
还剩2页未读,
继续阅读
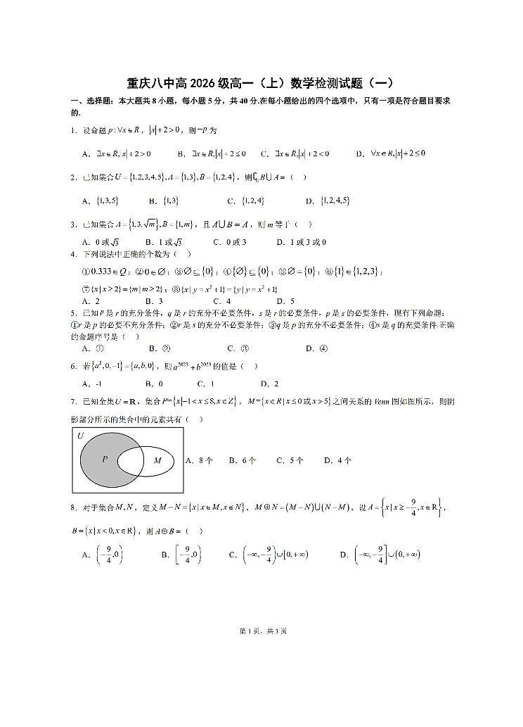
重庆市第八中学2023-2024学年度高2026届高一上学期九月数学检测试题(一)
展开
这是一份重庆市第八中学2023-2024学年度高2026届高一上学期九月数学检测试题(一),共3页。
相关试卷
重庆市第八中学2023-2024学年度高二上学期检测六数学试题(Word版附解析):
这是一份重庆市第八中学2023-2024学年度高二上学期检测六数学试题(Word版附解析),共22页。试卷主要包含了 在等差数列中,,,则等内容,欢迎下载使用。
重庆市第八中学2023-2024学年高一上学期九月检测(一)数学试题(含答案):
这是一份重庆市第八中学2023-2024学年高一上学期九月检测(一)数学试题(含答案),共21页。
重庆市2023-2024学年高一上学期九月检测数学试题(含答案):
这是一份重庆市2023-2024学年高一上学期九月检测数学试题(含答案),共21页。