初中数学人教版八年级上册14.2.2 完全平方公式教学ppt课件
展开
这是一份初中数学人教版八年级上册14.2.2 完全平方公式教学ppt课件,共13页。PPT课件主要包含了公式特点等内容,欢迎下载使用。
14.2.2完全平方公式
1.经历探究完全平方公式的过程,并会推导完全平方公式。
2.掌握完全平方公式的结构特征。3.会用几何图形解释完全平方公式。
4.会用完全平方公式进行多项式的乘法计算。
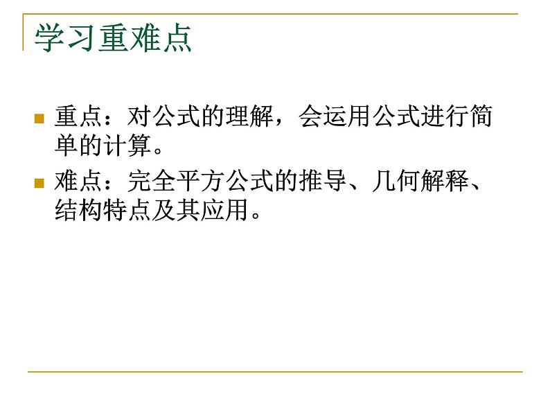
重点:对公式的理解,会运用公式进行简单的计算。难点:完全平方公式的推导、几何解释、结构特点及其应用。
你能根据下面的图15.2-1和图15.2-2中的面积解释完全平方公式吗?
完全平方公式 的几何解释
完全平方公式 的几何解释
完全平方公式的数学表达式:
完全平方公式的文字叙述:
两数和(或差)的平方,等于它们的平方和,加(或减)它们的积的2倍。
2、右边为二次三项式;
3、右边中两项为两数的平方和;
4、另一项是两数积的2倍,符号看前方;
5 、公式中的字母a,b可以表示数,单项式和多项式。
1、左边是一个二项式的完全平方;
首平方,尾平方,积的2倍在中央。
例1 (1)(4m+n)2 (2)
例2 (1)1022 (2)992
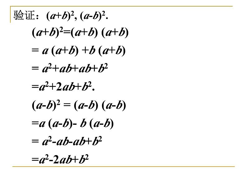
(a+b)2= a2 +2ab+b2(a-b)2= a2 - 2ab+b2
想一想:(a+b)2与(-a-b)2相等吗? (a-b)2与(b-a)2相等吗? 为什么?
∵ (a+b)2=a2+2ab+b2
(-a-b)2=(-a)2+2(-a)(-b)+(-b) 2=a2+2ab+b2
∵ (a-b)2=a2-2ab+b2
(b-a)2=b2-2ba+a2=a2-2ab+b2
∴ (a+b)2= (-a-b)2
∴ (a-b)2=(b-a)2
积的2倍的符号,看前方,同加异减。
2 、两数和(或差)的平方,等于它们的平方和,加(或减)它们的积的2倍。
3、注意:项数、符号、字母及其指数;
相关课件
这是一份初中数学人教版八年级上册14.2.2 完全平方公式授课ppt课件,共18页。PPT课件主要包含了3-2+y2,如何计算,整体思想,乘方公式,去括号,反过来,添括号,x–1,–3x–1,b+c–d等内容,欢迎下载使用。
这是一份人教版八年级上册14.2.2 完全平方公式习题ppt课件,共26页。PPT课件主要包含了平方和,积的2倍,a2+2ab+b2,a2-,ab+b2,+4ab3+b4等内容,欢迎下载使用。
人教版初中数学八年级上册课文《完全平方公式》,完整版PPT课件免费下载,优秀PPT背景图搭配,精美的免费ppt模板。轻松备课,欢迎免费下载使用。

