安徽省2024届“耀正优+”12月高三名校阶段检测联考数学试题+答案
展开2024届安徽省“耀正优”12月高三名校阶段检测联考数学试题含答案: 这是一份2024届安徽省“耀正优”12月高三名校阶段检测联考数学试题含答案,共20页。试卷主要包含了单选题,多选题,填空题,解答题等内容,欢迎下载使用。
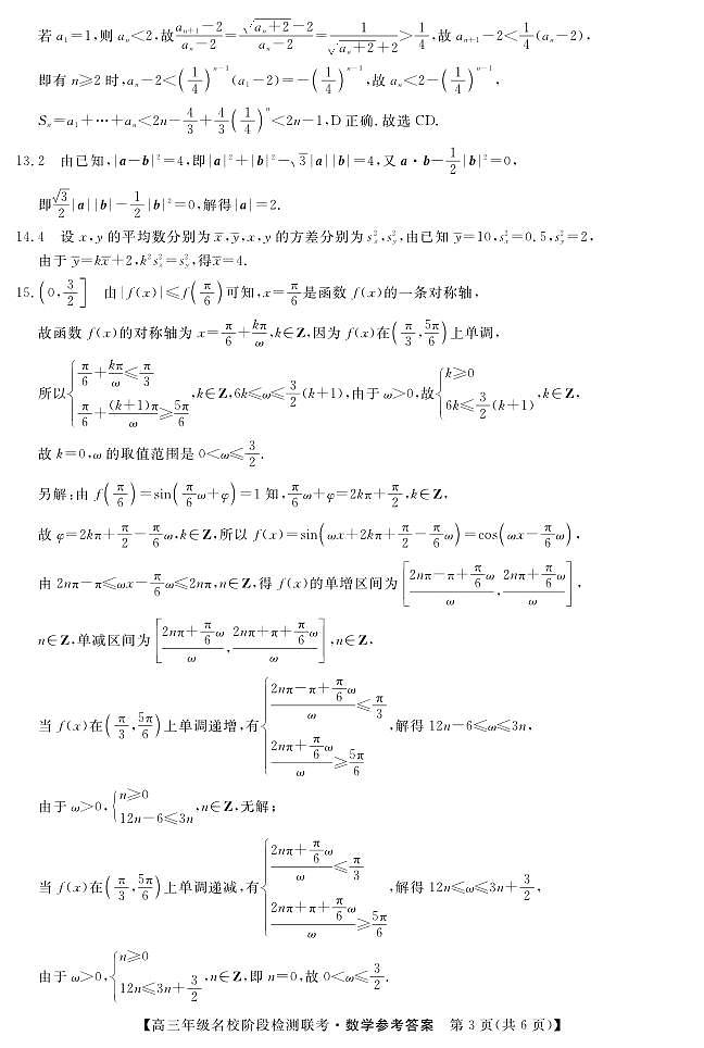
安徽省2024届“耀正优+”12月高三名校阶段检测联考 数学: 这是一份安徽省2024届“耀正优+”12月高三名校阶段检测联考 数学,共6页。
安徽省2024届“耀正优+”12月高三名校阶段检测联考 数学答案: 这是一份安徽省2024届“耀正优+”12月高三名校阶段检测联考 数学答案,共6页。

