还剩9页未读,
继续阅读
所属成套资源:高考数学二轮专题复习课件 (含解析)
成套系列资料,整套一键下载
高考数学二轮专题复习课件第2部分 专题6 强基专题8 隐零点问题(含解析)
展开
这是一份高考数学二轮专题复习课件第2部分 专题6 强基专题8 隐零点问题(含解析),共17页。
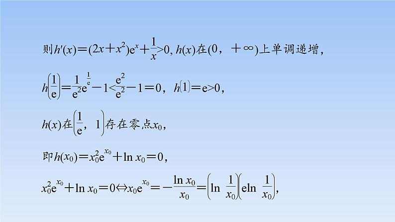
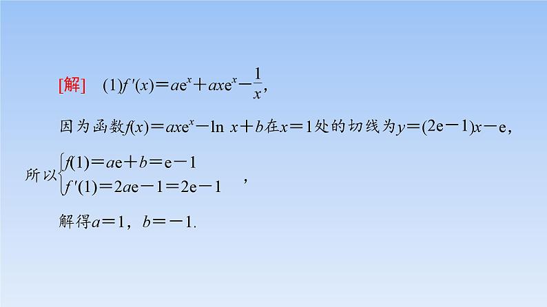
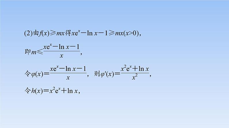
专题六 函数、导数和不等式强基专题8 隐零点问题第二部分 核心专题 师生共研
相关课件
高考数学二轮专题复习课件第2部分 专题6 强基专题9 极值点偏移问题(含解析):
这是一份高考数学二轮专题复习课件第2部分 专题6 强基专题9 极值点偏移问题(含解析),共24页。
高考数学二轮专题复习课件第2部分 专题6 强基专题7 指对混合同构法(含解析):
这是一份高考数学二轮专题复习课件第2部分 专题6 强基专题7 指对混合同构法(含解析),共20页。
高考数学二轮专题复习课件第2部分 专题6 强基专题6 利用结构相同构造函数(含解析):
这是一份高考数学二轮专题复习课件第2部分 专题6 强基专题6 利用结构相同构造函数(含解析),共17页。

