




重庆市缙云教育联盟2023-2024学年高三上学期9月月考 数学试卷及参考答案
展开
这是一份重庆市缙云教育联盟2023-2024学年高三上学期9月月考 数学试卷及参考答案,文件包含重庆市缙云教育联盟2023-2024学年高三上学期9月月考数学答案docx、重庆市缙云教育联盟2023-2024学年高三上学期9月月考数学docx等2份试卷配套教学资源,其中试卷共13页, 欢迎下载使用。
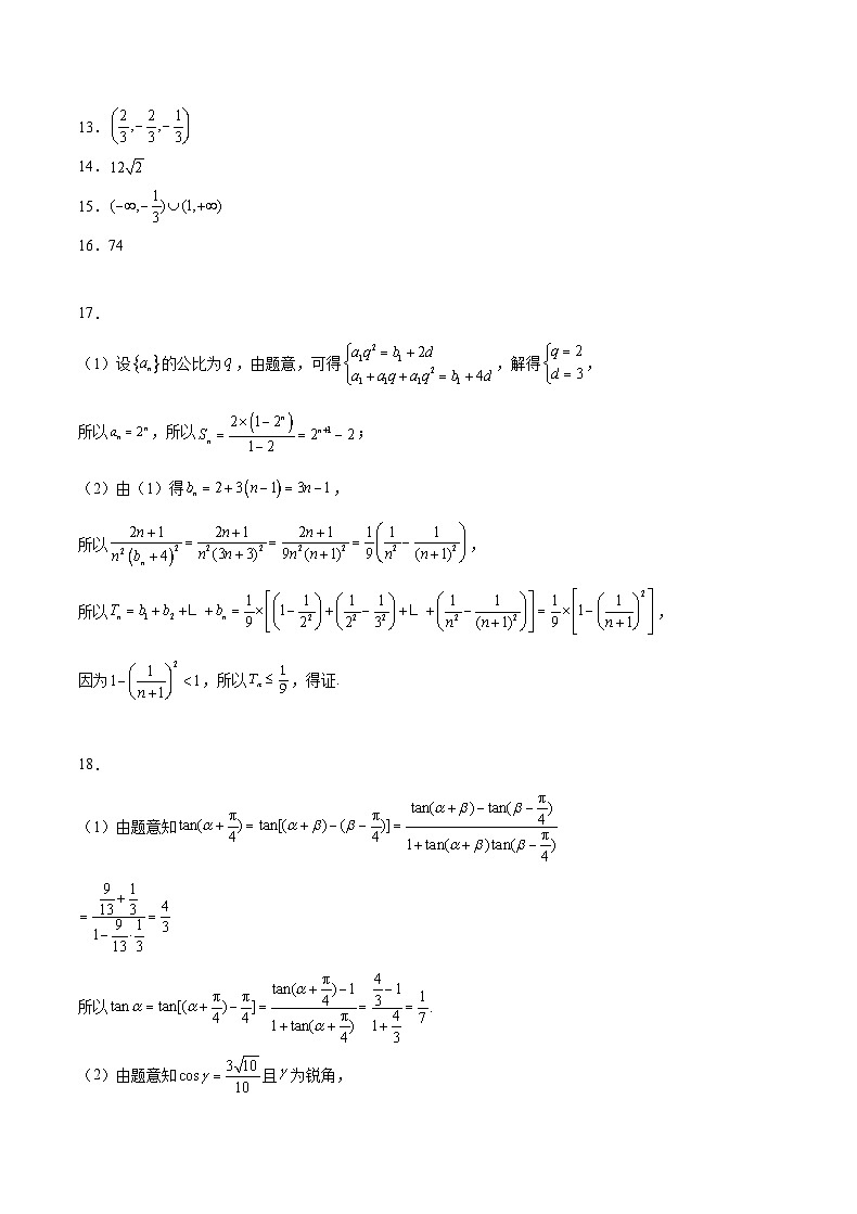
★秘密·2023年9月22日17:00前重庆市2023-2024学年(上)9月月度质量检测高三数学答案及评分标准 【命题单位:重庆缙云教育联盟】 1.D 2.A 3.A 4.C5.D【分析】设P、C到直线AB的距离分别为,根据题意结合垂径定理可得,再根据结合几何关系分析求解.6.A【分析】设为函数的零点,则,转化为在直线上,根据表示点到原点的距离的平方,得到,构造新函数,利用导数求得函数的单调性与最值,即可求解.7.D【分析】利用辅助角公式化简已知方程,求得,进而求得.8.C【分析】讨论,,和且三种情况,根据题意可以得到:若,则;若,则;若,则;若,则.不妨从时开始讨论,得到的符号,最后得到答案. 9.ACD 10.AD11.BD【分析】当时,求得,得到函数的单调性和极值,再由当时,可得,画出函数的图象,根据图象,结合选项,逐项判定,即可求解.12.ABC【分析】选项A,用列举法即可得;选项B,构造新数列,利用定义法可证明是等比数列;选项C,由递推关系变形可得裂项形式,裂项后利用累加法求通项即可证;选项D,利用泰勒公式可得再对 13.14.15.16.74 17.(1)设的公比为,由题意,可得,解得,所以,所以;(2)由(1)得,所以,所以,因为,所以,得证. 18.(1)由题意知所以.(2)由题意知且为锐角,所以,所以,所以,所以,因为为锐角,所以且,所以,则,故. 19.(1)由散点图可以判断,更适宜作为平均产卵数y关于平均温度x的回归方程类型.(2)将两边同时取自然对数,可得,由题中的数据可得,,,所以,则,所以z关于x的线性回归方程为,故y关于x的回归方程为;(3)用,和分别表示选择三种方案的收益.采用第1种方案,无论气温如何,产值不受影响,收益为万,即采用第2种方案,不发生28℃以上的红蜘蛛虫害,收益为万,如果发生,则收益为万,即,同样,采用第3种方案,有所以,,,.显然,最大,所以选择方案1最佳. 20(1)如下图,若为中点,则,即,所以,即, 由,,,面,则面,由面,则,又,则面,由面,则,因为,,设,所以,,又,所以,则,故,,,由,而,,若到面的距离为,所以,则,所以与平面所成角的正弦值为.(2) 由,面面,构建如上图示的空间直角坐标系,则,令,根据,则,整理得,所以,故点轨迹是在面上以为圆心,为半径的圆上,要使四棱锥体积的最大,即到面的距离最大,综上,到面的最大距离为,又,所以最大体积为. 21.(1) 设,由条件可知:,等号的两边平方,整理后得:;(2) 由(1)的结论知:曲线C是方程为的椭圆,设,依题意有:,则,所以直线l的方程为:,联立方程: ,得:, 设,则,,,由条件可知:,,的周长,即定值为10;综上,曲线C的方向为,的周长. 22(1)根据题意得,,,当时,,在上单调递增;当时,,得;令,得,故在上单调递减,在上单调递增.(2)当时,,则,所以当时,,单调递减;当时,,单调递增,故的最小值为,又,;,,故.,设,,则,,则,由,得.因此,当时,,单调递减;当时,,单调递增.由于,故,又,由零点存在定理,存在,使得,所以有两个零点和,即方程有两个根和.的图象如下, 当时,因为,故方程有一个根;当时,其中,因为,故由图角可知,有两个不同的根,,且.综上,当时,函数有三个零点.
相关试卷
这是一份重庆市缙云教育联盟2023-2024学年高二下学期3月月考数学试卷(Word版附答案),共9页。
这是一份2023-2024学年重庆市缙云教育联盟高一(上)期末数学试卷(含解析),共14页。试卷主要包含了单选题,多选题,填空题,解答题等内容,欢迎下载使用。
这是一份2023-2024学年重庆市缙云教育联盟高一(上)期末数学试卷(含解析),共14页。试卷主要包含了单选题,多选题,填空题,解答题等内容,欢迎下载使用。