


还剩5页未读,
继续阅读
所属成套资源:2024杭州高三上学期11月期中考试(一模)及答案(九科)
成套系列资料,整套一键下载
2024杭州高三上学期期中历史试题扫描版无答案
展开
这是一份2024杭州高三上学期期中历史试题扫描版无答案,共8页。
相关试卷
2024大同高二上学期期中历史试题扫描版无答案:
这是一份2024大同高二上学期期中历史试题扫描版无答案,共1页。
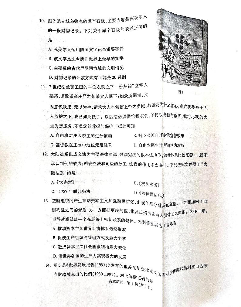
2024天津北辰区高三上学期第一次联考(期中)历史试题扫描版无答案:
这是一份2024天津北辰区高三上学期第一次联考(期中)历史试题扫描版无答案,共8页。
2024杭州高三上学期期中(一模)历史试题含答案:
这是一份2024杭州高三上学期期中(一模)历史试题含答案,文件包含浙江省杭州市2023-2024学年高三上学期期中教学质量检测一模历史试题docx、浙江省杭州市2023-2024学年高三上学期期中教学质量检测一模历史答案docx等2份试卷配套教学资源,其中试卷共11页, 欢迎下载使用。
