


甘肃省张掖市某重点校2023-2024学年高一数学上学期9月月考试题(Word版附解析)
展开
这是一份甘肃省张掖市某重点校2023-2024学年高一数学上学期9月月考试题(Word版附解析),共13页。试卷主要包含了试卷结构, 设集合,,则, 如果,那么下列运算正确的是, 设是方程的两根,那么的值是, 下列说法正确的是等内容,欢迎下载使用。
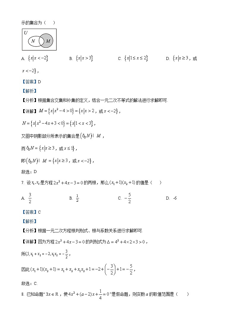
2023年高一年级数学9月检测数学试卷考生注意:1.试卷结构:分第Ⅰ卷(选择题)和第ⅠⅠ卷(非选择题):试卷分值:150分,考试时间:120分钟.2.考生作答时,请将答案答在答题卡上.选择题每小题选出答案后,用2B铅笔把答题卡上对应题目的答案标号涂黑;非选择题请用直径0.5毫米黑色墨水签字笔在答题卡上各题的答案区城内作答,超出答题区域书写的答案无效,在试题卷、草稿纸上作答无效.3.所有答案均要答在答题卡上,否则无效.考试结束后只交答题卡.第Ⅰ卷(选择题共60分)一、单选题(本大题共8小题,每小题5分,共40分,每小题只有一个正确答案,请把正确答案涂在答题卡上)1. 设集合,,( )A. B. C. D. 【答案】B【解析】【分析】根据交集的知识求得正确答案.【详解】依题意.故选:B2. 命题“”的否定是( )A. B. C. D. 【答案】D【解析】【分析】根据存在量词命题的否定是全称量词命题即得.【详解】因为存在量词命题的否定是全称量词命题,所以命题“”的否定是“”.故选:D.3. 荀子曰:“故不积跬步,无以至千里;不积小流,无以成江海.”这句来自先秦时期的名言阐述了做事情不一点一点积累,就永远无法达成目标的哲理.由此可得,“积跬步”是“至千里”的( )A. 充分条件 B. 必要条件C. 充要条件 D. 既不充分也不必要条件【答案】B【解析】【分析】根据题意,结合充分条件、必要条件的判定方法,即可求解.【详解】根据“做事情不一点一点积累,就永远无法达成目标”,即要达成目标必须一点一点积累,所以 “积跬步”是“至千里”的必要条件.故选:B4. 设集合,,则( )A. B. C. D. 【答案】B【解析】【分析】先求出,从而判断四个选项的正误.【详解】由题意,得,则.故选:B5. 如果,那么下列运算正确的是( )A. B. C. D. 【答案】D【解析】【分析】根据不等式的性质逐一判断即可.【详解】解:因为,所以,故A错误;,故B错误;,故C错误;,故D正确.故选:D.6. 设全集U为实数集,已知集合,,则图中阴影部分所表示的集合为( ) A. B. C. D. ,或,【答案】D【解析】【分析】根据集合交集和补集的定义,结合一元二次不等式的解法进行求解即可.【详解】,或,,又图中阴影部分所表示的集合是,而,或,即,或,故选:D7. 设是方程的两根,那么的值是( )A. B. C. D. 【答案】C【解析】【分析】根据一元二次方程根判别式、根与系数关系进行求解即可.【详解】因为方程的判别式为,所以,因此,故选:C.8. 已知命题“,使”是假命题,则实数a的取值范围是( )A. B. C. D. 【答案】D【解析】【分析】由存在性命题为真,求出的范围,再否定结论即可作答.【详解】命题,使为真命题,则,解得或,而命题“,使”是假命题,则,所以实数a取值范围是.故选:D二、多选题(本大题共4小题,每小题5分,共20分.在每小题给出的选项中,有多项符合题目要求全部选对得5分,部分选对得2分,有选错的得0分.请把正确答案涂在答题卡上)9. 下列说法正确的是( )A. ;B. 高台一中高一全体学生可以构成一个集合;C. 集合有两个元素;D. 小于10的自然数按从大到小的顺序排列和按从小到大的顺序排列分别得到不同的两个集合.【答案】BC【解析】【分析】区分的含义判断A;根据集合的定义判断B;根据一元二次方程有两个不相等的实数根判断C;根据集合元素的无序性判断D.【详解】对于A,0是一个数,是一个集合,二者不相等,A错误;对于B,根据集合定义知,高台一中高一全体学生可以构成一个集合,B正确;对于C,由于的判别式,故有两个不相等的实数根,故集合有两个元素,正确;对于D,集合的元素具有无序性,故小于10的自然数按从大到小的顺序排列和按从小到大的顺序排列分别得到的两个集合是同一个集合,D错误,故选:BC10. 下列选项中p是q的必要不充分条件的有( )A. p:,q: B. p:,q: C. p:两个三角形全等,q:两个三角形面积相等D. p:,q: 【答案】AD【解析】【分析】根据充分、必要条件的定义分别判断各选项中两个命题的逻辑推理关系即可.【详解】A:∵成立,则必有,而当时,不一定有,∴p是q的必要不充分条件,∴A正确,B:∵p:,∴,∵q:,∴,∴p是q的充要条件,∴B错误,C:∵两个三角形全等,则两个三角形面积相等,但两个三角形面积相等不一定推出两个三角形全等,∴p是q的充分不必要条件,∴C错误,D:当时,则,反之,当时,不一定成立,∴p是q的必要不充分条件,∴D正确,故选:AD.11. 已知关于不等式的解集为或,则下列结论中,正确结论的选项是( )A. B. C. 不等式的解集为或D. 【答案】AD【解析】【分析】由一元二次不等式的解法得关系,对选项逐一判断,【详解】由的解集为或得,故;故A正确;,故B错误;,故D正确,对于选项C:为,因为,可得,解得,所以不等式的解集为,故C错误.故选:AD.12. 下列命题中,真命题的是( )A. ,都有 B. ,使得.C. 任意非零实数,都有 D. 函数的最小值为2【答案】AB【解析】【分析】对于选项A,作差比较可知A正确;对于选项B,当时,可知B正确;对于选项C,当异号时,可知C错误;对于选项D,根据基本不等式取等的条件不成立可知D错误.【详解】对于选项A,,所以对,都有,故选项A正确;对于选项B,当时,,故选项B正确;对于选项C,若异号,则0,故选项C错误;对于选项D,,当且仅当,此时,此式无解,所以函数的最小值不为2,故选项D错误.故选:AB第Ⅱ卷(非选择题共90分)三、填空题(本大题共4小题,每小题5分,共20分)13. 函数()的最小值是________.【答案】6【解析】【分析】利用基本不等式计算可得.【详解】因为,所以,所以,当且仅当,即时取等号,所以函数()的最小值是.故答案为:14. 已知集合,若,则______【答案】3或【解析】【分析】由集合与元素之间的关系以及集合中元素的互异性列方程即可求解.详解】由题意,且,则有,解得或,当时,符合题意,当时,符合题意.故答案为:3或.15. 某班有学生45人,经调查发现,喜欢打篮球的学生有20人,喜欢打羽毛球的学生有32人,其中既喜欢打篮球,又喜欢打羽毛球的学生有15人,则该班学生中既不喜欢打篮球,也不喜欢打羽毛球的学生有________人.【答案】8【解析】【分析】画出Venn帮助分析求解.【详解】设全集为,集合表示喜欢打篮球的学生,集合表示喜欢打羽毛球的学生,如图所示,由图可得该班学生中既不喜欢打篮球,也不喜欢打羽毛球的学生有人.故答案为:8 16. 已知命题是真命题,则的最大值为________.【答案】【解析】【分析】结合命题真假,得出的范围,得到的最小值,结合命题为真命题,即可求解.【详解】当时,可得,当且仅当时,等号成立,即,因为命题为真命题,所以,所以的最大值为.故答案为:.四、解答题(本大题共6小题,共70分.解答应写出必要的文字说明、证明过程或演算步骤)17. (1)已知,求的值;(2)解不等式.【答案】(1)(2).【解析】【分析】(1)代入求值即可;(2)直接计算分式不等式即可.【详解】(1)∵,∴;(2)由,即,所以不等式的解集为18. 设集合,(1)若时,求,(2)若,求的取值范围.【答案】(1),或 (2)或【解析】【分析】(1)根据交集、补集和并集的概念可求出结果;(2)由得,再分类讨论是否为空集,根据子集关系列式可求出结果.小问1详解】∵,,∴当时,则,所以,或,又,所以或.【小问2详解】∵, ∴,∴当时,则有,即,满足题意;当时,则有,即,可得,解得:.综上所述,的范围为或.19. (1)设,,.试比较P与Q的大小;(2)已知,证:.【答案】(1),(2)证明见解析【解析】【分析】(1)由作差法证明即可;(2)由不等式的性质证明即可.【详解】(1),∵,∴,∴;(2),∴,,又,所以.20. 某单位建造一间地面面积为12的背面靠墙的长方体房屋,房屋正面的造价为1200元,房屋侧面的造价为800元,房顶的造价为5800元,如果墙高为,且不计房屋背面及地面的费用,问:怎样设计房屋才能使总造价最低?最低总造价是多少元?【答案】98400【解析】【分析】先列函数,再利用基本不等式求最值即可.【详解】设房屋的总造价为元,地面平行于墙的一边长为,则另一边长为,由题意,当且仅当即时,等号成立,所以当房屋的地面设计成两边长分别为,的矩形时,总造价最低为98400元.21. 已知二次函数与轴的交点为(1)若二次函数的零点为2和3,求的值;(2)若开口向下,解不等式(3)若函数的图象过原点,方程有实数根,求的取值范围.【答案】(1)13 (2)答案见解析 (3)答案见解析【解析】【分析】(1)根据韦达定理即可得;(2)结合韦达定理,b,c用a表示,构造新的不等式,解出即可;(3)方程有实根,即其对应的一元二次函数最小值要小于0,或最大值要大于0,即可得解.【小问1详解】二次函数的零点为2和3,所以,.【小问2详解】开口向下,轴的交点为,不妨设,,,,即,当时,,不等式解集为,当时,,不等式解集为,当时,,不等式解集.综上:当或时,不等式解集为,当时,不等式解集为.【小问3详解】因为二次函数的图象过原点,则,方程有实数根,即有零点,当时,开口向上,其最小值为,则,,即,当时,开口向下,其最大值为,则,,即.综上:当时,;当时,.22. 已知.(1)若,求的解集A;(2)若对一切的实数,均有恒成立,求实数a的取值范围.【答案】(1) (2)【解析】【分析】(1)直接解一元二次不等式即可得出答案;(2)利用分离参数法,转化为对一切的实数,恒成立,即,利用基本不等式求出最小值,即可得出答案.【小问1详解】当时,即,所以,解得,故集合;【小问2详解】对一切的实数,均有恒成立,即恒成立,因为,则上不等式可化为,恒成立,即,∵,∴,当且仅当,即x=3时等号成立,∴,
相关试卷
这是一份甘肃省张掖市某重点校2023_2024学年高一数学上学期9月月考试题含解析,共12页。试卷主要包含了试卷结构, 设集合,,则, 如果,那么下列运算正确的是, 设是方程的两根,那么的值是, 下列说法正确的是等内容,欢迎下载使用。
这是一份甘肃省张掖市某重点校2023_2024学年高二数学上学期9月月考试题含解析,共21页。试卷主要包含了选择题,填空题,解答题等内容,欢迎下载使用。
这是一份甘肃省张掖市某重点校2023-2024学年高二数学上学期9月月考试题(Word版附解析),共21页。试卷主要包含了选择题,填空题,解答题等内容,欢迎下载使用。