所属成套资源:(最新更新-全题型全考点)《备战2024年高考数学一轮复习》(新教材新高考)
- 第07讲 利用导数研究函数的零点问题(1类核心考点精讲精练)-备战2024年高考数学一轮复习(新教材新高考) 试卷 1 次下载
- 第08讲 利用导数研究方程的根(1类核心考点精讲精练)-备战2024年高考数学一轮复习(新教材新高考) 试卷 1 次下载
- 第12讲 利用二阶导函数解决函数问题(高阶拓展)(5类核心考点精讲精练)-备战2024年高考数学一轮复习(新教材新高考) 试卷 1 次下载
- 第13讲 利用洛必达法则解决导数问题(高阶拓展)(2类核心考点精讲精练)-备战2024年高考数学一轮复习(新教材新高考) 试卷 1 次下载
- 第14讲 泰勒展开式及相关不等式放缩在导数中的应用(高阶拓展)(1类核心考点精讲精练)-备战2024年高考数学一轮复习(新教材新高考) 试卷 2 次下载
第10讲 构造函数及不等式放缩判断函数值大小关系及其他综合问题(3类核心考点精讲精练)-备战2024年高考数学一轮复习(新教材新高考)
展开
这是一份第10讲 构造函数及不等式放缩判断函数值大小关系及其他综合问题(3类核心考点精讲精练)-备战2024年高考数学一轮复习(新教材新高考),共10页。试卷主要包含了 4年真题考点分布, 命题规律及备考策略,构造不同函数,比较不同函数值,先同构,再构造,再比较等内容,欢迎下载使用。
(核心考点精讲精练)
1. 4年真题考点分布
2. 命题规律及备考策略
【命题规律】本节内容是新高考卷的必考内容,设题稳定,难度较大,分值为5-12分
【备考策略】1会结合实际情况构造函数
2能用导数证明函数的单调性
3能求出函数的极值或给定区间的最值
4能结合单调性进行函数值大小比较
【命题预测】比较大小的问题,形式灵活、内涵丰富,学生可以综合运用等价转化、数形结合等数学思想方法解决实际问题,是考查学生的逻辑推理和数学运算等核心素养的有效题型载体。近几年,这类试题得到了高考和各类大型考试命题老师的青睐和追捧。需综合复习
知识讲解
构造函数的重要依据
常见构造类型
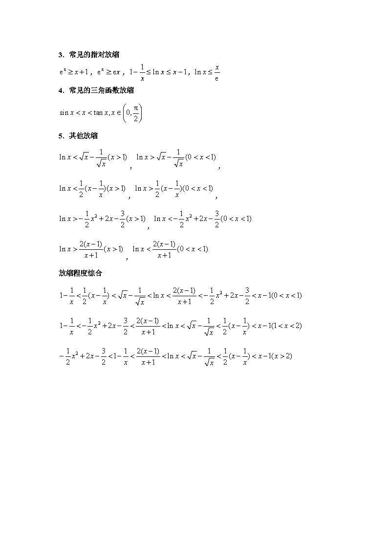
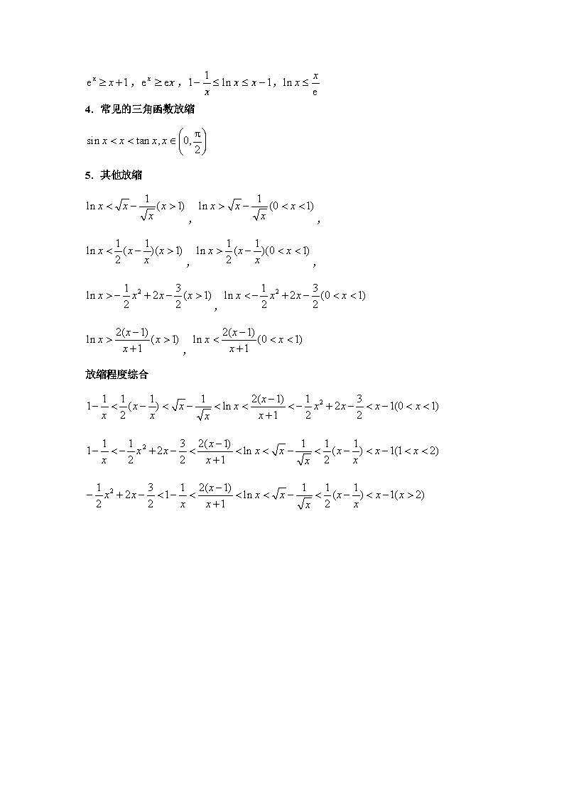
常见的指对放缩
,,,
常见的三角函数放缩
其他放缩
,,
,,
,
,
放缩程度综合
,
方法技巧
1构造相同函数,比较不同函数值
2构造不同函数,比较相同函数值
3.构造不同函数,比较不同函数值
这个时候,不等式放缩就是首选之道了!
4.先同构,再构造,再比较
当题干呈现一个较复杂的等式或者不等式关系,并没有前几类那么明显的数字时,往往可能现需要同构(变形)出一个函数之后再来比较大小.
考点一、构造函数利用单调性判断函数值大小关系
1.(2022·全国·统考高考真题)设,则( )
A.B.C.D.
2.(2021·全国·统考高考真题)设,,.则( )
A.B.C.D.
1.(2023·湖北武汉·华中师大一附中校考模拟预测)设,则下列关系正确的是( )
A.B.C.D.
2.(2023·河北·统考模拟预测)设,,,则( )
A.B.C.D.
3.(2024秋·云南·高三云南师大附中校考阶段练习)设,,,则( )
A.B.
C.D.
4.(2023·福建福州·福建省福州第一中学校考模拟预测),则( )
A.B.
C.D.
5.(2023·福建福州·福建省福州第一中学校考二模)设,则( )
A.B.
C.D.
考点二、不等式放缩判断函数值大小关系
1.(2022·全国·统考高考真题)设,则( )
A.B.C.D.
1.(2022·全国·统考高考真题)已知,则( )
A.B.C.D.
考点三、构造函数解决其他综合问题
1.(2023·辽宁·辽宁实验中学校考模拟预测)已知函数是定义在上的可导函数,其导函数为,若对任意有,,且,则不等式的解集为( )
A.B.
C.D.
2.(2023·山东烟台·统考二模)已知函数的定义域为R,其导函数为,且满足,,则不等式的解集为( ).
A.B.
C.D.
1.(2023·全国·高三专题练习)已知函数的定义域为R,且对任意恒成立,则的解集为 .
2.(2023·山东菏泽·山东省鄄城县第一中学校考三模)已知奇函数是定义在上的可导函数,其导函数为,当时,有,则的解集为 .
3.(2023·广东佛山·统考模拟预测)已知是定义在上的偶函数且,若,则的解集为 .
4.(2023·山东·模拟预测)定义在上的可导函数的值域为,满足,若,则的最小值为 .
【基础过关】
一、单选题
1.(2023·山西晋中·统考三模)设 ,则( )
A.B.
C.D.
2.(2023·吉林长春·东北师大附中校考模拟预测)已知,,,则( )
A.B.C.D.
3.(2023春·山东青岛·高二青岛市即墨区第一中学统考期中)已知,,.其中为自然对数的底数,则( )
A.B.C.D.
4.(2023·河南驻马店·统考二模)已知,,,则( )
A.B.C.D.
5.(2023·山西大同·统考模拟预测)已知,,,则a,b,c的大小关系是( )
A.B.C.D.
6.(2023·安徽合肥·合肥市第八中学校考模拟预测)已知,其中,则( )
A.B.
C.D.
7.(2023·全国·高三专题练习)已知定义在上的偶函数的导函数为,当时,,且,则不等式的解集为( )
A.B.
C.D.
8.(2023·陕西榆林·统考三模)定义在上的函数的导函数都存在,,且,,则不等式的解集为( )
A.B.C.D.
9.(2023·重庆·统考模拟预测)已知,,,则( )
A.B.C.D.
10.(2023·贵州遵义·统考三模)已知,,,则( )
A.B.
C.D.
【能力提升】
一、单选题
1.(2023·全国·高三专题练习)设,,,则( )
A.B.
C.D.
2.(2023·全国·高三专题练习)若,,,则( )
A.B.C.D.
3.(2023·全国·高三专题练习)已知,则( )
A.B.
C.D.
4.(2023·湖南长沙·长沙市实验中学校考二模)已知,,,则(参考数据:)( )
A.B.C.D.
5.(2023·湖南长沙·周南中学校考三模)设,,,则( )
A.B.
C.D.
6.(2023·海南·统考模拟预测)已知,,,则( )
A.B.
C.D.
7.(2023·四川自贡·统考三模)设,,,则( )
A.B.
C.D.
8.(2023·河北·统考模拟预测)设,,,则( )
A.B.C.D.
二、多选题
9.(2023春·重庆·高三校联考阶段练习)已知函数在上可导, 其导函数为 , 若满足:,, 则下列判断一定不正确的是 ( )
A.B.
C.D.
三、填空题
10.(2023·全国·高三专题练习)已知函数及其导函数的定义域均为,满足,,,当时,,则不等式的解集为 .
【真题感知】
一、单选题
1.(全国·高考真题)设函数是奇函数()的导函数,,当时,,则使得成立的的取值范围是
A.B.
C.D.
2.(全国·高考真题)对于R上可导的任意函数,若满足则必有
A.B.
C.D.
4年考情
考题示例
考点分析
关联考点
2022年新I卷,第7题,5分
构造函数、用导数判断或证明函数的单调性
比较指数幂的大小
比较对数式的大小
相关试卷
这是一份第09讲 拓展二:构造函数法解决导数不等式问题(讲+练)-备战2024年高考数学一轮复习精讲精练高效测(新教材新高考),文件包含第09讲拓展二构造函数法解决导数不等式问题精讲+精练原卷版docx、第09讲拓展二构造函数法解决导数不等式问题精讲+精练解析版docx等2份试卷配套教学资源,其中试卷共45页, 欢迎下载使用。
这是一份2024年高考数学一轮复习高频考点精讲精练(新教材新高考) 第09讲 拓展二:构造函数法解决导数不等式问题 (高频精讲)(原卷版+解析版),共35页。试卷主要包含了两个基本还原,类型一,类型二等内容,欢迎下载使用。
这是一份第04讲 空间中的垂直关系(4类核心考点精讲精练)-备战2024年高考数学一轮复习(新教材新高考),共5页。试卷主要包含了 4年真题考点分布, 命题规律及备考策略等内容,欢迎下载使用。

