所属成套资源:2024菏泽鄄城县一中高三上学期10月月考试题及答案(九科)
2024菏泽鄄城县一中高三上学期10月月考试题数学含解析
展开
这是一份2024菏泽鄄城县一中高三上学期10月月考试题数学含解析,共11页。试卷主要包含了请将答案正确填写在答题卡上等内容,欢迎下载使用。
注意事项:
1.答题前填写好自己的姓名、班级、考号等信息.
2.请将答案正确填写在答题卡上.
第Ⅰ卷(选择题)
一、单选题(每题5分,共40分)
1. 下列命题中为真命题是( )
A. 所有的矩形都是正方形
B. 集合与集合表示同一集合
C. 是的必要不充分条件
D. ,
【答案】C
【解析】
【分析】由正方形与矩形的概念可判定A项,由描述法的概念可判定B项,由平方的性质结合充分必要条件的定义可判定C项,由配方法可判定D项.
【详解】对于A项,所有长宽不等的矩形都不是正方形,故A错误;
对于B项,由描述法的概念可知集合与集合分别表示点的集合与数的集合,
显然不表示同一集合,故B错误;
对于C项,由,不满足充分性,若则,满足必要性,故C正确;
对于D项,,故D错误.
故选:C
2. 设,则“”是“”成立( )
A. 充分不必要条件B. 必要不充分条件
C. 充要条件D. 既不充分也不必要条件
【答案】A
【解析】
【分析】根据对数函数的单调性,解出不等式,即可得到结果.
【详解】由可得,,即 ,
又在上单调递增,所以有.
又若,则是真命题;若,则是假命题.
所以,“”是“” 的充分不必要条件.
故选:A.
3. 已知是奇函数,则( )
A. B. C. 0D. 1
【答案】C
【解析】
【分析】根据奇函数求参数值,注意验证所得参数值是否满足函数为奇函数即可.
【详解】由题设,则,
而满足题设.
所以.
故选:C
4. 已知函数的最小正周期是,当时,函数取得最小值,则( )
A. B. C. D.
【答案】B
【解析】
【分析】由函数的最小正周期可求得的值,由当时,函数取得最小值,可求出的值,可得出函数的解析式,然后代值计算可得的值.
【详解】因为函数的最小正周期是,则,则,
当时,函数取得最小值,则,
所以,,所以,,其中,
因此,.
故选:B.
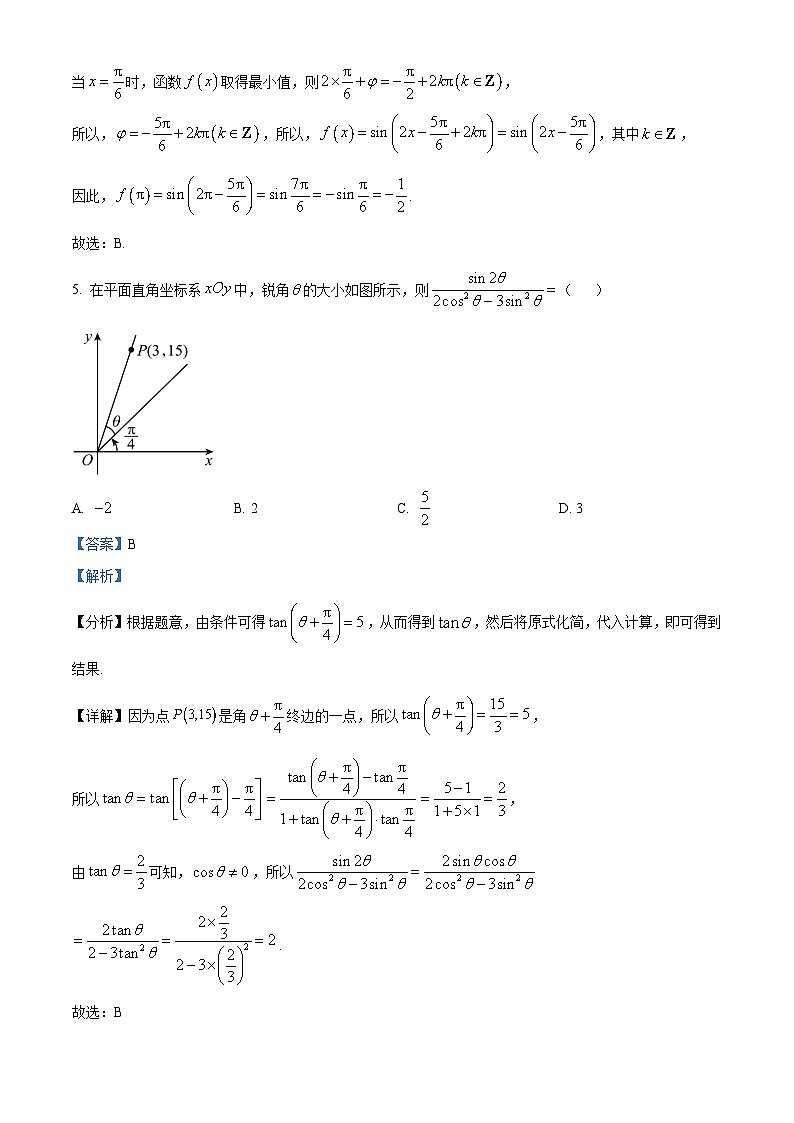
5. 在平面直角坐标系中,锐角的大小如图所示,则( )
A. B. 2C. D. 3
【答案】B
【解析】
【分析】根据题意,由条件可得,从而得到,然后将原式化简,代入计算,即可得到结果.
【详解】因为点是角终边的一点,所以,
所以,
由可知,,所以
.
故选:B
6. 将函数的图象向左平移个单位长度后得到函数的图象,若函数在上单调递增,则实数的取值范围是( )
A. B. C. D.
【答案】B
【解析】
【分析】根据三角函数平移变换原则可得,采用整体代换的方式,结合正弦函数单调性可构造不等式组求得的范围,结合和进行讨论即可求得结果.
【详解】由题意知:,
当时,,
在上单调递增,,;
若,则,,此时,
又,,;
若,则,,此时,
与矛盾,不合题意;
综上所述:实数的取值范围为.
故选:B.
7. 筒车是我国古代发明的一种水利灌溉工具,既经济又环保,明代科学家徐光启在《农政全书》中用图1描绘了筒车的工作原理.假定在水流稳定的情况下,筒车上的每一个盛水筒都做匀速圆周运动.将筒车抽象为一个几何图形(圆),筒车的半径为2m,筒车的轴心O到水面的距离为1m,筒车每分钟按逆时针转动2圈.规定:盛水筒M对应的点P从水中浮现(即时的位置)时开始计算时间,设盛水筒M从运动到点P时所用时间为t(单位:s),且此时点P距离水面的高度为h(单位:m).若以筒车的轴心O为坐标原点,过点O的水平直线为x轴建立平面直角坐标系(如图2),则h与t的函数关系式为( )
A. ,B. ,
C. ,D. ,
【答案】A
【解析】
【分析】
首先先求以为终边的角为,再根据三角函数的定义求点的纵坐标,以及根据图形表示.
【详解】,所以对应的角是,
由在内转过的角为,
可知以为始边,以为终边的角为,
则点的纵坐标为,
所以点距水面的高度表示为的函数是.
故选:A
【点睛】关键点点睛:本题的关键读懂题意,并能抽象出函数关系,关键是求以在内转过的角为,再求以为终边的角为.
8. 已知,,,则( )
A. B. C. D.
【答案】C
【解析】
分析】构造,研究单调性与最值得到(当且仅当时取等号),进而得到;
通过得到进而得到.
【详解】设,则,
当时,,单调递增,
当时,,单调递减,
所以,即,所以,
所以(当且仅当时取等号),
令,则,所以;
设,则,
所以在单调递增,所以,即,
令,则,即.
所以.
故选:C
【点睛】方法点睛:本题考查构造函数比较大小问题.比较大小的常见方法有:
(1)利用作差法或者作商法与特殊值比较;
(2)构造相关函数,利用导数研究其单调性进而比较函数值;
(3)利用中间量进行放缩比较.
二、多选题(每题5分,共20分,每小题有多个选项符合题目要求,全部选对得5分,选对但不全的得2分,有错选的得0分.)
9. 已知函数(且)的图象过定点,且角的终边经过,则( )
A. B.
C. D.
【答案】BCD
【解析】
【分析】先根据对数函数的性质求出定点,再根据三角函数的定义、倍角正弦公式及两角和的正切公式计算即可得解.
【详解】因为,
令,得,进而,则,故A错误;
因为,
所以,,,
则,
,故BCD正确.
故选:BCD.
10. 已知函数,则下列结论正确的是( )
A. 的最小正周期为
B.
C. 是图象的一条对称轴
D. 将的图象向左平移个单位后,得到的图象关于原点对称
【答案】BCD
【解析】
【分析】利用三角恒等变换得,然后根据三角函数的性质逐一判断即可.
【详解】由,故B正确;
,故A错误;
又,由正弦函数的性质可知,是图像的一条对称轴,故C正确;
将的图像向左平移个单位,得,
是奇函数图像关于原点对称,故D正确.
故选:BCD.
11. 已知a,b,c分别是三个内角A,B,C的对边,下列四个命题中正确的是( )
A. 若,则或
B. 若,则为锐角三角形
C. 若,则是等腰三角形
D. 若,,分别表示,的面积,则
【答案】AD
【解析】
【分析】A选项,由正弦定理结合大边对大角可判断选项;B选项,由,结合正余弦定理可判断选项正误;C选项,由题可得,即可判断选项正误;D选项,由题可得,令,结合题意,可得O为中点,,即可判断选项正误.
【详解】A选项,由正弦定理,,
又,则,则或,
且注意两种情况均可满足三角形内角和为,故A正确;
B选项,由,结合,
可得,
即,即只能得到C为锐角,不能得到为锐角三角形,故B错误;
C选项,由正弦定理,.
易得或,即是等腰三角形或直角三角形.故C错误;
D选项,由,可得.
设,则共线,O为中点.
又.则三点共线.
则,故D正确.
故选:AD.
12. 已知定义在上的函数,其导函数的定义域也为.若,且为奇函数,则( )
A. B.
C. D.
【答案】ACD
【解析】
【分析】由题意可以推出的周期以及对称中心,根据,可得的周期是4,又是由向左平移1个单位得到的,且注意到为奇函数,因此的对称中心为;然后对每一选项逐一验证判断即可.
【详解】对于A选项:注意到,又是由向左平移1个单位得到的,
且注意到为奇函数,因此的对称中心为即,因此;故A选项符合题意.
对于B选项:令,此时满足题意,但,故B选项不符题意.
对于C选项:因为的对称中心为,所以,又已知,
所以,这表明了关于直线对称,即,
由复合函数求导法则且同时两边对求导得;故C选项符合题意.
对于D选项:由的对称中心为,即,两边对求导得,
结合C选项分析结论,可知,
所以这表明了的周期为4,
因此,注意到,
所以;故D选项符合题意.
故选:ACD.
【点睛】关键点点睛:解决本题有两个关键之处,一方面:的周期以及对称中心并举反例排除B选项;另一方面:得出的对称轴,进而求出的奇偶性、周期性.
第Ⅱ卷(非选择题)
三、填空题(每题5分,共20分)
13. 已知,则______.
【答案】
【解析】
【分析】利用诱导公式和二倍角公式把用来表示即可求解.
【详解】.
故答案为:.
14. 已知幂函数在单调递减,则实数_________.
【答案】
【解析】
【分析】根据幂函数的定义与性质列式求解即可.
【详解】由题意可得:,解得.
故答案为:.
15. 已知锐角,角所对的边分别为 ,若,,则a的取范围是___________.
【答案】
【解析】
【分析】由正弦定理得到,再由余弦定理求得,根据题意得到,求得,又由,结合,得出不等式,求得,即可求解.
【详解】因为,由正弦定理可得,
又由余弦定理得,可得,
因为,可得,
因为为锐角三角形,所以,可得,
所以,
又因为,所以,
因为,可得,所以,
即,解得或(舍去),
所以实数的取值范围为.
故答案为:.
16. 已知函数,,,在内恰有两个极值点,且,则的所有可能取值构成的集合是__________.
【答案】
【解析】
【详解】在内恰有两个极值点,若最小正周期为,又,
则,即,,解得:,
又,或;
,,关于中心对称,
,解得:;
当时,,又,;
当时,,又,或;
综上所述:的所有可能取值构成的集合为.
故答案为:.
【点睛】关键点点睛:本题考查根据三角函数性质求解参数值的问题,解题关键是能够根据函数极值点的个数和对称性确定函数的最小正周期与区间长度之间的关系,由此可构造不等式求得的值.
四、解答题(共70分)
17. 命题p:“,”,命题q:“,”.
(1)当p为假命题时,求实数a的取值范围;
(2)若p和q中有且只有一个是真命题,求实数a的取值范围.
【答案】(1)
(2)或
【解析】
【分析】(1)根据全称命题的否定,结合二次函数的性质,可得答案;
(2)利用分类讨论的解题思想,可得答案.
【小问1详解】
由p为假命题,则为真命题,即,,
令,开口向上,则
所以.
【小问2详解】
由(1)可知,当p为真命题时,;当p为假命题时,.
当q真命题时,,解得;当q为假命题时,.
当p为真命题,q为假命题时,;当p为假命题,q为真命题时,;
则p和q中有且只有一个是真命题时,或.
18. 已知函数的部分图象如图所示,且图中的.
(1)求的解析式;
(2)判断函数在上的零点个数,并说明理由.
【答案】(1)
(2)在上有个零点,理由见解析
【解析】
【分析】(1)根据函数图象得到,再求出函数的一条对称轴,即可求出函数的周期,从而求出,最后根据函数的最大值求出,即可求出函数解析式.
(2)问题等价于的图象与直线在上的交点个数,分析函数的取值及画出函数图象,数形结合即可判断.
【小问1详解】
由图可知,又图象的一条对称轴为直线,
由,得,所以,
因为,所以,
得,
又,所以,
故.
【小问2详解】
在上有个零点.
理由如下:在上的零点个数等于的图象与直线在上的交点个数,
令,得,当时,,当时,,
,与,的函数图象如下所示:
由图可知两函数有且只有个交点,故在上有个零点.
19. 的内角A,B,C的对边分别为a,b,c,已知.
(1)求角A的大小;
(2)求的取值范围.
【答案】(1);(2).
【解析】
【分析】(1)利用余弦定理求得,再由,即可求得;
(2)由三角形内角和定理得到及.把转化为,利用三角函数求范围即可.
【详解】(1)在中,因为,由余弦定理得:
.
因为,所以.
(2)由三角形内角和定理及可得:,所以且.
因为,所以,所以,
即的取值范围为.
20. 已知函数.
(1)求函数的最小正周期;
(2)将函数的图象向右平移个单位长度后,再将得到的图象上所有点的纵坐标变为原来的倍,横坐标不变,再将得到的图象向下平移个单位长度得到函数的图象.若函数在上的零点个数为,求的取值范围.
【答案】(1)函数的最小正周期为
(2)
【解析】
【分析】(1)利用三角恒等变换化简函数的解析式,利用正弦型函数的周期公式可求得函数的最小正周期;
(2)利用三角函数图象变换可求得函数的解析式,由可得,分析可知直线与函数在上的图象有两个公共点,数形结合可得出实数的取值范围.
【小问1详解】
解:因为
,
所以,函数的最小正周期为.
【小问2详解】
解:将函数的图象向右平移个单位长度,可得到函数的图象,
再将得到的图象上所有点的纵坐标变为原来的倍,横坐标不变,再将得到的图象向下平移个单位长度得到函数的图象,
则,其中,
由可得,则直线与函数在上的图象有两个公共点,
因为,则,如下图所示:
因为,由图可知,当时,
直线与函数在上的图象有两个公共点,
因此,实数的取值范围是.
21. 如图,已知平面四边形存在外接圆,且,,.
(1)求的面积;
(2)求的周长的最大值.
【答案】(1)3 (2)
【解析】
【分析】(1)根据四边形存在外接圆的几何性质可得,利用平方关系可得,再根据面积公式可得的面积;
(2)根据余弦定理求解的长,再由余弦定理与基本不等式可得的最值,从而得的周长的最大值.
【小问1详解】
因为平面四边形存在外接圆,
所以,,
又,所以,
所以的面积.
【小问2详解】
在中,由余弦定理得
,
解得.
在中,由余弦定理得,
即
.
由此得,当且仅当时,等号成立,
所以,故的周长.
22. 已知函数.
(1)若,求的单调区间;
(2)讨论的零点情况.
【答案】(1)递增区间为,递减区间为
(2)答案见解析
【解析】
【分析】(1)求得,结合导数的符号,即可求解函数的单调区间;
(2)根据题意转化为,令,利用导数求得函数的单调性和极值,结合图象,即可求解.
小问1详解】
解:当时,则,可得,
令,解得,
当时,,
当时,,
当时,,
所以在单调递增,在单调递减.
【小问2详解】
解:当时,;
当时,等价于,
令,则,
当时,;
当时,;
当时,;
所以在单调递增;在单调递减,
且当时,,当时,;当时,,
如图所示,可得为的极大值,
当,即时,与只有1个交点,即只有1个零点;
当时,与有2个交点,即有2个零点;
当时,与有3个交点,即有3个零点.
综上,时,只有1个零点;当时,有2个零点;
当时,有3个零点.
相关试卷
这是一份2024南阳新野县一中高三上学期12月月考试题数学含解析,共28页。试卷主要包含了单选题,多选题,填空题,解答题等内容,欢迎下载使用。
这是一份2024菏泽鄄城县一中高二上学期12月月考试题数学含解析,共25页。试卷主要包含了选择题,填空题,解答题等内容,欢迎下载使用。
这是一份2024龙岩上杭县一中高三上学期12月月考试题数学含解析,共29页。试卷主要包含了 已知集合,,则, 若,则, “”是“直线, 记等比数列的前项和为, 已知,,,则大小关系为, 已知, 关于函数,,下列命题正确的是, 已知圆C过点,,直线m等内容,欢迎下载使用。

