搜索
    上传资料 赚现金
    英语朗读宝

    2023﹣2024 学年度上学期辽西联合校高三期中考试数学试卷原卷及解析版

    资料中包含下列文件,点击文件名可预览资料内容
    • 练习
      辽宁省辽西联合校2024届高三上学期期中数学试题(原卷版).pdf
    • 练习
      辽宁省辽西联合校2024届高三上学期期中数学试题(解析版).pdf
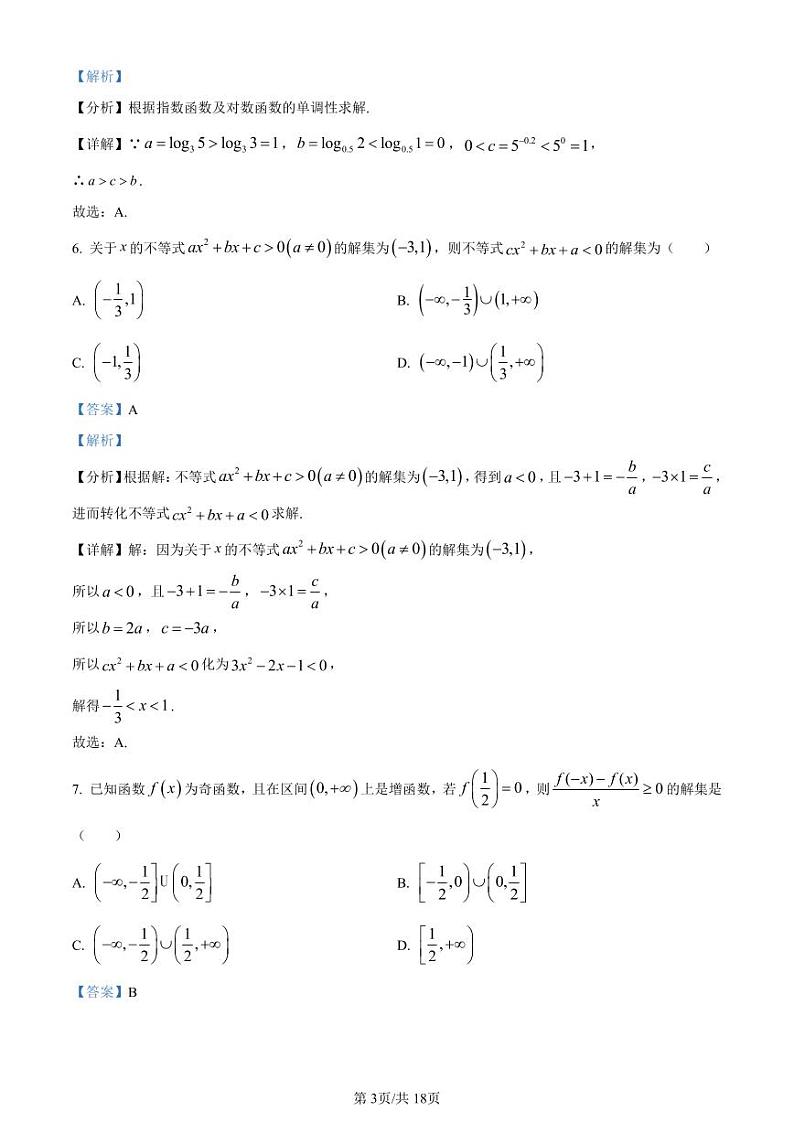
    辽宁省辽西联合校2024届高三上学期期中数学试题(原卷版)第1页
    辽宁省辽西联合校2024届高三上学期期中数学试题(原卷版)第2页
    辽宁省辽西联合校2024届高三上学期期中数学试题(原卷版)第3页
    辽宁省辽西联合校2024届高三上学期期中数学试题(解析版)第1页
    辽宁省辽西联合校2024届高三上学期期中数学试题(解析版)第2页
    辽宁省辽西联合校2024届高三上学期期中数学试题(解析版)第3页
    还剩3页未读, 继续阅读
    下载需要10学贝 1学贝=0.1元
    使用下载券免费下载
    加入资料篮
    立即下载

    2023﹣2024 学年度上学期辽西联合校高三期中考试数学试卷原卷及解析版

    展开

    这是一份2023﹣2024 学年度上学期辽西联合校高三期中考试数学试卷原卷及解析版,文件包含辽宁省辽西联合校2024届高三上学期期中数学试题原卷版pdf、辽宁省辽西联合校2024届高三上学期期中数学试题解析版pdf等2份试卷配套教学资源,其中试卷共24页, 欢迎下载使用。

    相关试卷

    辽宁省辽西联合校2024届高三上学期期中数学试题(解析版):

    这是一份辽宁省辽西联合校2024届高三上学期期中数学试题(解析版),共22页。

    2024辽宁省辽西联合校高三上学期期中考试数学PDF版含答案:

    这是一份2024辽宁省辽西联合校高三上学期期中考试数学PDF版含答案,文件包含辽宁省辽西联合校2023-2024学年高三上学期期中考试数学pdf、高三数学答案pdf等2份试卷配套教学资源,其中试卷共13页, 欢迎下载使用。

    39,辽宁省辽西联合校2023-2024学年高三上学期期中考试数学试题:

    这是一份39,辽宁省辽西联合校2023-2024学年高三上学期期中考试数学试题,共14页。试卷主要包含了本试卷分选择题和非选择题两部分,已知复数z满足,则,已知向量,则下列说法正确的是等内容,欢迎下载使用。

    欢迎来到教习网
    • 900万优选资源,让备课更轻松
    • 600万优选试题,支持自由组卷
    • 高质量可编辑,日均更新2000+
    • 百万教师选择,专业更值得信赖
    微信扫码注册
    qrcode
    二维码已过期
    刷新

    微信扫码,快速注册

    手机号注册
    手机号码

    手机号格式错误

    手机验证码 获取验证码

    手机验证码已经成功发送,5分钟内有效

    设置密码

    6-20个字符,数字、字母或符号

    注册即视为同意教习网「注册协议」「隐私条款」
    QQ注册
    手机号注册
    微信注册

    注册成功

    返回
    顶部
    Baidu
    map