所属成套资源:全套2022-2023学年高一下学期期中数学试题含答案
2022-2023学年江西省万安中学高一下学期期中数学试题含答案
展开
这是一份2022-2023学年江西省万安中学高一下学期期中数学试题含答案,共15页。试卷主要包含了单选题,多选题,填空题,解答题等内容,欢迎下载使用。
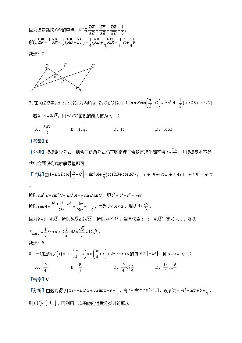
2022-2023学年江西省万安中学高一下学期期中数学试题 一、单选题1.“”是“”的( )A.充分而不必要条件 B.必要而不充分条件C.充分必要条件 D.既不充分也不必要条件【答案】A【详解】试题分析:若成立,则一定成立;反之若成立,则不一定成立;因此“”是“”的充分而不必要条件;【解析】充分必要条件;2.已知i是虚数单位,z=,则复数z的实部为A.- B. C.- D.【答案】A【分析】根据复数的除法运算直接计算即可.【详解】z==.∴复数z的实部为-故选:A3.一个棱柱是正四棱柱的充要条件是( )A.底面是正方形,有两个侧面是矩形B.底面是正方形,有两个侧面垂直于底面C.底面是菱形,且有一个顶点处的三条棱两两垂直D.每个侧面都是全等矩形的四棱柱【答案】C【分析】由正四棱柱的定义及几何特征,结合充要条件的概念,依次判断即可.【详解】若底面是正方形,有相对的两个侧面是矩形,另外两个侧面是不为矩形的平行四边形,则棱柱为斜棱柱,故A不满足要求;若底面是正方形,有相对的两个侧面垂直于底面,另外两个侧面不垂直于底面,则棱柱为斜棱柱,故B不满足要求;若底面是菱形,且有一个顶点处的三条棱两两垂直则底面为正方形,侧棱与底面垂直,此时棱柱为正四棱柱,反之也成立,故C满足要求;若每个侧面都是全等矩形的四棱柱,其底面可能不是正方形,故D不满足要求.故选:C.4.的内角的对边分别为,若,则的面积为( )A. B. C. D.【答案】A【解析】由余弦定理求出关系,再结合可求得,再用三角形面积公式计算出面积.【详解】由余弦定理得:,∴,又,所以,∴,∴ ,∴.故选:.【点睛】本题考查余弦定理和三角形面积公式,属于基础题.利用余弦定理求得的关系,并结合已知求得的值是关键,三角形的面积公式.5.在边长为1的正方形中,若,则等于( )A.0 B.1 C.2 D.【答案】C【分析】利用平面向量的线性运算计算即可.【详解】.故选:C6.在平行四边形中,与交于点,是线段的中点,的延长线与交于点.若,则( )A. B. C. D.【答案】C【分析】由,根据题意得到,利用,结合向量的运算法则,即可求解.【详解】如图所示,在平行四边形中,可得,因为是线段的中点,可得,所以.故选:C.7.在中,a,b,c分别为内角A,B,C的对边,.若,则面积的最大值为( )A. B. C.16 D.【答案】B【分析】根据诱导公式,结合二倍角公式与正弦定理与余弦定理化简可得,再根据基本不等式结合面积公式求解最值即可【详解】由,,所以,即,所以,因为,所以.因为,所以,所以,当且仅当时等号成立,所以.故选:B.8.已知函数的值域为,则( )A. B. C.或 D.或【答案】C【分析】由题可得,令,设,则,再利用二次函数的性质分类讨论即求.【详解】∵,∴,令,设,则,当时,在上单调递减,∴,解得,∴,当时,在上单调递增,∴,解得,∴,当时,,无解,当时,,无解.综上,或.故选:C. 二、多选题9.命题“,”是真命题的一个充分条件是( )A. B.C. D.【答案】AC【分析】先求得命题“,”是真命题时a的范围,再由充分条件的定义得出选项.【详解】当命题“,”是真命题时,只需,.又在上的最大值是,所以.因为,,故选:AC.10.给出下列命题,其中正确的是( )A.复数对应的点在第二象限B.若,则z为实数C.若,为复数,且,则D.复数为纯虚数的充要条件为【答案】AB【分析】求出复数对应点坐标判断A;设出复数的代数形式推理判断B;举例说明判断C;利用纯虚数的定义判断D作答.【详解】对于A,复数对应的点在第二象限,A正确;对于B,设,由得,解得,即是实数,B正确;对于C,令,满足,而,C错误;对于D,复数为纯虚数的充要条件为,D错误.故选:AB11.已知向量,,则( )A. B.C.在上的投影向量是 D.【答案】BC【分析】根据平面向量坐标表示的加减法运算,数量积的计算公式,模的计算公式,投影向量的计算公式,分别判断每个选项即可.【详解】对于A:,,则,所以与不垂直,故A错误;对于B:,,则,,所以,故B正确;对于C:,所以在上的投影向量是,故C正确;对于D:,,所以,故D错误,故选:BC.12.已知,且,函数,则下列结论中正确的是( )A.点是函数图像的一个对称中心B.直线是函数图像的一条对称轴C.函数在区间上单调递减D.若,则函数的值域为【答案】AC【分析】先利用弦化切的思想,求出,由此求出的值,然后利用三角恒等变换化简函数的解析式,再利用正弦函数的性质求解即可.【详解】:因为,由, 可得 而 ,所以 ,于是 . ,点是函数图像的一个对称中心,直线不是函数图像的对称轴,A选项正确,B选项错误;时,,是正弦函数的单调递减区间,所以在区间上单调递减,C选项正确;当时,有, ,则的值域为,D选项错误.故选:AC 三、填空题13.中,角,,所对应的边分别为,,,已知,,,则 【答案】.【分析】化简得到,,再利用正弦定理计算得到答案.【详解】,即,,,故,,,,故.故答案为:.【点睛】本题考查了三角恒等变换,正弦定理,意在考查学生的计算能力和应用能力.14.如图,某货轮在处看灯塔在货轮的北偏东,距离为,货轮由处向正北航行到处时,再看灯塔在北偏东,则与间的距离为 .【答案】24【分析】利用正弦定理直接解三角形.【详解】如图,可知,在中,由正弦定理得:,所以.故答案为:24.15.在《九章算术》中,将有三条棱互相平行且有一个面为梯形的五面体称为“羡除”.现有一个羡除如图所示,平面,四边形均为等腰梯形,四边形为正方形,,,,点F到平面的距离为2,则这个羡除的表面积为 .【答案】【分析】先证得点到平面的距离为到的距离,再根据平面几何性质求各表面面积,即得结果.【详解】因为平面,平面所以平面平面,过作于,根据面面垂直的性质定理得平面所以点到平面的距离为到的距离,因此等腰梯形的高为2,腰,因为四边形为正方形,且,等腰梯形的高为,所以该羡除的表面积为故答案为:【点睛】本题考查面面垂直判定与性质定理、几何体表面积,考查基本分析论证与求解能力,属基础题.16.在锐角中,若,则的最小值是 .【答案】16【分析】结合三角形关系和已知可得,进而得到,再结合函数的性质可求出最小值.【详解】解:因为所以,因为为锐角三角形,所以,,所以,又因为所以 令,由为锐角可得,,所以,得所以 ,因为,由得,,所以 的最小值为16故答案为:16【点睛】此题考查了三角恒等式的变化技巧和函数单调性的知识,有一定的灵活性,属于难题. 四、解答题17.已知,,(1)求;(2)求;【答案】(1);(2).【分析】(1)由所给条件求出、,利用两角差的余弦公式求解即可;(2)利用两角和的正弦公式求解.【详解】(1),,,,;(2)由(1)得.【点睛】本题考查同角三角函数的平方关系、两角和与差的正弦、余弦公式,属于基础题.18.已知锐角的内角A,B,C的对边分别为a,b,c,已知2ccosC=bcosA+acosB.(1)求角C的大小;(2)若,求的周长的取值范围.【答案】(1)(2) 【分析】(1)由正弦定理化边为角,然后由两角和的正弦公式、诱导公式变形后可昨角;(2)由正弦定理把用角表示,并由两角和与差的正弦公式化简,由锐角三角形得的范围,然后由正弦函数性质得取值范围,从而得周长范围.【详解】(1)由正弦定理得:,代入,∴,又,∴,而0<C< ,则,∴,故.(2)由正弦定理得:,,因为为锐角三角形,所以,,由内角和为,则,所以,则,周长为,故的取值范围为.19.在中,点分别在边和边上,且,,交于点,设,.(1)试用,表示;(2)在边上有点,使得,求证:三点共线.【答案】(1)(2)证明见解析 【分析】(1)利用向量的线性运算及平面向量的基本定理即可求解;(2)利用向量的线性运算及共线向量基本定理即可求解.【详解】(1)设,由题意,所以,①,设,由,,②,由①、②得,,所以,解得,所以;(2)由,得,所以,所以,因为与有公共点B,所以B,P,F三点共线.20.已知函数.(1)求函数在上的单调区间;(2)若,,求的值.【答案】(1)递增区间为,,递减区间为;(2).【解析】(1)化简函数的解析式为,根据,得到,结合三角函数的性质,即可求解.(2)由,结合,得到,利用三角函数的基本关系式,即可求解.【详解】(1)由题意得,因为,所以,令,解得;令,解得,令,得.所以函数在上的单调递增区间为,,单调递减区间为.(2)由(1)知.因为,所以,又因为,所以,所以.【点睛】三角函数的化简求值的规律总结:1、给角求值:一般给出的角是非特殊角,要观察所给角与特殊角的关系,利用三角变换转化为求特殊角的三角函数值问题;2、给值求值:即给出某些角的三角函数值,求另外一些角的三角函数值,解题关键在于“变角”,使相关角相同或具有某种关系;3、给值求角:实质上可转化为“给值求值”即通过求角的某个三角函数值来求角(注意角的范围).21.已知函数.(1)求的最小正周期;(2)当时,求的最大值和最小值以及对应的的值.【答案】(1);(2)当时,取得最小值;当时,取得最大值.【分析】(1)利用降幂扩角公式先化简三角函数为标准型,再求解最小正周期;(2)由定义域,先求的范围,再求值域.【详解】(1)所以的最小正周期为.(2)由,得,当,即时,取得最小值,当,即时,取得最大值.【点睛】本题考查利用三角恒等变换化简三角函数解析式,之后求解三角函数的性质,本题中包括最小正周期以及函数的最值,属综合基础题.22.给定常数,定义在上的函数.(1)若在上的最大值为2,求的值;(2)设为正整数.如果函数在区间内恰有2022个零点,求的值.【答案】(1);(2)或. 【分析】(1)根据诱导公式及二倍角公式可得,设,分类讨论,根据二次函数的性质即可求解;(2)由题意可得有两个不等的实数根, .分与讨论,结合正弦函数的图象即可求解.【详解】(1),设,则,的开口向下,对称轴为,当,即时,,又,所以,解得,与矛盾.当,即时,当时,,又,所以,解得.综上所述,.(2),令,,则.因为,所以有两个不等的实数根,且,所以.又,当时,时,有2个根;时,有2个根;故时,有4个根.因为在区间内恰有2022个零点,所以.当时,时,有1个根;时,有2个根;故时,有3个根.因为在区间内恰有2022个零点,且,所以.综上所述,的值为或.【点睛】关键点睛:二次函数与正弦型函数的复合问题,求值域可利用换元法,转化为二次函数求值域,单调性问题需要结合正弦函数及二次函数的单调性.
相关试卷
这是一份江西省万安中学2022-2023学年高一上学期期末数学试题,共8页。试卷主要包含了单选题,多选题,填空题,解答题等内容,欢迎下载使用。
这是一份江西省万安中学2023-2024学年高三上学期开学考试数学试题,共20页。试卷主要包含了单选题,多选题,填空题,解答题等内容,欢迎下载使用。
这是一份2022-2023学年江西省万安中学高二下学期6月期末考试数学试题含答案,共22页。试卷主要包含了单选题,多选题,填空题,解答题等内容,欢迎下载使用。

