We fund that thse with mderate intensity activity had higher scres and slwer decline than inactive peple when cmparing the results,” the study team wrte.
Many studies have shwn that exercise may nt prevent Alzheimer’s disease (阿尔茨海默病) but may delay it. The findings fit in with a study that fund tw years f exercising, eating healthier fd and brain training can prmte peple’s memry functin.
32.What can we learn frm the study?
A.Ten peple scred best n the tests.B.High-intensity exercise is better.
C.Mst peple surveyed tk lw-intensity exercise.D.Only 900 peple tk part in the bigger study.
33.Hw did the study team cme t the cnclusin?
A.By using examples.B.By making a cmparisn.
C.By bserving peple exercise.D.By ding a brain MRI.
34.What d we knw frm the last paragraph?
A.Exercise can put ff the beginning f memry decline.
B.The findings fit in with the study f healthy fd.
C.Exercise will definitely strengthen peple’s memry.
D.Alzheimer’s disease may be held back by mderate intensity exercise.
35.What’s the best title fr the text?
A.T Exercise r NtB.Hw t Keep Healthy
C.Ways t Make Yur Brain Wrk BetterD.Mderate Intensity Exercise Keeps Yur Brain Yunger
第二节(共5小题;每小题2.5分,满分12.5分)
阅读下面短文,从短文后的选项中选出可以填入空白处的最佳选项。选项中有两项为多余选项。
Breaking bad eating habits and starting gd nes is ne f the healthiest steps yu can take.
But making healthy chices secnd nature can take time. 36 In fact, it can take a certain time fr a new habit t feel natural. S hw d yu stay n track until yur new healthy-eating plan takes hld?
37 Setting t many gals r t many unrealistic nes can disturb yu right frm the start.
Think abut why yu’re snacking. 38 Or are yu just bred r maybe a little stressed ut? Skip the extra calries and take a five-minute walk instead. 39 The buddy (好友) system will keep yu bth n track. If yu fail, dn’t give up. Accrding t the Eurpean Jurnal f Psychlgy study, little bumps (凸块) in the rad aren’t likely t disturb the prcess f creating new habits. S, be patient and get back t yur healthy ways as sn as yu can. 40
A.Start small.
B.Are yu really hungry?
C.Try t d smething big.
D.With a little patience, thse bad habits will sn be gne.
E.After all, it’s hard t change a lifetime f bad habits vernight.
F.What kind f fd d yu want t eat when yu are very hungry?
G.And find a friend r c-wrker wh wants t make healthy changes, t.
第三部分 语言运用(共两节,满分30分)
第一节(共15小题;每小题1分,满分15分)
阅读下面短文,从每题所给的A、B、C、D四个选项中选出可以填入空白处的最佳选项。
In 1971, a yung man wh grew up very pr was traveling acrss the cuntry, trying t make a new start fr himself. Alng the way he had cmpletely run ut f 41 and was frced t spend the night in his 42 . This cntinued until ne mrning, after a week f 43 in his car, he walked nervusly int a restaurant and 44 a big breakfast.
After eating his first gd meal in weeks, he fund himself 45 t the waiter, telling him he had lst his 46 . The waiter, wh was als the wner, walked behind the chair where the yung man had been sitting. He bent dwn, and came up with a $50 bill that lked as if 47 had fallen n the flr and said, “Sn, yu must have 48 this,” the wner said. The yung man culdn’t believe his 49 ! He quickly 50 the breakfast, left a tip, bught gas with the 51 , and headed West.
On the way ut f twn, he began t understand what that fellw did. Maybe nbdy drpped the mney at all. “Maybe that fellw just knew I was in 52 and he helped me in a way that didn’t embarrass me. S I just made a prmise t 53 ther peple if I can.”
Later, he wrked very hard and became a 54 man. Nw, be lives near Kansas City. Each year he 55 thusands f dllars. He is knwn as the “Secret Santa” because at Christmas time each year, he persnally hands mney ut t thse pr peple n the street and at restaurants. Last year, he gave mre than $50,000 away in Kansas City.
41.A.paperB.ilC.mneyD.water
42.A.taxiB.carC.busD.truck
43.A.exercisingB.sleepingC.readingD.playing
44.A.rderedB.ckedC.wastedD.missed
45.A.drivingB.pintingC.lyingD.shuting
46.A.friendB.wayC.chairD.wallet
47.A.theyB.antherC.itD.he
48.A.seenB.drppedC.heardD.lent
49.A abilityB.skillC.luckD.prmise
50.A.asked frB.left frC.lked frD.paid fr
51.A tipB.cardC.prizeD.change
52.A.trubleB.dangerC.peaceD.pain
53.A.helpB.trustC.ruleD.understand
54.A.gentleB.tallC.fatD.rich
55.A.puts upB.gives awayC.picks upD.puts away
第二节(共10小题;每小题1.5分,满分15分)
阅读下面短文,在空白处填入1个适当的单词或括号内单词的正确形式。
Sme theme parks nt nly make peple feel 56 (amaze) but als are educatinal. Take the Plynesian Cultural Center (PCC) in Hawaii fr example. It nt nly shws visitrs the Plynesian way f life but als 57 (prtect) their skills and culture fr the future. Plynesia is 58 name given t the grups f small islands that are spread abut the Pacific Ocean.
The 59 (villager) frm many island cmmunities cme t the Plynesian island villages t shw visitrs their styles f dress and different custms. They are the places 60 visitrs can learn hw the islanders make clthes frm bark (树皮) and hw the islanders climb very tall trees with their bare feet.
One f the imprtant skills fr Plynesians is bat-building. It allws the islanders 61 (explre) all the islands in the Plynesian Triangle. 62 (bvius), they were sea travellers in their histry mving 63 island t island. They were 64 (cnfidence) f finding their way by 65 (use) the smell f the wind, the mvements f the fish and seaweed, and the heights and directins f the waves.
第四部分 写作(共两节,满分40分)
第一节(满分15分)
假定你是高一学生李华,最近你们班就英语学习现状进行了讨论,结果发现同学们有很多共同的问题,例如单词难于记住、张口怕出错、阅读生词多等。请你给你的英国网友Bb写一封邮件,就你们在英语学习中出现的问题向他寻求帮助。
注意:
1.词数80左右;
2.可以适当增加细节,以使行文连贯。
_______________________________________________________________________________________________
_______________________________________________________________________________________________
第二节(满分25分)
阅读下面材料,根据其内容和所给段落开头语续写两段,使之构成一篇完整的短文。
Rbert and Henry were tw friends in the same class. They always played tgether and went hme tgether. One day, Rbert and Henry were ging hme frm schl, when, n turning a crner, Rbert cried ut, “A fight! Let’s g and see!”
“N,” said Henry. “Let’s g quietly hme and nt meddle with (插手) this quarrel. We have nthing t d with it and may get int truble. Als ur parents are expecting t have dinner with us tgether at hme and I dn’t want them t wrry abut me.”
“Yu are a cward (胆小鬼),” said Rbert, and ff he ran. Henry went straight hme, and went t schl as usual the next day.
But Rbert had tld all the bys that Henry was a cward, and they laughed at him a great deal. They lked dwn upn Henry and didn’t want t play with him tgether.
Henry was sad but he wasn’t angry with Rbert fr his rude act, because he knew that they misunderstd him, and that he ught t be afraid f nthing but ding wrng. Thus, he just ignred (忽略) the ther bys’ laughter and cntinued t g t schl and study as well. Hwever, Rbert didn’t invite Henry t g hme with him anymre. Instead, he had sme ther bys wh als thught Henry was a cward. Every day after schl, they didn’t g hme directly but went t the river r smewhere t play games and had a lt f fun.
A few days later, Rbert was bathing with his new friends in a river, and gt ut f his depth. He struggled and cried fr help, but he failed. The bys wh had called Henry a cward gt ut f the water as fast as they culd, and they did nthing t help him.
注意:
1,续写词数应为150左右;
2.请按如下格式在答题卡的相应位置作答。
It seemed that Rbert wuld be dying. ___________________________________________________________
_______________________________________________________________________________________________
Thus, Rbert’s life was saved. __________________________________________________________________
_______________________________________________________________________________________________
北京教能教育集团2023年秋季十二月份统测月考卷·高一英语
参考答案、提示
一、听力(共20小题;每小题1.5分,满分30分)
二、阅读(共20小题;每小题2.5分,满分50分)
三、完形填空(共15小题;每小题1分,满分15分)
21.D 数字计算题。根据Liverpl SPORT部分中“Visit Anfield ftball stadium”以及“Adult: £15”“Under 16 years ld and students: £9”可知,一名学生和其父母共需要支付:£15×2+£9=£39。
22.B 细节理解题。根据Liverpl MUSEUM部分中“Open daily 10 a.m.—5 p.m.”可知,共开放7个小时。
23.C 细节理解题。根据Liverpl SHOPPING部分中“Liverpl ONE—Liverpl’s new shpping centre”可知,Liverpl ONE是一个购物中心。
24.B 细节理解题。根据第一段中“It was an ral English class and in frnt f us was standing ur teacher Linda, wh was a university student frm the US.”可知。
25.A 细节理解题。根据第一段中“Smehw we came t the pint whether any f us culd sing an English pp in frnt f the class.”,第二段内容,以及第三段首句“S I raised my hand.”可知。
26.D 细节理解题。根据第一段中“As a result, there was silence in class fr quite a while, which made everybdy feel rather embarrassed, including the teacher.”可知。
27.C 推理判断题。根据第四段中“Thrugh this experience, I’ve als gt t knw that we shuld believe that we can d the jb well, n matter hw difficult it seems fr us. Just have a little mre curage.”可推知。
28.A 写作意图题。根据第一段中的“It is cmmn fr yur mind t wander t a vacatin and even travel the wrld. What if there is a way that yu can travel the wrld withut having t pay any mney?”可知,第一段讲述人们上课时走神,在精神世界中去旅游,是为了引出文章要讨论的话题,即有一种方法可以实现不花钱就能旅游的愿望。
29.B 词义猜测题。根据第二段中的“A persn that managed t make it arund the wrld withut spending much was Shantanu Starick.”可知,Shantanu Starick做到了不怎么花钱就能周游世界,画线词组后面的“he wuld instead ffer his phtgraphy service t anyne wh culd prvide him with fd, shelter (住处) and transprtatin”表明他通过为别人拍照来获取食宿和交通方式,故可猜测出trade ff是“以……作为交换(以求得某种结果)”的意思。
30.D 细节理解题。根据第三段中的“Mre than anything, the lcals appreciate the effrt behind trying t speak their language, even if he desn’t exactly sund like a native speaker.”可知,在不说英语的国家,当地人认为,对旅行者来说关键是要努力学着说当地的语言。
31.C 细节理解题。根据全文内容可知,Shantanu Starick通过为别人拍照来获取旅行的食宿和交通方式,即他有一种不怎么花钱就能去旅行的技能。
32.C 细节理解题。根据第三段中的“The study f nearly 900 peple wh exercise regularly shwed that 90 percent fell int the lw-intensity grup.”可知,对近900名经常锻炼的人的研究表明,90%的人属于低强度组。
33.B 推理判断题。第一段表明这项研究将适度运动的人和不运动的人作对比,第三段中的“The 10 percent wh n the tests.”表明,研究对比了90%低强度运动的人和剩下10%的人,故这项研究是通过作对比来得出结论的。
34.A 细节理解题。根据最后一段内容可知,很多研究表明运动可能不会阻止阿尔茨海默病的发生,但可以延缓它出现的时间。
35.D 标题判断题。根据全文内容可知,文章主要介绍了新的研究表明中等强度的运动可以使大脑保持年轻。
36.E 上句是说“但是使健康的选择成为习性需要时间。”E项(毕竟,难于在一夜之间改变一生的坏习惯。)对上一句进一步解释,并启示下文。故选E项。
37.A 根据下句“设定太多或不切实际的目标会让你从一开始感到不安。”可知,要从小的目标开始。故选A项。
38.B 上句是说“想想你为什么吃零食?”,B项(你是真的饿吗?)是对上一句的回答,并与下一句“或者你只是无聊或可能有一点焦虑?”构成并列关系。故选B项。
39.G 根据下句“伙伴关系将使你俩都步入正轨。”可知,G项(找个也想做健康改变的朋友或同事。)符合语境。
40.D 上句是说“所以,要有耐心,尽快恢复健康的生活方式。”D项中的a little patience与上一句的be patient呼应。故选D项。
41.C 在路上他用光了所有的钱。
42.B 他被迫在他的小汽车里过夜。
43.B 在他的小汽车里睡了一周之后。
44.A 他点了一顿丰盛的早餐。
45.C 他发现自己对服务员撒谎了。
46.D 告诉他他丢失了钱包。
47.C 看起来好像是掉到地板上的20美元。
48.B 年轻人,你一定把这个丢了。
49.C 小伙子不能相信自己的运气。
50.D 他迅速付了早饭钱。
51.D 用零钱买了汽油。
52.A 也许那个人恰好知道“我”处于困境。
53.A 因此“我”许诺如果可能,“我”将帮助别人。
54.D 后来他工作很努力,变成有钱人了。
55.B 每年他都捐赠数千美元。
四、语法填空(共10小题;每小题1.5分,满分15分)
56.amazed 57.prtects 58.the 59.villagers 60.where 61.t explre 62.Obviusly 63.frm 64.cnfident 65.using
五、应用文写作(满分15分)
参考范文
Dear Bb,
I am writing t ask fr advice n sme difficulties that we have met in ur English study.
Since we entered senir high schl, it has becme difficult t remember s many English wrds. Fr fear f making mistakes, we dn’t want t speak English in English class. What’s mre, when reading English articles, we ften meet sme new wrds, which makes it hard fr us t understand the articles. These difficulties wrry us a lt.
I wuld appreciate it if yu culd ffer us sme suggestins abut these prblems. Lking frward t yur early reply.
Yurs,
Li Hua
六、读后续写(满分25分)
参考范文
It seemed that Rbert wuld be dying. Just at the mment, Henry happened t be passing by. Hearing the screams, Henry ran t the riverside, threw ff his clthes and jumped int the water withut hesitatin. He reached Rbert just as he was sinking the last time. With great effrt, he brught Rbert t the shre. He didn’t leave there. Instead, he stayed with Rbert all the time t make sure that Rbert was OK.
Thus, Rbert’s life was saved. Rbert and his new friends were ashamed at having called Henry a cward. They realized that Henry had true curage. They said srry t Henry fr their rude behavir and asked fr his frgiveness. Henry frgave them happily. He and Rbert were friends again and they went hme tgether as usual. Frm this, Rbert learned what true curage was never be afraid t d gd, but always fear t d evil.
附听力材料
(Text 1)
M: Will yu be a teacher r a reprter, Lana?
W: Neither. I will be a lawyer.
(Text 2)
W: I’ve brught ur lunch. We can eat at the park.
M: That’s much mre fun than eating at the café.
(Text 3)
W: My mther wants me t g int banking, but I like writing.
M: Yu can’t let yur mther chse yur career fr yu.
(Text 4)
M: Tm lked happy a mment ag. What’s just happened?
W: His mther tld him he had t g t a barding schl.
(Text 5)
M: If there is any sprt less interesting than baseball, I dn’t knw what it is.
W: Yes, it’s even duller than basketball.
(Text 6)
W: Welcme abard Bus N. 60.
M: Des this bus g t the stadium?
W: N, it ges t the train statin. If yu want t g t the stadium, yu have tw chices. Yu can take this bus t the library and then take the N. 88 bus t the stadium. Or yu can wait here fr the N. 56 bus. It desn’t cme very ften, but it’s an express bus.
M: Hw lng wuld each chice take?
W: The first is abut ver an hur. The secnd saves yu abut 15 minutes.
M: Oh, I think I see a N. 56 bus cming. Thanks.
(Text 7)
W: Mr. Andrew, the result f the test just came back. And it isn’t serius. Yu dn’t need t wrry abut it t much. But yu ught t start t take it easier. Yu’re wrking far t hard. If yu cntinue at the pace yu are wrking, it’s just gnna get wrse.
M: OK. What’s the prblem?
W: The pain yu’re experiencing is a kind f infectin. Yu need t rest. That’s the number ne thing fr yu. I’m gnna give yu sme medicine.
(Text 8)
M: Hi, Lily!
W: Hi, Steven. I’m ging t Lndn by train. Cme with me.
M: But it’s cheaper by bus.
W: I’ve gt a student travel card. Yu can get cheap train tickets with it.
M: That sunds gd. Hw much des it cst?
W: A card fr six mnths is sixteen punds.
M: S hw d I get ne?
W: Yu need sme phts—ne fr the card and ne fr the frm.
M: I dn’t have t shw my ID card, d I?
W: That’s right. Yu nly need a letter frm yur schl.
M: I’ll ask my teacher fr ne. Next time yu g t Lndn, I’ll cme, t.
(Text 9)
M: Amy, what’s yur favrite sprt?
W: ’s hard t say. But I like running.
M: Yu run very fast, dn’t yu?
W: Yes, but nt the fastest. Lily runs much faster than I.
M: Really?
W: Yes. In ur class, Lily runs the fastest f all. What abut yu, Steven? What d yu like?
M: Yu like running, but I like jumping, bth the high jump and the lng jump.
W: Did yu take part in the sprts meeting last year?
M: Yes. I tk part in the high jump and the lng jump and wn the first prize in the lng jump last year.
W: Yu are als ging t take part in this year’s lng jump, right?
M: Yeah! I’ll try t make a better recrd.Liverpl MUSIC
The Beatles Stry
The wrld-famus 1960s music grup came frm Liverpl. Find ut abut The Beatles at The Beatles Stry.
Open every day except Dec. 25 and Dec. 26
Adult: £15.95
Student: £12
Child: £7
Child under five: Free
Liverpl SPORT
Liverpl FC
This city lves ftball. Visit Anfield ftball stadium, hme t Liverpl’s favurite ftball team, and take a tur. Clsed n weekends.
Adult: £15
Under 16 years ld and students: £9
Child under five: Free
Liverpl MUSEUM
Visit the Liverpl Museum
Learn all abut the histry and culture f Liverpl.
Open daily 10 a.m.—5 p.m.
Free entry
Liverpl SHOPPING
Liverpl ONE
Find the best shpping in the centre f Liverpl at Liverpl ONE—Liverpl’s new shpping centre. Opened in 2008.
Mre than 160 shps, restaurants and cinemas.
题号
1
2
3
4
5
6
7
8
9
10
11
12
13
14
15
16
17
18
19
20
答案
A
C
C
A
B
A
C
C
B
A
B
B
B
C
C
A
A
A
C
B
题号
21
22
23
24
25
26
27
28
29
30
31
32
33
34
35
36
37
38
39
40
答案
D
B
C
B
A
D
C
A
B
D
C
C
B
A
D
E
A
B
G
D
题号
41
42
43
44
45
46
47
48
49
50
51
52
53
54
55
答案
C
B
B
A
C
D
C
B
C
D
D
A
A
D
B
相关试卷
这是一份湖北省春晖教育集团2023-2024学年高一上学期12月月考英语试题,共9页。
这是一份2023-2024学年湖北省春晖教育集团高一上学期期中考试英语试题含答案,文件包含春晖教育集团2023年秋季学期期中考试参考答案docx、湖北省春晖教育集团2023-2024学年高一上学期期中考试英语试题docx等2份试卷配套教学资源,其中试卷共28页, 欢迎下载使用。
这是一份2023-2024学年山东省滨州市天立教育集团高一上学期入学检测英语试题含答案,文件包含精品解析山东省滨州市天立教育集团2023-2024学年高一上学期入学检测英语试题原卷版docx、精品解析山东省滨州市天立教育集团2023-2024学年高一上学期入学检测英语试题解析版docx等2份试卷配套教学资源,其中试卷共56页, 欢迎下载使用。
