







还剩18页未读,
继续阅读
所属成套资源:全套中考数学复习专题突破课件
成套系列资料,整套一键下载
中考数学复习第十一章解答题突破(二)第43课时与圆有关的计算与证明课件
展开
这是一份中考数学复习第十一章解答题突破(二)第43课时与圆有关的计算与证明课件,共26页。
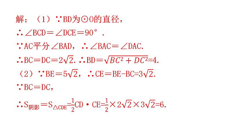
2.(2022·盘锦)如图11-43-2,四边形ABCD是正方形,点A,点B在⊙O上,边DA的延长线交⊙O于点E,对角线DB的延长线交⊙O于点F,连接EF并延长至点G,使∠FBG=∠FAB.(1)求证:BG与⊙O相切;(2)若⊙O的半径为1,求AF的长.
相关课件
中考数学复习第十一章解答题突破(二)第42课时与三角形和四边形有关的计算与证明课件:
这是一份中考数学复习第十一章解答题突破(二)第42课时与三角形和四边形有关的计算与证明课件,共22页。
中考数学专题与圆有关的计算和证明课件PPT:
这是一份中考数学专题与圆有关的计算和证明课件PPT,共53页。PPT课件主要包含了图Z4-1,■题型精练,图Z4-2,图Z4-3,图Z4-4,图Z4-5,图Z4-6,图Z4-7,图Z4-8,图Z4-9等内容,欢迎下载使用。
中考数学复习重难点突破圆中的证明与计算类型二:与相似三角形有关教学课件:
这是一份中考数学复习重难点突破圆中的证明与计算类型二:与相似三角形有关教学课件,共31页。