







所属成套资源:全套2024届人教A版高考数学一轮复习课时教学课件
2024届人教A版高考数学一轮复习第7章数列第4节数列求和课件
展开
这是一份2024届人教A版高考数学一轮复习第7章数列第4节数列求和课件,共34页。
考试要求:1.掌握等差、等比数列前n项和公式.2.掌握非等差、非等比数列求和的几种方法,如分组求和、裂项相消以及错位相减等.
必备知识·回顾教材重“四基”
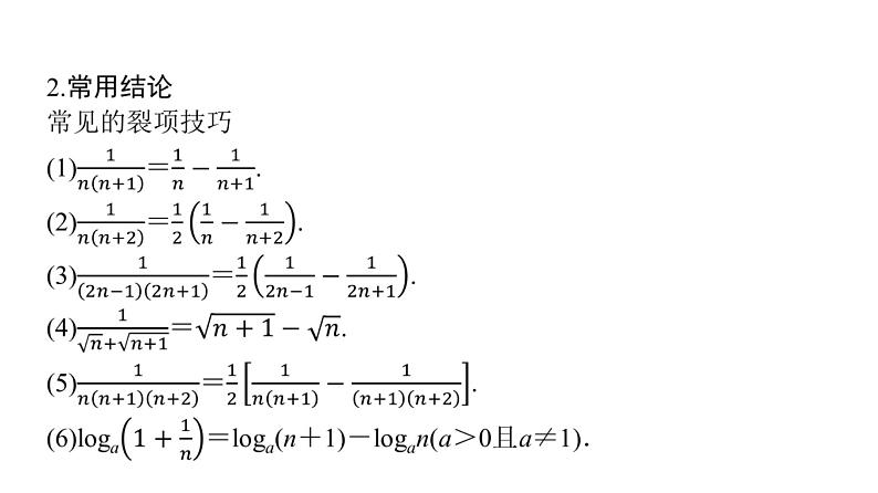
一、教材概念·结论·性质重现1.求数列前n项和的常用方法
3.数列{an}的通项公式是an=(-1)n(2n-1),则该数列的前100项之和为( )A.-200B.-100C.200D.100D 解析:根据题意有S100=-1+3-5+7-9+11-…-197+199=2×50=100.故选D.
5.已知数列{an}的前n项和Sn=10n-n2,数列{bn}满足bn=|an|,设数列{bn}的前n项和为Tn,则T4=________,T30=________.24 650 解析:当n=1时,a1=S1=9;当n≥2时,an=Sn-Sn-1=10n-n2-[10(n-1)-(n-1)2]=-2n+11,当n=1时也满足上式,所以an=-2n+11(n∈N*).所以当n≤5时,an>0,bn=an,当n>5时,an
相关课件
这是一份高考数学一轮总复习课件第4章数列第4讲数列求和(含解析),共43页。PPT课件主要包含了2裂项相消法,3错位相减法,4倒序相加法,名师点睛,题组一走出误区,答案BCD,答案A,题组三真题展现,答案4,变式训练等内容,欢迎下载使用。
这是一份人教A版高考数学一轮总复习第6章第4节数列求和教学课件,共58页。
这是一份人教B版高考数学一轮总复习31数列求和习题课件,共43页。PPT课件主要包含了A组全考点巩固练,B组新高考培优练等内容,欢迎下载使用。