新高考数学二轮培优精讲精练思想03 运用函数与方程的思想方法解题(含解析)
展开思想03 运用函数与方程的思想方法解题
【命题规律】
高考命题中,以知识为载体,以能力立意、思想方法为灵魂,以核心素养为统领,兼顾试题的基础性、综合性、应用性和创新性,展现数学的科学价值和人文价值.高考试题一是着眼于知识点新颖巧妙的组合,二是着眼于对数学思想方法、数学能力的考查.如果说数学知识是数学的内容,可用文字和符号来记录和描述,那么数学思想方法则是数学的意识,重在领会、运用,属于思维的范畴,用于对数学问题的认识、处理和解决.高考中常用到的数学思想主要有分类讨论思想、数形结合思想、函数与方程思想、转化与化归思想等.
【核心考点目录】
核心考点一:运用函数的思想研究问题
核心考点二:运用方程的思想研究问题
核心考点三:运用函数与方程的思想研究不等式问题
核心考点四:运用函数与方程的思想研究其他问题
【真题回归】
1.(2022·全国·统考高考真题)已知椭圆的离心率为,分别为C的左、右顶点,B为C的上顶点.若,则C的方程为( )
A. B. C. D.
【答案】B
【解析】因为离心率,解得,,
分别为C的左右顶点,则,
B为上顶点,所以.
所以,因为
所以,将代入,解得,
故椭圆的方程为.
故选:B.
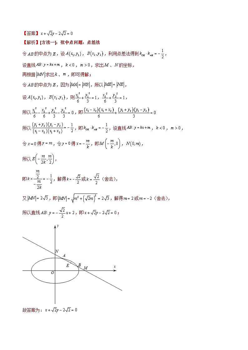
2.(2022·全国·统考高考真题)已知直线l与椭圆在第一象限交于A,B两点,l与x轴,y轴分别交于M,N两点,且,则l的方程为___________.
【答案】
【解析】[方法一]:弦中点问题:点差法
令的中点为,设,,利用点差法得到,
设直线,,,求出、的坐标,
再根据求出、,即可得解;
令的中点为,因为,所以,
设,,则,,
所以,即
所以,即,设直线,,,
令得,令得,即,,
所以,
即,解得或(舍去),
又,即,解得或(舍去),
所以直线,即;
故答案为:
[方法二]:直线与圆锥曲线相交的常规方法
由题意知,点既为线段的中点又是线段MN的中点,
设,,设直线,,,
则,,,因为,所以
联立直线AB与椭圆方程得消掉y得
其中,
∴AB中点E的横坐标,又,∴
∵,,∴,又,解得m=2
所以直线,即
[方法三]:
令的中点为,因为,所以,
设,,则,,
所以,即
所以,即,设直线,,,
令得,令得,即,,所以,
即,解得或(舍去),
又,即,解得或(舍去),
所以直线,即;
故答案为:
3.(2022·全国·统考高考真题)写出与圆和都相切的一条直线的方程________________.
【答案】或或
【解析】[方法一]:
显然直线的斜率不为0,不妨设直线方程为,
于是,
故①,于是或,
再结合①解得或或,
所以直线方程有三条,分别为,,
填一条即可
[方法二]:
设圆的圆心,半径为,
圆的圆心,半径,
则,因此两圆外切,
由图像可知,共有三条直线符合条件,显然符合题意;
又由方程和相减可得方程,
即为过两圆公共切点的切线方程,
又易知两圆圆心所在直线OC的方程为,
直线OC与直线的交点为,
设过该点的直线为,则,解得,
从而该切线的方程为填一条即可
[方法三]:
圆的圆心为,半径为,
圆的圆心为,半径为,
两圆圆心距为,等于两圆半径之和,故两圆外切,
如图,
当切线为l时,因为,所以,设方程为
O到l的距离,解得,所以l的方程为,
当切线为m时,设直线方程为,其中,,
由题意,解得,
当切线为n时,易知切线方程为,
故答案为:或或.
4.(2021·全国·统考高考真题)曲线在点处的切线方程为__________.
【答案】
【解析】由题,当时,,故点在曲线上.
求导得:,所以.
故切线方程为.
故答案为:.
5.(2022·全国·统考高考真题)曲线过坐标原点的两条切线的方程为____________,____________.
【答案】
【解析】[方法一]:化为分段函数,分段求
分和两种情况,当时设切点为,求出函数
导函数,即可求出切线的斜率,从而表示出切线方程,再根据切线过坐标原点求出,即可求出切线方程,当时同理可得;
因为,
当时,设切点为,由,所以,所以切线方程为,
又切线过坐标原点,所以,解得,所以切线方程为,即;
当时,设切点为,由,所以,所以切线方程为,
又切线过坐标原点,所以,解得,所以切线方程为,即;故答案为:;
[方法二]:根据函数的对称性,数形结合
当时,设切点为,由,所以,所以切线方程为,
又切线过坐标原点,所以,解得,所以切线方程为,即;
因为是偶函数,图象为:
所以当时的切线,只需找到关于y轴的对称直线即可.
[方法三]:
因为,
当时,设切点为,由,所以,所以切线方程为,
又切线过坐标原点,所以,解得,所以切线方程为,即;
当时,设切点为,由,所以,所以切线方程为,
又切线过坐标原点,所以,解得,所以切线方程为,即;
故答案为:;.
【方法技巧与总结】
1、函数与方程是紧密相联、可以相互转化的.在研究方程解的存在性、方程解的个数、方程解的分布等问题时,一般利用方程的性质,对方程进行同解变形,进而构造函数,利用函数的图象与性质求解方程问题.例如,方程解的个数可以转化为函数的图象与轴交点的个数,也可以参变分离,转化为水平直线与函数图象交点的个数,也可以部分分离,转化为斜线与函数图象交点的个数,也可以构造两个熟悉函数,转化为两个函数图象交点的个数.
2、在研究函数问题时,运用方程的思想,设出未知数,通过题目中的等量关系,建立方程(组),进而求解方程(组),或者将方程变形,构造新函数,更易于研究其图象和性质.例如,在研究曲线的切线问题时,设出切点横坐标,得到切线斜率,切线方程为 , 从而将函数中的切线问题转化为关于切点横坐标的方程问题.
3、函数、方程、不等式三位一体,常常相互转化.在研究不等式的解集、不等式恒成立、不等式有解、不等式的证明等问题时,最重要的思想方法就是函数与方程思想,构造适当的函数,分析、 转化不等式问题.例如,不等式或恒成立,可以转化为或.也可以考虑参变分离再求函数的最值.
4、函数与方程的思想贯穿高中数学的多个模块,在数列、解析几何、三角形、立体几何等内容中都有广泛的运用.函数思想体现的是运动与变化的观念,通过分析问题中的数量关系,建构函数,再运用函数的图象与性质分析.转化问题,进而解决问题.方程思想体现的是“动中求静”,寻求变化过程中保持不变的等量关系,建构方程(组),通过解方程或方程组,或者运用方程的性质去分析,转化问题,使问题获得解决.
【核心考点】
核心考点一:运用函数的思想研究问题
【典型例题】
例1.(2023·全国·高三专题练习)已知,设函数若关于的方程恰有两个互异的实数解,则实数的取值范围是__________.
【答案】
【解析】当时,令,则,
因为为增函数,所以当该方程在时无实数根时,
,所以,
①时,时有一个解,所以时,有一个解,
当时,是递减的,
则,
所以时有一个解,
即当时,恰有两个互异的实数解;
②时,在时无解,
此时,即,解得或(舍去),
所以方程在时有1个解,
即当时,方程只有一个实数解,
③时,在时无解,
则时,,
所以,该方程要在时有2个不等的实数解,
即函数在上有2个不同的零点,
所以,解得,
综上所述,的范围为,
例2.(2023·全国·高三专题练习)已知函数.
(1)若在上为增函数,求实数的取值范围;
(2)若在上最小值为,求实数的值;
(3)若在上只有一个零点,求实数的取值范围.
【解析】(1)由 得
若在为增函数,则 所以
(2)令
即 最小值为
若 则时最小
若 则时最小 无解
若时 则时最小 得 舍去
(3)只一个零点
由 得 舍去
或
若有二个零点且只一个在内
则
即
解得
.
例3.(2023·全国·高三专题练习)已知函数.
(1)若,证明:当时,;
(2)若在只有一个零点,求的值.
【解析】(1)[方法一]:【最优解】指数找朋友
当时,等价于.
设函数,则.
,所以在单调递减.
而,故当时,,即.
[方法二]:【通性通法】直接利用导数研究函数的单调性求得最小值
当时,.
令,令,得.则函数在区间内单调递减,在区间内单调递增,从而,所以函数在区间内单调递增,有.
[方法三]:【最优解】指对等价转化
当时,.
令,函数在区间上单调递增,故,有,故当时,.
(2)[方法一]:指数找朋友
设函数,
在只有一个零点当且仅当在只有一个零点.
(i)当时,,没有零点;
(ii)当时,.
当时,;当时,.
所以在单调递减,在单调递增.
故是在的最小值.
①若,即,在没有零点;
②若,即,在只有一个零点;
③若,即,由于,所以在有一个零点,
由(1)知,当时,,所以.
故在有一个零点,因此在有两个零点.
综上,在只有一个零点时,.
[方法二]:等价转化为直线与曲线的交点个数
令,得.
令.则函数在区间内单调递减,在区间内单调递增,则.当时,,当时,,故函数在区间内只有一个零点时,.
[方法三]:等价转化为二次曲线与指数函数图象的交点个数
函数在区间内只有一个零点等价于函数的图象与函数的图象在区间内只有一个公共点.由与的图象可知它们在区间内必相切于y轴右侧同一点,设切点为,则,解方程组得,经验证符合题意.
[方法四]:等价转化为直线与曲线的交点个数
当时,,原问题转化为动直线与曲线在区间内只有一个公共点.由得函数在区间内单调递减,在区间内单调递增.设与的切点为,则,于是函数在点P处的切线方程为.由切线过原点可得,故.
[方法五]:【通性通法】含参讨论
因为,,
当时,在区间内单调递增,又,故无零点;
当时,.
①当时,在区间内单调递增,有在区间内单调递增,又,故无零点;
②当时,令,得,故函数在区间内单调递减,在区间内单调递增.,从而单调递增.又,所以无零点.
③当时,,又,所以存在,使得,则函数在区间内单调递增,在区间内单调递减,在区间内单调递增,且,则为函数的唯一零点,且满足.所以,解得,则.
[方法六]:【最优解】等价变形+含参讨论
当时,,无零点;
当时,,记,则;
当时,,函数在区间内单调递增,则有,故无零点;
当时,当时,单调递诚,当时,单调递增,当时,,当时,,
故,得.
【整体点评】(1)方法一:根据指数找朋友,将不等式等价转化为,这样可以减少求导的次数,便于求最值,是该题的最优解.;
方法二:常规的直接求导,研究函数的单调性求最值,是该题的通性通法;
方法三:利用指对互化,将不等式等价转化为,这样可以减少求导的次数,便于求最值,是该题的最优解.
(2)方法一:根据指数找朋友,原函数在只有一个零点等价于在只有一个零点,再分类讨论以及利用导数研究其单调性即可解出;
方法二:利用函数零点个数与两函数图象交点个数关系,等价转化为直线与曲线的交点个数,即可解出;
方法三:利用函数零点个数与两函数图象交点个数关系,等价转化为二次曲线与指数函数图象的交点个数,即可解出;
方法四:同方法二;
方法五:直接含参讨论函数的单调性确定最值,再根据零点存在性定理判断即可解出,是该类型题的通性通法;
方法六:易知当时函数无零点,只需考虑时的情况,,再含参讨论函数的单调性,研究其最值即可解出,是本题的最优解.
核心考点二:运用方程的思想研究问题
【典型例题】
例4.(2023·全国·高三专题练习)已知,其中.
(1)请利用的导函数推出导函数,并求函数的递增区间;
(2)若曲线在点处的切线与曲线在点的切线平行,求(化简为只含的代数式);
(3)证明:当时,存在直线,使得既是的一条切线,也是的一条切线.
【解析】(1)对于,则,
又,所以,
因为,定义域为,
,因为,所以,
所以当时,所以的单调递增区间为;
(2)由,可得曲线在点处的切线的斜率为.
由,可得曲线在点处的切线的斜率为.
这两条切线平行,故有,即,
两边取以为底数的对数,得,
;
(3)证明:曲线在点处的切线,
曲线在点,处的切线.
要证明当时,存在直线,使是曲线的切线,也是曲线的切线,
只需证明当时,存在,使得与重合,
即只需证明当时,方程组
由①得,代入②得:
,③
因此,只需证明当时,关于的方程③存在实数解.
设函数,既要证明当时,函数存在零点.
,可知时,;时,单调递减,
又,,
故存在唯一的,且,使得,即.
由此可得,在上单调递增,在,上单调递减,
在处取得极大值.
,故.
.
下面证明存在实数,使得,
令,则,
所以当时,当时,即在上单调递减,在上单调递增,
所以,即,
所以当时,有
.
存在实数,使得.
因此,当时,存在,使得.
当时,存在直线,使是曲线的切线,也是曲线的切线.
例5.(2023春·安徽滁州·高三校考阶段练习)已知函数.
(Ⅰ)不需证明,直接写出的奇偶性:
(Ⅱ)讨论的单调性,并证明有且仅有两个零点:
(Ⅲ)设是的一个零点,证明曲线在点处的切线也是曲线的切线.
【解析】(Ⅰ)定义域为,函数为奇函数.
(Ⅱ)因为,
由(Ⅰ)知,为奇函数,且
所以,在和上单调递增.
在上,,
所以在上有唯一零点,即.
又为奇函数,.
故在上有唯一零点.
综上,有且仅有两个零点.
(Ⅲ)因为,故点在曲线上.
由题设知即,连接,
则直线的斜率
曲线在点处切线的斜率是;
曲线在点处切线的斜率也是.
所以曲线在点处的切线也是曲线的切线.
例6.(2023·吉林白山·抚松县第一中学校考一模)若直线是曲线的切线,也是的切线,则( )
A. B. C. D.
【答案】C
【解析】设直线与和的切点分别为,,
则切线方程分别为,
,
,
化简得,
依题意上述两直线与是同一条直线,
所以,,解得,
所以.
故选:C.
例7.(2023·全国·高三专题练习)若直线是曲线的切线,也是曲线的切线,则( )
A.2 B.4 C. D.
【答案】A
【解析】对于 ,设切点为 , ,
则切线方程为 ,
即 …①;
对于 ,设切点为 ,
则切线方程为 ,
…②;
由①②得: 解得 , ;
故选:A.
核心考点三:运用函数与方程的思想研究不等式问题
【典型例题】
例8.(2023春·广西·高三期末)已知函数
(1)当时,求的最小值;
(2)若对,不等式恒成立,求a的取值范围.
【解析】(1)化简得,
当时,,
当时等号成立,所以的最小值为2;
(2)由基本不等式得,
当且仅当,即时,等号成立.
又因为,
当且仅当时,等号成立.
所以,
或
或.
例9.(2023·全国·高三专题练习)已知函数,若,求的取值范围( )
A. B.
C. D.
【答案】D
【解析】若,则,,,
即,,解得;
若,则,,,
即,,解得;
若,,,满足,
综上所述,,的取值范围为,
故选:D.
例10.(2023·福建厦门·高三厦门双十中学校考阶段练习)已知函数,若时,,求a的取值范围( )
A. B. C. D.
【答案】B
【解析】由题,得,设,则
,.
当,,单调递增;当,,单调递减.
又,故在存在唯一零点,即在存在唯一零点.
由题设知,可得.因为在存在唯一零点,设为,且当时,;当时,,所以在单调递增,在单调递减.
又,所以,当时,.
又当,时,,故.
因此,a的取值范围是.
故选:B
核心考点四:运用函数与方程的思想研究其他问题
【典型例题】
例11.(2023春·重庆九龙坡·高三重庆市育才中学校考开学考试)已知的内角A,B,C的对边分别是a,b,c,的面积为S,且满足,.
(1)求A和a的大小;
(2)若为锐角三角形,求的面积S的取值范围.
【解析】(1)因为,
由正弦定理得:
所以,
所以,
因为中,所以,
因为,所以,
因为,由余弦定理得:,解得,
综上,,.
(2)由(1)知:,,
由正弦定理得:,.
因为为锐角三角形,故,得.
从而的面积
,
又,,
所以,从而的面积的取值范围为.
例12.(2023春·河北张家口·高三张家口市第一中学校考阶段练习)已知椭圆的离心率为,其中一个焦点在直线上.
(1)求椭圆的方程;
(2)若直线与椭圆交于两点,试求三角形面积的最大值.
【解析】(1)椭圆的一个焦点即为直线与轴的交点,所以,
又离心率为则,,所以椭圆方程为;
(2)联立若直线与椭圆方程得,令,得设方程的两根为,
则,,,
点到直线的距离,
当且仅当,
即或时取等号,而或满足,
所以三角形面积的最大值为1.
例13.(2023春·陕西咸阳·高三陕西咸阳中学校考期中)已知数列是各项均为正数的等差数列.
(1)若,且,,成等比数列,求数列的通项公式;
(2)在(1)的条件下,数列的前n项和为,设,若对任意的,不等式恒成立,求实数k的最小值.
【解析】(1)依题意,,,设正项等差数列的公差为d,则,
于是得,解得或(舍去),则,
所以数列的通项公式是.
(2)因数列的前n项和为,则由(1)知:,
,
,
即,有,则数列是递减数列,因此,,
因对任意的,不等式恒成立,从而得,
所以实数k的最小值为.
例14.(2023春·北京·高三校考期中)已知函数
(1)函数的值域是____________.
(2)若关于x的方程恰有两个互异的实数解,则a的取值范围是______________-.
【答案】
【解析】(1)当时,;
当时,,
所以函数的值域为.
(2)关于x的方程(a∈R)恰有两个互异的实数解,
即函数的图象与直线有两个不同的交点,
在平面直角坐标系内画出函数的图象和直线如图所示,
当直线分别经过点和时,a的值分别为和,
有图易得当时,函数的图象和直线有两个交点;
当直线与函数的图象在内相切时,
有,即有且仅有一个根,
则有,
解得(舍去).
综上所述,a的取值范围是.
故答案为:;.
【新题速递】
一、单选题
1.(2023·广东茂名·高三统考)已知三棱柱的顶点都在球O的表面上,且,若三棱柱的侧面积为,则球O的表面积的最小值是( )
A. B. C. D.
【答案】C
【解析】依题意可知三棱柱是直三棱柱,设其高为,
设,
则,,
,
由余弦定理得,即,
设三角形的外接圆半径为,则,
所以球的半径
,
当且仅当时等号成立.
所以球的表面积的最小值为.
故选:C
2.(2023·重庆万州·高三重庆市万州第二高级中学校考阶段练习)已知函数,,若存在三个零点,则实数a的取值范围是( )
A. B. C. D.
【答案】B
【解析】因为存在三个零点,所以方程存在三个实根,
因为当时,,即有且只有一个实根,
所以当时,,即有且只有2个实根,
令,,则,
由,得,由,得,
所以在上递增,在上递减,
所以当时,取得最大值,
又时,,时,,
由函数,的图象可知,.
所以实数的取值范围是.
故选:B.
3.(2023春·河北沧州·高三阶段练习)已知数列满足:,则下列说法正确的是( )
A.若,则数列是单调递减数列 B.若,则数列是单调递增数列
C.时, D.时,
【答案】C
【解析】由得,
即,
所以数列是以4为公差的等差数列,
函数,
A项,,,在上是单调递增函数,即数列是单调递增数列,
B项,,在上是单调递减函数,即数列是单调递减数列,
C项,时,可知,,
,
D项,时,,由C知,,
故选:C.
二、多选题
4.(2023·浙江嘉兴·高一统考期末)已知平面向量,,满足,,,则下列结论正确的是( )
A.对任意, B.对任意,的最小值为
C.的最大值为 D.的最小值为
【答案】ABD
【解析】对于A,因为,.所以,故A正确.
对于D,设,则,,应用A的结论得,
,等号可以取到,故D正确.
对于B,因为 ,所以,
,故B正确.
对于C,,故C错误,
故选:ABD.
5.(2023春·福建泉州·高三福建省永春第一中学校考阶段练习)已知圆 ,直线,则( )
A.直线恒过定点
B.当时,圆上恰有三个点到直线的距离等于1
C.直线与圆有一个交点
D.若圆与圆 恰有三条公切线,则
【答案】AD
【解析】对于A选项,直线 ,所以,令,解得,所以直线恒过定点,故A选项正确.
对于B选项,当时,直线为:,则圆心到直线的距离为,,所以圆上只有2个点到直线的距离为
,故B选项错误.
对于C选项,因为直线过定点,所以,所以定点在圆内,则直线与圆有两个交点.故C选项错误.
对于D选项,由圆的方程可得,,所以圆心为,半径为,因为两圆有三条公切线,所以两圆的位置关系为外切,则,解得,故D选项正确.
故选:AD
6.(2023春·山东日照·高三统考)下列命题中是真命题的有( )
A.有四个实数解
B.设a、b、c是实数,若二次方程无实根,则
C.若,则
D.若,则函数的最小值为2
【答案】BC
【解析】对:令,容易知其为偶函数,
又当时,令,解得;
故函数有两个零点,即,故错误;
对:若二次方程无实根,故可得,
即可得,故正确;
对:,则,解得,且,
此时一定有,故正确;
对:令,,则原函数
等价于,根据对勾函数的单调性可知,
该函数在区间上是单调增函数,
故可得函数的最小值为.故错误.
故答案为:.
7.(2023春·黑龙江哈尔滨·高三哈尔滨市第六中学校校考阶段练习)已知等差数列的前项和为,若,,则( )
A. B.若,则的最小值为
C.取到最大值时, D.设,则数列的最小项为
【答案】AD
【解析】由,可得,
则等差数列的通项公式为,则选项A判断正确;
若,则
则
(当且仅当时等号成立)
又,则的最小值为不为.则选项B判断错误;
等差数列中,
则等差数列的前项和取到最大值时,或.则选项C判断错误;
设,则,则
则
则数列的最小项为.则选项D判断正确
故选:AD
8.(2023春·福建泉州·高三泉州五中校考)数列满足,,,则下列说法正确的是( )
A.当时,
B.当时,
C.当时,
D.当时,数列单调递增,数列单调递减
【答案】AB
【解析】A选项,,设,整理得:,
所以,故,又,,
所以是首项为2,公比为2的等比数列,
所以,,A正确;
B选项,,
因为,所以,
,
猜想:,下面用数学归纳法进行证明:
显然,满足要求,
假设时,成立,即,
则当时,因为,所以,
故,B正确;
C选项,由B选项知,,
画出与的图象,
因为,且,
画出蛛网图,可以看出:当为奇数时,,当为偶数时,,
,
故,,
所以,,两不等式相加得:,C错误;
,
因为,所以,
显然,,故此时为常数列,D错误.
故选:AB
三、填空题
9.(2023春·四川绵阳·高一四川省绵阳南山中学校考阶段练习)若函数在定义域内存在非零实数,使得,则称函数为“壹函数”,则下列函数是“壹函数”的是______.
①;②;③;④.
【答案】②③
【解析】对于①,的定义域为,由,得,平方得,解得,不是非零实数,则不是“壹函数”;
对于②,的定义域为,由,得,即,解得,则是“壹函数”;
对于③,的定义域为,由,得,可得,即,解得,则是“壹函数”;
对于④,的定义域为,由,得,解得,不是非零实数,则不是“壹函数”.
故答案为:②③.
10.(2023春·四川成都·高一校联考)已知函数 满足,当时,不等式恒成立,则实数a的取值范围为_________.
【答案】
【解析】因,当时,不等式恒成立,则f(x)在R上单调递减,
由知,,则,
当时,,当时,在上单调递减,此时,解得,则,
当时,因函数在上单调递减,在上单调递增,
而函数在上单调递减,必有,解得,则,
所以实数a的取值范围为.
故答案为:
四、解答题
11.(2023春·安徽淮北·高一淮北一中校考阶段练习)已知函数,且函数的值域为.
(1)求实数a的值;
(2)若关于x的不等式在上恒成立,求实数m的取值范围;
(3)若关于x的方程有三个不同的实数根,求实数k的取值范围.
【解析】(1)由题意知,,即,解得.
(2)由在上恒成立,可化为在恒成立;
令,由,可得,
则在上恒成立.
记,函数在上单调递减,所以.
所以,解得,所以实数m的取值范围是.
(3)方程有三个不同的实数根,
可化为有三个不同根.
令,则.当时,且递减,
当时,且递增,当时,,
当时,且递增.
设有两个不同的实数根且.
原方程有3个不同实数根等价于或.
记,则或
解得.
综上,实数k的取值范围是.
12.(2023春·上海浦东新·高一华师大二附中校考)已知函数,函数的值域为.
(1)若不等式的解集为,求m的值;
(2)在(1)的条件下,若恒成立,求实数k的取值范围;
(3)若关于x的不等式的解集为,求实数c的值.
【解析】(1)不等式可化为.
因为不等式的解集为,所以-2和1是方程的两根,
代入得:,解得:m=2.
(2)在(1)的条件下,.
所以可化为.
因为,
所以,
所以.
即实数k的取值范围.
(3)由的值域为可知:,即.
不等式可化为,其解集为.
设方程的两根为,则
又,
所以,
解得:c=9.
13.(2023春·江苏南通·高三阶段练习)已知函数、.
(1)当c=b时,解关于x的不等式>1;
(2)若的值域为[1,),关于x的不等式的解集为(m,m+4),求实数a的值;
(3)若对,,,恒成立,函数,且的最大值为1,求的取值范围.
【解析】(1)当时,由得,即,
当,即时,原不等式的解集为;
当时,原不等式的解集为;
当时,原不等式的解集为.
(2)由的值域为,得,
又关于的不等式的解集为,所以,是方程的两个根,即的两根之差为4.
所以,则,解得.
(3)时,,则时,恒成立.
又,因为的最大值为1,在上的最大值为1,由图像开口向上,所以,即,则,且;
此时由时,恒成立,即恒成立,则,得,所以,要满足时,恒成立,则,解得,,所以.
此时.
14.(2023春·河北邯郸·高三校考)已知抛物线的焦点为,抛物线上的点的横坐标为1,且.
(1)求抛物线的方程;
(2)过焦点作两条相互垂直的直线(斜率均存在),分别与抛物线交于、和、四点,求四边形面积的最小值.
【解析】(1)由已知知:,解得,
故抛物线的方程为:.
(2)由(1)知:,设直线的方程为:,、,则直线的方程为:,
联立得,则,所以,,
∴,
同理可得,
∴四边形的面积,
当且仅当,即时等号成立,
∴四边形面积的最小值为2.
15.(2023春·内蒙古·高三赤峰二中校考阶段练习)已知椭圆的左右两个焦点分别为,,以坐标原点为圆心,过,的圆的内接正三角形的面积为,以为焦点的抛物线的准线与椭圆C的一个公共点为P,且.
(1)求椭圆C和抛物线M的方程;
(2)过作相互垂直的两条直线,其中一条交椭圆C于A,B两点,另一条交抛物线M于G,H两点,求四边形面积的最小值.
【解析】(1)圆半径为,故内接正三角形的面积为
∴,即
又,,故
∴,∴
∴椭圆.
(2)由已知得直线的斜率存在,记为
(i)当时,,,故.
(ii)当时,设,代入,得:
∴.
此时,,代入得:
∴.
∴
综上,.
16.(2023春·江苏苏州·高一苏州市苏州高新区第一中学校考阶段练习)定义:若对定义域内任意x,都有(a为正常数),则称函数为“a距”增函数.
(1)若,(0,),试判断是否为“1距”增函数,并说明理由;
(2)若,R是“a距”增函数,求a的取值范围;
(3)若,(﹣1,),其中kR,且为“2距”增函数,求的最小值.
【解析】(1)任意,,
因为,, 所以,所以,即是“1距”增函数.
(2).
因为是“距”增函数,所以恒成立,
因为,所以在上恒成立,
所以,解得,因为,所以.
(3)因为,,且为“2距”增函数,
所以时,恒成立,
即时,恒成立,
所以,
当时,,即恒成立,
所以, 得;
当时,,
得恒成立,
所以,得,
综上所述,得.
又,
因为,所以,
当时,若,取最小值为;
当时,若,取最小值.
因为在R上是单调递增函数,
所以当,的最小值为;当时的最小值为,
即 .
17.(2023春·江苏南京·高三校联考阶段练习)在①,②,③这三个条件中任选一个,补充在下面的问题中,并解决该问题.
锐角中,a,b,c分别为内角A,B,C的对边,的面积为S,已知______.
(1)求角C的大小;
(2)求的取值范围.
【解析】(1)若选择条件①
∵,
∴,
即
,
∴,,.
若选择条件②原式,再根据正弦定理边角互化可知
,即,,,
若选择条件③原式,即 ,,;
(2)∵为锐角三角形且
∴
∴,∴,
∴,
即的锤子数学取值范围为.
思想03 运用函数与方程的思想方法解题(精讲精练)-2024年高考数学二轮复习讲练测(新高考专用): 这是一份思想03 运用函数与方程的思想方法解题(精讲精练)-2024年高考数学二轮复习讲练测(新高考专用),文件包含思想03运用函数与方程的思想方法解题精讲精练原卷版docx、思想03运用函数与方程的思想方法解题精讲精练解析版docx等2份试卷配套教学资源,其中试卷共47页, 欢迎下载使用。
新高考数学二轮培优精讲精练思想02 运用数形结合的思想方法解题(含解析): 这是一份新高考数学二轮培优精讲精练思想02 运用数形结合的思想方法解题(含解析),共33页。
新高考数学二轮培优精讲精练思想01 运用分类讨论的思想方法解题(含解析): 这是一份新高考数学二轮培优精讲精练思想01 运用分类讨论的思想方法解题(含解析),共38页。

