广东省广州市增城中学、广东华侨,协和中学三校2023届高三数学上学期期中联考试题(Word版附解析)
展开2022年11
一、单项选择题:本题包括8小题,每小题5分,共40分.每小题给出的四个选项中,只有一个选项符合题目要求.多选、错选均不得分.
1. 已知集合,则( )
A. B. C. D.
【答案】A
【解析】
【分析】根据对数函数单调性解不等式化简集合A,由二次不等式化简B,直接计算并集即可.
【详解】,
,
故选:A
2. 已知复数,则复数的虚部为( )
A. B. C. D.
【答案】C
【解析】
【分析】先由复数的运算求出,再求出虚部即可.
【详解】,故虚部为.
故选:C
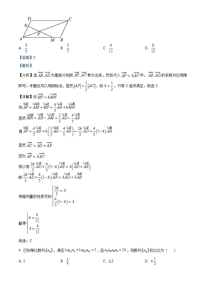
3. 如图,在平行四边形中,分别为上的点,且,连接交于点,若,则的值为( )
A. B. C. D.
【答案】C
【解析】
【分析】选为基底分别把表示出来,然后代入中,的系数对应相等即可;本题也可以用排除法,显然,故,只有C选项满足,故选C.
【详解】设
则
显然
得
显然
因为
所以有
即
根据向量的性质可知
解得
故选:C
4. 已知等比数列,满足,且,则数列的公比为( )
A. 2B. C. D.
【答案】B
【解析】
【分析】利用对数运算性质可得且,从而,由等比数列性质有,所以,即可求公比.
【详解】令公比为,
由,
故且,
所以,则,
又,,则,
所以,
综上,.
故选:B.
5. 水车在古代是进行灌溉引水的工具,是人类一项古老的发明,也是人类利用自然和改造自然的象征.如图是一个半径为的水车,一个水斗从点出发,沿圆周按逆时针方向匀速旋转,且旋转一周用时8秒.经过秒后,水斗旋转到点,设点的坐标为,其纵坐标满足,则的表达式为( )
A. B.
C. D.
【答案】D
【解析】
【分析】由点A坐标,可求得.由题可知的最小正周期为8,据此可求得.又由题,有,结合可得.
【详解】因点在水车上,所以.
由题可知的最小正周期为8,则,又,则.
因,则,又,故.
综上:.
故选:D
6. 设,则“”是“”的( )
A. 充要条件B. 充分而不必要条件
C. 必要而不充分条件D. 既不充分也不必要条件
【答案】B
【解析】
【分析】结合基本不等式、不等式的性质,根据充分必要条件的定义判断.
【详解】,若,则
,当且仅当时等号同时成立,充分性满足,
若,不一定成立,例如,时,,但,必要性不满足,
故选:B.
7. 已知函数在区间上单调,且对任意实数均有成立,则( )
A. B. C. D.
【答案】D
【解析】
【分析】根据题意,利用正弦函数的图象和性质,求出,由是函数的最大值点,即可求出.
【详解】由题意知,函数的最小正周期为,
因为函数在上单调,且恒成立,
所以,即,解得,
又是函数的最大值点,是函数的最小值点,
所以,又 ,解得.
故选:D.
8. 已知定义在上的函数是偶函数,且在上单调递增,则满足的的取值范围为( )
A. B.
C. D.
【答案】A
【解析】
【分析】将变形为,利用奇偶性和在上的单调性列出不等式,求出的取值范围.
【详解】,即,
因为是定义在R上的偶函数,且在上单调递增,
所以,解得:或
故选:A.
二、多项选择题:本题共4小题,每小题5分,共20分.在每小题给出的选项中,有多项符合题目要求,全部选对的得5分,部分选对的得2分,有选错的得0分.
9. 下列是递增数列的是( )
A. B. C. D.
【答案】BC
【解析】
【分析】根据增数列的定义,逐项分析即可.
【详解】对于A, ,是摆动数列,不符合题意;
对于B, ,符合题意;
对于C, ,当 时, ,符合题意;
对于D, ,当 时, ,不符合题意;
故选:BC.
10. 有下列说法,其中正确的说法为( )
A. 为实数,若,则与共线
B. 若,则在上的投影向量为
C. 两个非零向量,若,则与垂直
D. 若分别表示面积,则
【答案】BCD
【解析】
【分析】根据平面向量共线定理及向量的坐标运算即可判断ABC,然后结合图形,结合向量运算及三角形面积公式即可判断D.
【详解】对于A,当时,很显然,但是与不共线,故A错误;
对于B,因为在上的投影向量为
故B正确;
对于C,因为向量为非零向量,且,
即,故与垂直,即C正确;
对于D,如图所示取中点为,则,
由,可知,
所以三点共线,且,故,故D正确.
故选:BCD.
11. 已知函数满足,有,且,当时,,则下列说法正确的是( )
A. 是奇函数
B. 时,单调递减
C. 关于点对称
D. 时,方程所有根的和为30
【答案】AD
【解析】
【分析】利用已知条件可知在上为奇函数且单调递减,根据可知函数周期为4,根据函数周期性可以推导出函数关于、,对称,根据函数图像即可判断各选项的正误.
【详解】由题设知:,故在上为奇函数且单调递减,
根据可知函数周期为4,
又,即关于、,对称.
对于A选项,由于关于,对称,即,的周期为,得,即,所以为奇函数,故A正确;
对于B选项,等价于,由上易知:上递减,上递增,故不单调,故B错误;
对于C选项,由上知:关于对称且,所以不关于对称,故C错误;
对于D选项,由题意,只需确定与在的交点,判断交点横坐标的对称情况即可求和,如下图示,
∴共有6个交点且关于对称,则,
∴所有根的和为,故D正确.
故选:AD
【点睛】关键点点睛:根据已知函数的性质确定对称轴、对称中心、周期,并应用数形结合判断函数的交点情况,即可知各项的正误.
12. 已知各项都是正数的数列的前项和为,且,则( )
A. 是等差数列B. 当或16时,的前项和最小
C. D.
【答案】ABD
【解析】
【分析】利用定义证明等差数列判断A选项正误,分析通项公式的正负比较大小,判断BC选项的正误,通过构造函数,并利用导函数研究函数的单调性判断D选项的正误.
【详解】解:已知,
对于A, ,,解得:,
时,
整理得:,
故是等差数列,选项A正确;
对于B,,则,
令,则数列的通项公式为,
,,其前15项均为负数,
因此,当或16时,数列的前项和最小,选项B正确;
对于C,,选项C错误;
对于D,令,,则,
在单调递增,,
则,即,选项D正确;
故选:ABD.
三、填空题:本大题共4小题,每小题5分
13. 设是公比不为1的等比数列,且,则的通项公式___________.
【答案】.
【解析】
【分析】根据已知条件列方程求出公比,从而可求出通项公式.
【详解】设等比数列的公式为(),
因为,
所以,即,
解得或(舍去),
所以,
故答案为:.
14. 曲线在处的切线方程为__________.
【答案】
【解析】
【分析】利用导数的几何意义求解即可.
【详解】,切点为,
,,
切线为:,即.
故答案为:
15. 已知,则___________.
【答案】
【解析】
【分析】根据同角三角函数基本关系,求出,再由角的变换及两角差的正切公式求出,即可得解.
【详解】,,
,,
,
,
.
故答案为:.
16. 已知菱形的各边长为,如图所示,将沿折起,使得点到达点的位置,连接,得到三棱锥,若则三棱锥的体积为___________,是线段的中点,点在三棱锥的外接球上运动,且始终保持,则点的轨迹的周长为___________.
【答案】 ①. ②. ##
【解析】
【分析】取中点,由题可得平面,进而可得三棱锥高,进而得出体积,设点轨迹所在平面为,则轨迹为平面截三棱锥的外接球的截面圆,利用球的截面性质求截面圆半径即得.
【详解】取中点,连接,则,平面,
∴平面,,
又,,
∴,则三棱锥的高,
三棱锥体积为;
作于,设点轨迹所在平面为,
则平面经过点且,
设三棱锥外接球的球心为的中心分别为,
易知平面平面,且四点共面,
由题可得,,
,又,
则三棱锥外接球半径,
易知到平面的距离,
故平面截外接球所得截面圆的半径为,
∴截面圆的周长为,即点轨迹的周长为.
故答案为:;.
【点睛】关键点点睛:对于求三棱锥外接球半径,关键在于找到三棱锥外接球的球心,根据勾股定理得出三棱锥外接球的半径.
四、解答题:解答应写出文字说明,证明过程或演算步骤.
17. 在中,内角所对边分别为,且满足.
(1)求角;
(2)已知,的外接圆半径为,求的边上的高.
【答案】(1)
(2)
【解析】
【分析】(1)根据正弦定理边化角即可;
(2)先根据正弦定理求得,再根据余弦定理求得,进而根据等面积法求得.
【小问1详解】
解:在中,
由,根据正弦定理得
,
,
,
,
又,
.
【小问2详解】
解:在中,
,
,
根据余弦定理得
,
即,
,
,
,
.
18. 设数列满足,且.
(1)求证:数列为等差数列,并求的通项公式;
(2)设,求数列的前99项和.
【答案】(1)
(2)
【解析】
【分析】(1)根据递推式,变形为,由等差数列定义可证明结论;利用累加法求得通项公式;
(2)根据,利用并项求和法,可得答案.
【小问1详解】
由已知得, 即,
是以2为首项, 2为公差的等差数列.
,
当时,,
当时,也满足上式,所以;
【小问2详解】
,
当时,
19. 已知函数.
(1)如果函数在处取到最大值,,求的值;
(2)设,若对任意的有恒成立,求的取值集合.
【答案】(1)
(2)
【解析】
【分析】(1)利用两角和的正弦公式化简,再根据正弦函数的图像求解即可;
(2)利用诱导公式和二倍角公式化简即可求解.
【小问1详解】
由题意可得,
因为函数在处取到最大值,
所以由正弦函数的图像得,
又因为,解得.
【小问2详解】
由(1)得
恒成立,
所以,即,解得.即
20. 如图,在直三棱柱中,侧棱长为是边长为2的正三角形,分别是的中点.
(1)求证:面面;
(2)求平面与平面的夹角的余弦值.
【答案】(1)详见解析
(2)
【解析】
【分析】(1)由已知条件可证,,可得平面,即可求证;
(2)建立空间直角坐标系,求出平面的法向量和平面法向量,利用向量的夹角公式即可求解.
【小问1详解】
证明:连接在三棱柱中,
因底面,平面,
所以.
又为等边三角形,E为的中点,所以.
因为,且平面,平面,
所以平面,平面,
所以平面平面.
【小问2详解】
取中点F,连结,
则因为D,F分别为,的中点,所以.
因平面平面,且平面平面,
平面,所以平面,
如图建立空间直角坐标系,
由题意得,, ,
,,
设平面的法向量,
则,
令则.
平面的法向量
所以
平面与平面的夹角的余弦值是.
21. 已知椭圆的下顶点为,过右焦点且与轴垂直的直线被截得的线段长为.
(1)求椭圆的标准方程;
(2)设直线交椭圆于异于点的两点,以为直径的圆经过点,线段的中垂线与轴的交点为,求的取值范围.
【答案】(1)
(2)
【解析】
【分析】(1)由题设有,令,求得,再结合已知求出a,进而写出椭圆方程;
(2)讨论的斜率,当斜率存在时设、,联立椭圆方程结合韦达定理求关于的表达式,再由,应用数量积的坐标表示列方程求参数m,进而求线段中垂线的方程及的范围,即可确定的取值范围.
【小问1详解】
解:因为椭圆的下顶点为,
所以,
椭圆的右焦点为,
令,则,解得,
则,所以,
所以椭圆的标准方程为;
【小问2详解】
解:①当直线的斜率不存在时,显然不合题意;
②当直线斜率存在时,设,
当时,此时关于y轴对称,令,
∴且,则,又,
∴,解得或(舍),则符合题设,
∴此时有;
当时,设,
联立,得,
,得,
且,
由,
即,
∴,
整理得,解得(舍去),
代入得:,
∴为,
设的中点为,
则,
则线段的中垂线为,
∴在轴上截距,
而,
当且仅当,即时,取等号,
∴且,
综合所述,.
【点睛】关键点点睛:第二问,讨论直线斜率,设直线方程及交点坐标,联立椭圆方程并应用韦达定理求交点坐标与所设直线参数的表达式,再根据向量垂直的坐标表示求参数,进而确定中垂线方程及参数范围.
22. 已知函数,函数.
(1)求函数的单调区间;
(2)若对任意的恒成立,求实数的取值范围.
【答案】(1)增区间是,减区间是.
(2).
【解析】
【分析】(1)求出导函数,对,由函数性质得,对对再一次求导,确定单调性后得导数值的正负,从而得单调区间;
(2)构造函数,求出导函数,对再一次求导后,还要第三次求导,然后由时的导数值的正负分类讨论求解.
【小问1详解】
,
时,,又,则,因此,递减,
设(),则,时,,,
是增函数,即是增函数,所以,因此递增,
∴的增区间是,减区间是.
【小问2详解】
,
设,满足题意,
,令,
则,令,
则,∴即在上是增函数,
,
当时,,即在上递增,
∴,在上递增,所以恒成立,原不等式恒成立,
当时,则,又,
∴存在,值得,
时,,即递减,时,,即递增,
又,∴时,,从而递减,于是不合题意,
综上,的取值范围是.
【点睛】方法点睛:函数不等式恒成立问题的解题方法有:
(1)直接法,直接构造函数,利用函数的值域或最值得参数范围;
(2)分离参数法,通过分离参数构造新的函数,由新函数的值域(或最值)得参数范围;
(3)数形结合法,不等式变形,然后构造两个函数(通常变化的是一次函数,固定的是较为复杂的函数),通过函数图象求解.
广东省五校2023届高三数学上学期11月期中联考试题(Word版附解析): 这是一份广东省五校2023届高三数学上学期11月期中联考试题(Word版附解析),共7页。试卷主要包含了 中国空间站, 设,是双曲线C, 已知复数,则等内容,欢迎下载使用。
【期中真题】广东省广州市增城中学、广东华侨,协和中学三校2023届高三上学期期中联考数学试题.zip: 这是一份【期中真题】广东省广州市增城中学、广东华侨,协和中学三校2023届高三上学期期中联考数学试题.zip,文件包含期中真题广东省广州市增城中学广东华侨协和中学三校2023届高三上学期期中联考数学试题原卷版docx、期中真题广东省广州市增城中学广东华侨协和中学三校2023届高三上学期期中联考数学试题解析版docx等2份试卷配套教学资源,其中试卷共24页, 欢迎下载使用。
2022-2023学年广东省协和、华侨、增城中学高二上学期期末数学试题(解析版): 这是一份2022-2023学年广东省协和、华侨、增城中学高二上学期期末数学试题(解析版),共19页。试卷主要包含了单选题,多选题,填空题,解答题等内容,欢迎下载使用。

