


人教版六年级数学上册期中综合素养测评质量检测卷十
展开
这是一份人教版六年级数学上册期中综合素养测评质量检测卷十,共43页。试卷主要包含了选择题,填空题,判断题,计算题,作图题,解答题等内容,欢迎下载使用。
1.一张铁皮长米,用去米,还剩下多少米?列式为( )。
A.B.C.D.
2.如果明明在飞飞的北偏西30°方向,那么飞飞在明明( )方向上。
A.北偏东30°B.南偏东60°
C.南偏西30°D.南偏东30°
3.把5克盐放入10克水中,盐与水的质量比是( )。
A.1∶2B.1∶3C.2∶1D.3∶1
4.要剪一段长米的彩带,下列剪法错误的是( )。
A.从1米长的彩带剪下它的B.从2米长的彩带剪下它的
C.从3米长的彩带剪下它的D.从4米长的彩带剪下米
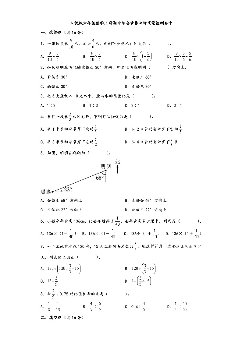
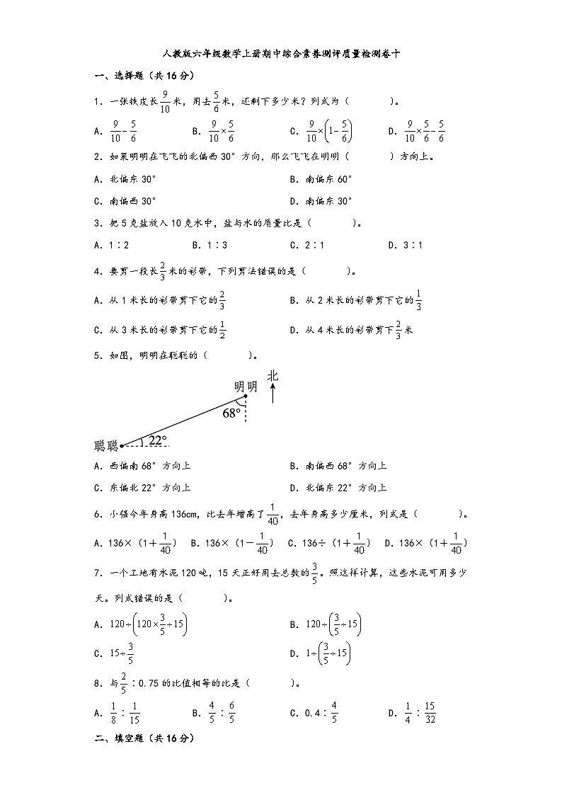
5.如图,明明在聪聪的( )。
A.西偏南68°方向上B.南偏西68°方向上
C.东偏北22°方向上D.北偏东22°方向上
6.小强今年身高136cm,比去年增高了,去年身高多少厘米,列式是( )。
A.136×(1+)B.136×(1-)C.136÷(1+)D.136×(1+)
7.一个工地有水泥120吨,15天正好用去总数的。照这样计算,这些水泥可用多少天。列式错误的是( )。
A.B.
C.D.
8.与∶0.75的比值相等的比是( )。
A.∶B.∶C.0.4∶D.∶
二、填空题(共16分)
9.吨=( )千克 132分=( )小时
10.小强和张琳都买了练习本,张琳买了50本,如果张琳取出自己的给小强,那么两人的练习本就同样多。两人一共买了练习本( )本。
11.小芳家在小高家东偏南50°方向,则小高家在小芳家( )50°方向。
12.通过中国地图我们发现,首都北京大约在郑州的北偏东23°,如果以北京为观察点,郑州在北京的 ( )( )°。
13.张叔叔分装20千克糖果,如果每袋装,可以装( )袋;如果每袋装千克,可以装( )袋。
14.用48厘米长的铁丝围成一个直角三角形(接口处不计),这个三角形三条边的长度比是4∶3∶5,它的面积是 平方厘米。
15.用来消毒的碘酒是把碘和酒精按1∶50的比混合配制而成的。现有30g碘,可以配制这种碘酒( ) g。
16.甲乙两仓库各存粮若干,先将乙仓库中存粮的运到甲仓库,再将甲仓库此时存粮的运到乙仓库,这时甲仓库有粮食600吨,乙仓库有粮食720吨,原来乙仓库有( )吨。
三、判断题(共8分)
17.在8∶16中,如果比的前项增加24,要使比值不变,后项应乘3。( )
18.一根绳子1.2米用了,又用了米,还剩下0.6米。( )
19.体育馆在学校的南偏西38°,也可以说体育馆在学校的西偏南52°。( )
20.一个数(0除外)除以一个假分数,商一定小于这个数。( )
四、计算题(共12分)
21.(6分)计算下面各题,能简算的要简算。
22.(6分)化简下面的比,求比值。
0.15小时∶2分
五、作图题(共6分)
23.(6分)操作。
(1)书店在艺术中心北偏东65°方向4千米处;
(2)中心公园在艺术中心南偏东30°的方向5千米处。
六、解答题(共42分)
24.(6分)正常成年人的全身共有骨骼206块,人手骨骼的数量是人全身骨骼数量的。人手骨骼的数量和其他部位骨骼的数量各是多少块?
25.(6分)2022年卡塔尔世界杯,据统计全球有大约340万球迷前往现场观看比赛,在世界杯历史上观赛人数排名第三。在本届世界杯到现场观看比赛的球迷中,欧洲球迷占全部球迷人数的,而亚洲球迷的人数比欧洲球迷的人数少,请问到现场观看世界杯的亚洲球迷有多少万人?
26.(6分)由于疫情防控需要,工厂计划赶制160万个口罩。第一车间生产了总数的,相当于第二车间生产的。第二车间生产了多少万个口罩?
27.(6分)一堆钢材,第一次用去全部的,第二次用去15吨,已经用去的质量和剩下的质量比是2∶3,这堆钢材原来重多少吨?
28.(6分)2022年北京冬奥会上一块金牌总重约550克,黄金含量与金牌总重的比为3∶275。327块金牌需要黄金多少克?
29.(6分)书店在小红家北偏西30°方向上,距离小红家4千米;超市在小红家西偏北30°方向上,与小红家的距离也是4千米。
(1)根据上面的描述,借助图上的量角器,在平面图上标出超市和书店的位置。要求用1厘米长的线段表示1千米,并保留超市与小红家、书店与小红家的连线。
(2)通过推理可知,书店在超市的( )偏( )( )°方向上。
30.(6分)如图是某城区的示意图。
(1)超市在光华小学( )偏( )°方向处。
(2)新华书店在光华小学南偏东60°方向4千米,图上距离应是( )厘米,在图上表示出新华书店的位置。
参考答案
1.A
【分析】已知一张铁皮长米,用去米,求还剩下多少米,用铁皮的全长减去用去的长度即可。
【详解】-
=-
=(米)
还剩下米。
列式为:-。
故答案为:A
【点睛】本题考查分数减法的意义及应用,注意“用去米”是带单位的具体数量,所以求还剩下的长度,用减法解答。
2.D
【分析】明明在飞飞的北偏西30°方向,是以飞飞为观测点;那么飞飞在明明的方向是以明明为观测点;观测点不同,方向相反,夹角的度数相同,距离相同;据此解答。
【详解】如果明明在飞飞的北偏西30°方向,那么飞飞在明明南偏东30°方向上。
故答案为:D
【点睛】掌握位置的相对性是解题的关键。
3.A
【分析】把5克盐放入10克水中,盐的质量是5克,水的质量是10克,用盐的质量比水的质量即可。
【详解】5∶10
=(5÷5)∶(10÷5)
=1∶2
因此盐与水的质量比是1∶2。
故答案为:A
【点睛】解答本题的关键是一定要看清是哪两个量的比。
4.C
【分析】把彩带的总长看作单位“1”,求一个数的几分之几是多少,用乘法,用彩带的总长乘剪下部分所占的分率,即可求出剪下多少米的彩带;也可利用分数的意义,直接表示出剪下的具体长度。
【详解】A.1×=(米),即剪下彩带的长度是米;
B.2×=(米),即剪下彩带的长度是米;
C.3×=(米),即剪下彩带的长度是米;
D.从4米长的彩带剪下米,即剪下彩带的长度是米;
故答案为:C
【点睛】此题主要考查分数的意义以及分数乘法的应用,掌握求一个数的几分之几是多少的计算方法。
5.C
【分析】以聪聪的位置为观测点,根据“上北下南,左西右东”及角度信息解答即可。
【详解】由分析可知:
明明在聪聪的东偏北22°(北偏东68°)方向上。
故答案为:C
【点睛】本题考查方向和位置,明确“上北下南,左西右东”及角度信息是解题的关键。
6.C
【分析】把去年的身高看作单位“1”,则小强今年的身高是去年的(1+),再根据已知一个数的几分之几是多少,求这个数,用除法计算,即用136除以(1+)即可求出小强去年的身高。
【详解】由分析可知:
小强今年身高136cm,比去年增高了,去年身高多少厘米,列式是136÷(1+)。
故答案为:C
【点睛】本题考查已知一个数的几分之几是多少,求这个数,明确用除法是解题的关键。
7.B
【分析】根据题意,可以先求出每天用水泥的吨数,再用水泥总量除以每天用的吨数得出能用多少天;还可以把总天数看成单位“1”或者水泥总量看成单位“1”进行求解。
【详解】A.表示每天用水泥的吨数,然后用总量120吨除以每天用的吨数即可求得这些水泥可用多少天,列式为,所以列式正确。
B.表示每天用水泥总量的几分之几,然后把总量120吨看作单位“1”,用单位“1”除以每天用的份额而非用120除以每天用的份额,可求得这些水泥可以用多少天,列式为而非,所以列式不正确。
C.题中“照这样计算”,说明每天用去的量相同;那么15天用去总数的,说明这个15天也是这些水泥可用的总天数的;把总天数看成单位“1”,它的对应的数量是15天,由此可用除法求出总天数,列式为15÷,所以列式正确。
D.表示每天用总量的几分之几,然后把总量看作单位“1”,用单位“1”除以每天用的份额,即可求得这些水泥可以用多少天,列式为,所以列式正确。
故答案为:B
【点睛】本题主要考查了分数的应用,解答此题的关键是先确定好标准量再找准题中具体数量与分率的对应关系,运用相应的数量关系式求解。
8.D
【分析】用比的前项除以比的后项所得的商,叫做比值。
根据比值的意义,分别求出∶0.75与四个选项中比的比值,找出与∶0.75的比值相等的比即可。
【详解】∶0.75=÷=×=
A.∶=÷=×15=
≠,比值不相等;
B.∶=÷=×=
≠,比值不相等;
C.0.4∶=÷=×=
≠,比值不相等;
D.∶=÷=×=
=,比值相等。
故答案为:D
【点睛】本题考查求比值,掌握比值的求法是解题的关键。
9. 5125
【分析】根据1吨=1000千克,1小时=60分钟,高级单位换算成低级单位,乘进率,低级单位换算成高级单位,除以进率,据此解答。
【详解】,,所以吨=5125千克;
132÷60=,所以132分=小时。
【点睛】本题考查单位之间的互化,关键是熟记进率。
10.80
【分析】根据题意,张琳取出自己的给小强,把张琳练习本的本数看作单位“1”,根据求一个数的几分之几是多少,用乘法计算,求出张琳取出的本数;
又已知此时两人的练习本同样多,用原来张琳练习本的本数减去取出的本数,就是与小强现在练习本同样多的本数,再乘2,即可求出两人一共买的本数。
【详解】50×=10(本)
(50-10)×2
=40×2
=80(本)
两人一共买了练习本80本。
【点睛】本题考查分数乘法的应用,抓住两人练习本的总数不变,求出两人练习本同样多时的本数是解题的关键。
11.西偏北
【分析】根据方向的相对性,它们的方向相反,角度相等,距离相等;据此解答。
【详解】小芳家在小高家东偏南50°方向,则小高家在小芳家西偏北50°方向上。
【点睛】熟练掌握方向的相对性是解答本题的关键。
12. 南偏西 23
【分析】根据方向的相对性:方向相反,角度不变,据此求解即可。
【详解】根据方向的相对性可得:通过中国地图我们发现,首都北京大约在郑州的北偏东23°,如果以北京为观察点,郑州在北京的南偏西23°。
【点睛】本题主要考查了方向,注意方向的相对性。
13. 5 100
【分析】把糖果的重量看作单位“1”,如果每袋装,则可以装1÷=5袋;根据除法的意义,用糖果的重量除以每袋装的具体的重量即可求出可以装多少袋。
【详解】1÷=1×5=5(袋)
20÷=20×5=100(袋)
则张叔叔分装20千克糖果,如果每袋装,可以装5袋;如果每袋装千克,可以装100袋。
【点睛】解决此题关键是弄清求的是“分率”还是“具体的数量”,求分率:平均分的是单位“1”;求具体的数量:平均分的是具体的数量。注意:分率不能带单位名称,而具体的数量要带单位名称。
14.96
【分析】已知用48厘米长的铁丝围成一个直角三角形,它的三条边的长度比是4∶3∶5,可以把这三条边分别看作4份、3份、5份,一共是(4+3+5)份;用铁丝的长度除以(4+3+5)份,求出一份数;
根据“直角三角形中斜边最长”可知,这个直角三角形的两条直角边分别是4份和3份;用一份数乘两条直角边的份数,即可求出这两条直角边的长度;
因为直角三角形的两条直角边互为三角形的底和高,根据三角形的面积=底×高÷2,代入数据计算,即可求出这个三角形的面积。
【详解】一份数:
48÷(4+3+5)
=48÷12
=4(厘米)
两条直角边分别长:
4×4=16(厘米)
4×3=12(厘米)
面积:
16×12÷2
=192÷2
=96(平方厘米)
它的面积是96平方厘米。
【点睛】本题考查按比分配问题,把比看作份数,求出一份数,再根据直角三角形的特征,确定两条直角边的份数,进而求出两条直角边的长度,最后根据三角形的面积公式解答。
15.1530
【分析】根据题意,碘和酒精按1∶50的比混合,即碘的质量占碘酒的,把碘酒的质量看作单位“1”,单位“1”未知,用碘的质量除以,即可求出碘酒的质量。
【详解】30÷
=30÷
=30×51
=1530(g)
可以配制这种碘酒1530g。
【点睛】关键是把比转化成分数,然后找出单位“1”,单位“1”未知,根据分数除法的意义解答。
16.650
【分析】根据“甲仓库此时存粮的运到乙仓库,这时甲仓库有粮食600吨”,也就是说600吨相当于此时甲仓库的(1-),用除法求出此时甲仓库的吨数,600÷(1-)=800(吨),此时乙仓库有粮食720吨,那么在未将甲仓库此时存粮的运到乙仓库之前,乙仓库存粮720-800×=520(吨),再根据将乙仓库中存粮的运到甲仓库,此时有粮食520吨,可知520吨相当于乙仓库原来的(1-),用除法求出乙仓库原来存粮数;据此解答。
【详解】600÷(1-)
=600÷
=600×
=800(吨)
720-800×
=720-200
=520(吨)
520÷(1-)
=520÷
=520×
=650(吨)
即原来乙仓库有650吨。
【点睛】此题数量关系复杂,解答步骤较多,应仔细分析,根据数量之间的关系,一步步解答。
17.×
【分析】根据比的性质:比的前项与后项同时乘或除以一个相同的数(不为0),比值不变。比的前项增加24,由原来的8变成为32,相当于比的前项乘4,要使比值不变,比的后项也应该乘4,据此解答。
【详解】比的前项增加24,8+24=32
因为32÷8=4,所以比的前项增加24,相当于比的前项乘4,要使比值不变,比的后项也应该乘4,因此原题干的说法是错误的。
故答案为:×
【点睛】解答本题的关键是先判断比的前项增加24后比的前项与原来的数相比是乘或除以几,再结合比的性质作答。
18.×
【分析】把1.2米看作单位“1”,根据分数乘法的意义,用1.2×即可求出1.2米的是多少米。然后根据减法的意义,用1.2-1.2×-即可求出剩下的米数。
【详解】1.2-1.2×-
=1.2-0.3-
=0.9-
=0.65(米)
一根绳子1.2米用了,又用了米,还剩下0.65米。原题干说法错误。
故答案为:×
【点睛】解决此题关键是弄清分数代表的是“分率”还是“具体的数量”,注意:分率不能带单位名称,而具体的数量要带单位名称。
19.√
【分析】根据相邻两个方向之间的度数为90度,据此计算并判断即可。
【详解】90°-38°=52°
则体育馆在学校的南偏西38°,也可以说体育馆在学校的西偏南52°。原题干说法正确。
故答案为:√
【点睛】本题考查方向和位置,明确相邻两个方向之间的度数为90度是解题的关键。
20.×
【分析】分子比分母大或分子和分母相等的分数叫做假分数;假分数≥1。
一个数(0除外)除以大于1的数,商比原来的数小;
一个数(0除外)除以1,商等于原来的数。
【详解】如:÷=×=,<,商小于这个数;
÷=÷1=,=,商等于这个数;
一个数(0除外)除以一个假分数,商小于或等于这个数。
原题说法错误。
故答案为:×
【点睛】本题考查假分数的认识以及判断商与被除数之间大小关系的方法。
21.;11;
【分析】(1)先把分数除法变成分数乘法计算即可;
(2)先把分数除法变成分数乘法,再根据乘法分配律计算即可;
(3)先把分数除法变成分数乘法,再根据乘法交换律,把第二位数和第三位数交换计算即可。
【详解】(1)
=
=
=
(2)
=
=
=15-4
=11
(3)
=
=
=
=
22.3∶8,;30∶1;30;9∶2,
【分析】比的基本性质:比的前项和后项同时乘或除以相同的数(0除外),比值不变。利用“比的基本性质”把比化简成最简单的整数比。如果比的前项和后项的单位不统一,先换算单位,再化简比。
用比的前项除以比的后项所得的商,叫做比值。根据求比值的方法,用最简比的前项除以比的后项即得比值。
【详解】(1)0.25∶
=∶
=(×12)∶(×12)
=3∶8
3∶8=3÷8=
(2)
=90∶3
=(90÷3)∶(3÷3)
=30∶1
30∶1=30÷1=30
(3)0.15小时∶2分
=(0.15×60)分∶2分
=9∶2
9∶2=9÷2=
23.见详解
【分析】(1)以艺术中心为坐标系原点,向上为正北方向,向左为西方,向下为南方,向右为东方;书店位置在向上偏右,角度为65°,距离为4格;
(2)中心公园位置在向下偏右,角度为30°,距离为5格。
【详解】(1)(2)如图:
【点睛】本题主要考查的是根据方位和距离确定位置,解题的关键是熟练掌握坐标系中的位置,进而得出答案。
24.54块;152块
【分析】把人全身骨骼数量看作单位“1”,单位“1”已知,根据分数乘法的意义,求一个数的几分之几是多少,用乘法,用人全身骨骼数量乘即可求出人手骨骼的数量,继而求出其他部位骨骼的数量。
【详解】206×=54(块)
206-54=152(块)
答:人手骨骼的数量是54块,其他部位骨骼的数量是152块。
【点睛】此题的解题关键是理解分数乘法的意义,掌握求一个数的几分之几是多少的计算方法,从而解决问题。
25.102万人
【分析】用全球球迷的总人数乘,求出欧洲球迷的人数;再根据亚洲球迷的人数比欧洲球迷的人数少,把欧洲球迷的人数看作单位“1”,亚洲球迷的人数是欧洲球迷的人数的1-,用欧洲球迷的人数×(1-),即可求出亚洲球迷的人数。
【详解】340×=136(万人)
136×(1-)
=136×
=102(万人)
答:现场观看世界杯的亚洲球迷有102万人。
【点睛】本题考查了分数乘法应用题,关键是确定单位“1”;求一个数的几分之几是多少,用乘法计算。
26.90万个
【分析】根据求一个数的几分之几是多少,用乘法计算,即用160乘即可得到第一车间生产口罩的数量;再根据已知一个数的几分之几是多少,求这个数,用除法计算,即用第一车间生产口罩的数量除以即可求出第二车间生产的口罩的数量。
【详解】160×=60(万个)
60÷=60×=90(万个)
答:第二车间生产了90万个口罩。
【点睛】本题考查求一个数的几分之几是多少,明确用乘法是解题的关键。
27.75吨
【分析】把这堆钢材的总质量看作单位“1”,已经用去的质量和剩下的质量比是2∶3,则已经用去钢材的质量是总质量的,第一次用去全部的,说明第二次用去的总质量的(-),第二次用去15吨,根据量÷对应的分率=单位“1”的量,代入数据即可求出这堆钢材原来重多少吨。
【详解】15÷(-)
=15÷(-)
=15÷
=15×5
=75(吨)
答:这堆钢材原来重75吨。
【点睛】本题考查分数除法的应用,找出量和对应的分率是解答题目的关键。
28.1962克
【分析】把黄金含量看作3份,金牌总重看作275份,已知一块金牌总重约550克,除以金牌总重对应的份数,求出1份量是多少,用1份量乘黄金含量所占的份数,即可求出一块金牌黄金的含量,再乘327,求出共需要的黄金质量。
【详解】550÷275=2(克)
2×3=6(克)
6×327=1962(克)
答:327块金牌需要黄金1962克。
【点睛】本题考查比的应用,求出1份表示的重量是解题的关键。
29.(1)见详解
(2)东;北;45
【分析】(1)在平面上确定物体位置的方法:先确定方向,再以选定的单位长度为基准用直尺来确定图上距离,最后找出物体的具体位置,标上名称,以小红家的位置为观测点借助量角器即可确定书店的方向;根据图上1厘米代表实际1千米的线段即可确定书店与小红家的图上距离,从而画出书店的位置;同理可画出超市的位置。
(2)以超市为观测点,在超市画“十字”方向标,因为书店在小红家北偏西30°方向上,超市在小红家西偏北30°方向上,可推理出书店、小红家、超市所形成的夹角为30°,又因为书店和超市都距离小红家4千米,所以书店、小红家、超市所形成三角形为等腰三角形,那么书店、超市、小红家所形成的夹角为75°,所以书店在超市的东偏北45°方向上。
【详解】(1)
(2)通过推理可知,书店在超市的东偏北45°(或北偏东45°)方向上。
【点睛】此题主要考查方向的辨别,关键是分清以谁为观测点。
30.(1)西;南20
(2)5;见详解
【分析】(1)根据上北下南,左西右东的方位辨别法得到位于超市在光华小学西偏南20°方向处;
(2)因为图上距离1厘米表示实际距离800米,新华书店在光华小学实际距离已知,于是可以求出二者的图上距离,再据二者的方向关系,即可在图上标出新华书店的位置;解答即可。
【详解】(1)超市在光华小学西偏南20°方向处;
(2)4千米=4000米
4000÷800=5(厘米)
作图如下:
【点睛】此题考查了利用方向与距离在平面图中确定物体位置的方法以及线段图上距离和实际距离的关系的灵活应用。
相关试卷
这是一份苏教版六年级数学上册期中综合素养测评质量检测卷十,共43页。试卷主要包含了选择题,填空题,判断题,计算题,作图题,解答题等内容,欢迎下载使用。
这是一份人教版五年级数学上册期中综合素养测评质量检测卷十,共43页。试卷主要包含了选择题,填空题,判断题,计算题,作图题,解答题等内容,欢迎下载使用。
这是一份人教版四年级数学上册期中综合素养测评质量检测卷十,共43页。试卷主要包含了选择题,填空题,判断题,计算题,作图题,解答题等内容,欢迎下载使用。
