2024届高考数学一轮复习(新教材人教A版强基版)第五章平面向量与复数5.4平面向量的综合应用课件
展开
这是一份2024届高考数学一轮复习(新教材人教A版强基版)第五章平面向量与复数5.4平面向量的综合应用课件,共54页。PPT课件主要包含了题型一,思维升华,∴AC⊥BD,题型二,课时精练,由二次函数性质知等内容,欢迎下载使用。
例1 (1)(2023·宿州模拟)已知△ABC的内角A,B,C所对的边分别为a,b,c,且C=60°,a=3,S△ABC= ,则AB边上的中线长为
平面向量在几何中的应用
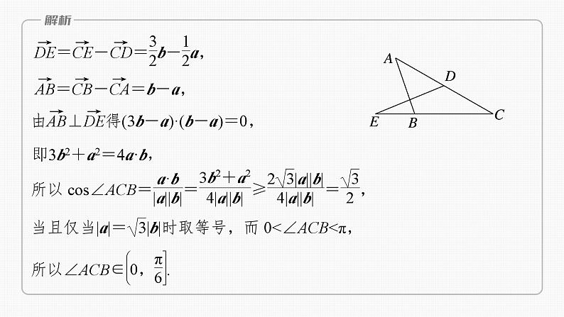
即3b2+a2=4a·b,
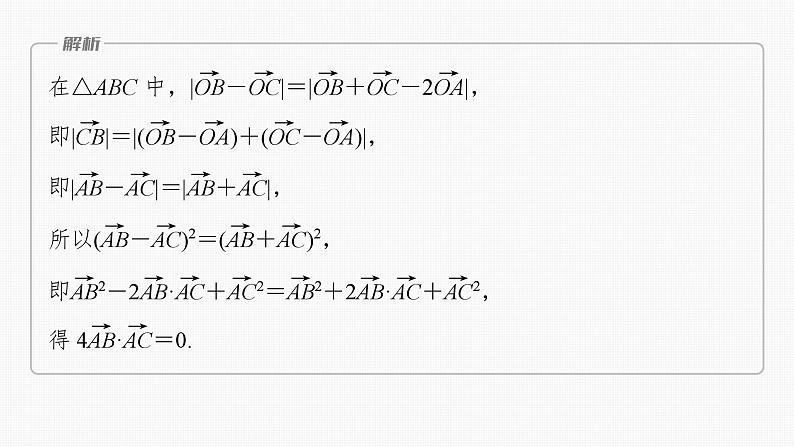
跟踪训练1 (1)(2022·商丘模拟)若O为△ABC所在平面内一点,且满足 ,则△ABC的形状为A.等腰直角三角形 B.直角三角形C.等腰三角形 D.等边三角形
即∠BAC=90°,所以△ABC是直角三角形.
和向量有关的最值(范围)问题
命题点1 与平面向量基本定理有关的最值(范围)问题
故2x+y的最小值为3.
命题点2 与数量积有关的最值(范围)问题
例3 (2023·郑州模拟)在△ABC中,AB=2,AC=3,∠BAC=60°,M是线段AC上任意一点,则 的最小值是A. B.-1 C.-2 D.-4
=-9λ(1-λ)+λ×2×3×cs 60°=3λ(3λ-2),由二次函数性质知,
命题点3 与模有关的最值(范围)问题
例4 已知向量a=(cs θ,sin θ),b=( ,1),则|2a-b|的最大值为___.
方法一 由题意得|a|=1,|b|=2,
所以|2a-b|2的最大值为8-8×(-1)=16,
方法三 由题意得|2a-b|≤2|a|+|b|=2×1+2=4,当且仅当向量a,b方向相反时不等式取等号,故|2a-b|的最大值为4.
向量求最值(范围)的常用方法(1)利用三角函数求最值(范围).(2)利用基本不等式求最值(范围).(3)建立坐标系,设变量构造函数求最值(范围).(4)数形结合,应用图形的几何性质求最值.
当且仅当λ=μ=1时等号成立.即λ+μ的最大值为2.
(2)(2022·北京)在△ABC中,AC=3,BC=4,∠C=90°.P为△ABC所在平面内的动点,且PC=1,则 的取值范围是A.[-5,3] B.[-3,5]C.[-6,4] D.[-4,6]
以C为坐标原点,CA,CB所在直线分别为x轴、y轴建立平面直角坐标系(图略),则A(3,0),B(0,4).设P(x,y),
(3)在平面直角坐标系中,已知直线x+2y-4=0分别与x轴,y轴交于A,B两点,若点P(cs θ,sin θ),则 的最大值为________.
由题意知,直线x+2y-4=0分别与x轴,y轴交于点A,B,则A(4,0),B(0,2),又P(cs θ,sin θ),
A.菱形 B.矩形C.正方形 D.等腰梯形
故四边形ABCD为平行四边形,
故AC⊥BD即四边形ABCD为菱形.
A.与圆C的半径有关B.与圆C的半径无关C.与弦AB的长度有关D.与点A,B的位置有关
如图,连接AB,过C作CD⊥AB交AB于D,则D是AB的中点,
A.8 B.9 C.12 D.16
∵E为线段AD上的动点,∴A,D,E三点共线,∴x+3y=1且x>0,y>0,
建立如图所示的平面直角坐标系,设P(x,y),则A(0,0),B(1,0),C(1,2),
由题意,向量c与a+b共线,故存在实数λ,使得c=λ(a+b),∴|a+c|=|a+λ(a+b)|=|(1+λ)a+λb|
7.(多选)(2022·珠海模拟)已知点O在△ABC所在的平面内,则以下说法正确的有
同理可证O为AB,AC边上中线的三等分点,所以O为△ABC的重心,选项A正确;
故O为△ABC的内心,选项B错误;
所以OB⊥CA,OA⊥CB,OC⊥AB,即点O是△ABC的垂心,选项D错误.
8.窗花是贴在窗纸或窗户玻璃上的剪纸,是中国古老的传统民间艺术之一,每逢新春佳节,我国许多地区的人们都有贴窗花的习俗,以此达到装点环境、渲染气氛的目的,并寄托着辞旧迎新、接福纳祥的愿望.图①是一张由卷曲纹和回纹构成的正六边形剪纸窗花,已知图②中正六边形ABCDEF的边长为2,圆O的圆心为正六边形的中心,半径为1,若点P在正六边形的边上运动,MN为圆的直径,则 的取值范围是
如图所示,取AF的中点Q,
9.(2022·晋中模拟)已知在直角梯形ABCD中,AD∥BC,∠ADC=90°,AD=2,BC=1,P是腰DC上的动点,则 的最小值为____.
设C(0,a),P(0,b),B(1,a),A(2,0),0≤b≤a,
取BC的中点O,∵△ABC为等边三角形,∴AO⊥BC,则以O为坐标原点建立如图所示的平面直角坐标系,
又P,B,D三点共线,∴λ+4μ=1,
12.(2022·浙江)设点P在单位圆的内接正八边形A1A2…A8的边A1A2上,则 的取值范围是______________.
以圆心为原点,A7A3所在直线为x轴,A5A1所在直线为y轴建立平面直角坐标系,如图所示,
相关课件
这是一份2024届高考数学一轮复习(新教材人教A版强基版)第五章平面向量与复数5.1平面向量的概念及线性运算课件,共60页。PPT课件主要包含了落实主干知识,探究核心题型,课时精练,个单位,向量的线性运算,b+a,a+b+c,λμa,λa+μa,λa+λb等内容,欢迎下载使用。
这是一份2024届高考数学一轮复习(新教材人教A版强基版)第五章平面向量与复数5.2平面向量基本定理及坐标表示课件,共60页。PPT课件主要包含了落实主干知识,探究核心题型,课时精练,不共线,有且只有,λ1e1+λ2e2,互相垂直,λx1λy1,所以c=3a-2b,如图所示等内容,欢迎下载使用。
这是一份2024届高考数学一轮复习(新教材人教A版强基版)第五章平面向量与复数5.5复数课件,共59页。PPT课件主要包含了落实主干知识,探究核心题型,课时精练,a=c且b=d,a+bi,a=cb=-d,故选D等内容,欢迎下载使用。

