所属成套资源:全套高二下学期期末考试数学试题含答案
2022-2023学年云南省玉溪市高二下学期期末教学质量检测数学试题含答案
展开
这是一份2022-2023学年云南省玉溪市高二下学期期末教学质量检测数学试题含答案,共15页。试卷主要包含了单选题,多选题,填空题,解答题等内容,欢迎下载使用。
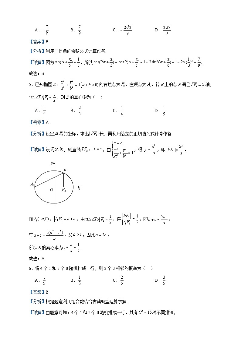
2022-2023学年云南省玉溪市高二下学期期末教学质量检测数学试题 一、单选题1.已知集合,则( )A. B.C. D.【答案】C【分析】求出函数定义域化简集合B,再利用交集的定义求解作答.【详解】函数有意义,则有,即,而,所以.故选:C2.已知复数在复平面内对应的点分别为,则( )A. B. C. D.【答案】D【分析】根据复数的坐标表示,求出复数,再利用复数乘法求解作答.【详解】依题意,,所以.故选:D3.已知向量,,且则向量的夹角为( )A.0 B. C. D.π【答案】C【分析】对两边同平方得,则解出,则得到答案.【详解】由,得,又,,整理得:,因为,所以的夹角为,故选:C.4.已知,则( )A. B. C. D.【答案】B【分析】利用二倍角的余弦公式计算作答.【详解】因为,所以.故选:B5.已知椭圆E:的右焦点为,左顶点为,若E上的点P满足轴,,则E的离心率为( )A. B. C. D.【答案】A【分析】设出点的坐标,求出长,再利用给定的正切值列式计算作答.【详解】设,则直线:,由,得,即, 而,,由,得,即,有,又,因此,所以E的离心率为.故选:A6.将4个1和2个0随机排成一行,则2个0相邻的概率为( )A. B. C. D.【答案】B【分析】根据题意利用组合数结合古典概型运算求解.【详解】由题意可知:4个1和2个0随机排成一行,共有种不同排法,2个0相邻的,共有种不同排法,所以2个0相邻的概率为.故选:B.7.设则( )A.b<c<a B.b<a<c C.c<a<b D.c<b<a【答案】D【分析】利用指数、对数函数性质比较的大小,再利用三角函数定义比较大小作答.【详解】,,如图,半径为1的圆与x轴交于点,锐角所对弧度数为,轴于点, 则,劣弧长,显然,即当时,,因此,所以.故选:D8.取两个相互平行且全等的正n边形,将其中一个旋转一定角度,连接这两个多边形的顶点,使得侧面均为等边三角形,我们把这种多面体称作“n角反棱柱”.当时,得到如图所示棱长均相等的“四角反棱柱”,则该“四角反棱柱”外接球的半径与棱长的比值的平方为( ) A. B. C. D.【答案】A【分析】设上下正四边形的中心分别为,连接,设出棱长,利用外接圆的性质求出外接球的半径,最后求出比值.【详解】如图,由题意可知旋转角度为,设上下正四边形的中心分别为,连接,则的中点即为外接球的球心,其中点为所在棱的中点,设棱长为,可知,,过点作于点,则,,易得四边形为矩形,即,,则,即该“四角反棱柱”外接球的半径,故该“四角反棱柱”外接球的半径与其棱长的比值的平方为,故选:A. 【点睛】本题的关键是读懂题意,求出旋转角度为,再设出棱长,利用图形作出合理辅助线,利用勾股定理求出外接球的半径,最后得到比值. 二、多选题9.将函数的图象向左平移个单位后,得到函数的图象,则下列结论正确的是( )A.的最小正周期为π B.C.的图象关于直线对称 D.在区间上单调递增【答案】AC【分析】利用辅助角公式化简函数,求出函数,再逐项判断作答.【详解】依题意,函数,则,B错误;函数的最小正周期,A正确;由于,则的图象关于直线对称,C正确;当时,,而正弦函数在上不单调,因此函数在区间上不单调,D错误.故选:AC10.已知,函数的导函数为,则下列说法正确的是( )A. B.单调递增区间为C.的极大值为1 D.方程有两个不同的解【答案】AB【分析】求出函数的导数,再逐项分析判断作答.【详解】函数的定义域为,求导得,对于A,,A正确;对于B,由,解得,函数的单调递增区间为,B正确;对于C,当时,,当时,,当时,取得极小值,无极大值,C错误;对于D,显然函数在上递减,在上递增,,则方程有唯一解,D错误.故选:AB11.已知数列满足,则( )A.为等比数列B.的通项公式为C.为单调递减数列D.的前n项和【答案】BCD【分析】,则得到为等差数列,即可判断A,求出其通项,即可判断A,利用函数单调性即可判断C,利用等差数列的前和公式即可判断D.【详解】因为,所以是以1为首项,3为公差的等差数列,故选项A错误;,即,故选项B正确;根据函数在上单调递增,且,则函数在上单调递减,又因为,,则数列为单调递减数列,故选项C正确;的前项和,故选项D正确,故选:BCD.12.已知O为坐标原点,抛物线的焦点F为,过点的直线l交抛物线C于A,B两点,点P为抛物线C上的动点,则( )A.的最小值为3B.C的准线方程为C.D.当时,点P到直线l的距离的最大值为【答案】ABD【分析】根据焦点坐标求出准线方程即可判断B,利用图形根据抛物线的定义结合三点一线即可判断A,设直线的方程为,将其与抛物线方程联立得到关于的一元二次方程,则得到韦达定理式,计算得,则可判断C,因为可知到直线的距离等于到直线的距离,则点到直线的距离,利用导数即可求出最大值即可判断D.【详解】如图:对于A,B,由抛物线的焦点为,则,即,其准线方程为,设点到准线的距离为,则,设点到准线的距离为,易知,故选项A正确,B正确;由题意可知,过点的直线的方程可设为,代入抛物线,可得,,则直线始终与抛物线图象有两个交点,设,则,当时,取到最小值,故选项C错误;由C可得直线的方程为,由,可知到直线的距离等于到直线的距离,点到直线的距离,令,则,当时,,单调递减;当时,单调递增,由当时,,当时,,则当时,,所以,故选项D正确.故选:ABD.【点睛】对于较难的CD选项,采用设线法,设直线的方程可设为,将其与抛物线方程联立得到一元二次方程,则得到韦达定理式,再计算,对D,根据平行,将其转化为点到直线的距离,再利用导数求出其最值即可. 三、填空题13.在的展开式中,的系数是 (用数字作答).【答案】21【分析】直接根据二项展开式的通项公式即可得到答案.【详解】由题可得的展开式的展开式通项为,其中,令,则含的系数为.故答案为:21.14.已知函数,则在处的切线方程为 .【答案】【分析】根据导数的几何意义运算求解.【详解】由题意可得:,则,即切点坐标为,斜率,所以切线方程为.故答案为:.15.已知平行四边形ABCD,|AB|=4,|BC|=5,则分别以对角线AC,BD为直径的两个圆的面积和为 .【答案】【分析】根据给定条件,利用平面向量的数量积求出两条对角线的平方和作答.【详解】在中,,, 因此,所以分别以对角线AC,BD为直径的两个圆的面积和为.故答案为:16.赵爽是我国古代数学家,大约在公元222年,他为《周髀算经》一书作序时,介绍了“勾股圆方图”,亦称“赵爽弦图”(以弦为边长得到的正方形由4个全等的直角三角形再加上中间的一个小正方形组成).类比“赵爽弦图”,可构造如图所示的图形,它是由3个全等的三角形与中间一个小等边三角形拼成的一个较大的等边三角形,设,若,则的值为 .【答案】/【分析】根据给定条件,利用向量线性运算用表示,再利用平面向量基本定理求解作答.【详解】依题意,,即,则,同理,因此,即,整理得,而,且不共线,于是,所以.故答案为:【点睛】思路点睛:用向量基本定理解决问题:先选择一组基底,并运用该基底将条件和结论表示成向量的形式,再通过向量的运算来解决. 四、解答题17.在递增的等比数列中,,,其中.(1)求数列的通项公式;(2)若,求数列的前n项和.【答案】(1);(2). 【分析】(1)根据给定条件,求出的首项、公比即可作答.(2)利用分组求和法及等比数列前n项和公式求和作答.【详解】(1)由,等比数列是递增数列,得,因此数列的公比,则,所以数列的通项公式是.(2)由(1)得,,.18.在锐角三角形ABC中,角A,B,C所对的边分别为a,b,c,满足.(1)求角A;(2)若,求△ABC的面积的最大值.【答案】(1)(2) 【分析】(1)利用正弦定理进行边化角即可得到答案;(2)利用余弦定理和基本不等式即可求出的最大值,最后利用三角形面积公式即可.【详解】(1)在中,由条件及正弦定理得,,,,.(2),由余弦定理得,,当且仅当时等号成立,,所以的面积的最大值为.19.我国某芯片企业使用新技术对一款芯片进行试产.试产该款芯片共有三道工序,前两道生产工序互不影响,第三道是检测评估工序,包括自动智能检测和人工抽检.已知前两道生产工序的次品率分别为,.(1)求该款芯片的次品率;(2)第三道工序中自动智能检测为次品的芯片会被自动淘汰;否则,进入流水线进行人工抽检.已知该款芯片自动智能检测显示合格率为98%,求人工抽检时,抽检的一个芯片恰是合格品的概率.【答案】(1)(2) 【分析】(1)根据相互独立事件及对立事件求批次芯片的次品率;(2)再由条件概率公式求人工抽检时,抽检一个芯片恰为合格品的概率;【详解】(1)该款芯片的次品率为(2)设批次的芯片智能自动检测合格为事件A,人工抽检合格为事件B,由已知得,则工人在流水线进行人工抽检时,抽检一个芯片恰为合格品概率为:20.如图,在三棱柱中,,D为BC的中点,平面平面. (1)证明:平面;(2)已知四边形是边长为2的菱形,且,求平面与平面所成角的正弦值.【答案】(1)证明见解析;(2). 【分析】(1)利用等腰三角形性质,面面垂直的性质推理作答.(2)以点D为原点,建立空间直角坐标系,利用空间向量求解作答.【详解】(1)在三棱柱中,由是的中点,得,而平面平面,且平面平面平面,所以平面.(2)因为四边形为菱形,,则为正三角形,连接,有,而平面平面,平面平面,因此平面,两两垂直,以为坐标原点,分别为轴,轴,轴,建立空间直角坐标系, 则,,设平面的法向量,则,令,得,显然平面的法向量,设平面与平面所成角为,则,所以平面与平面所成角的正弦值为.21.已知双曲线的右焦点为,渐近线与抛物线:交于点.(1)求,的方程;(2)设A是与在第一象限的公共点,作直线l与的两支分别交于点M,N,使得.求证:直线MN过定点.【答案】(1),;(2)证明见解析. 【分析】(1)求出双曲线渐近线方程,由已知列出关于a,b的方程组即得方程,代入求出得的方程.(2)求出点A的坐标,设出直线的方程,与的方程联立,利用韦达定理及向量数量积探求、计算判断作答.【详解】(1)双曲线的渐近线方程为:,因为的渐近线过,则有,解得,则,由抛物线过,得,则,所以,的方程分别为,.(2)由于点,在双曲线左右两支上,则直线的斜率存在,设的方程为, 由消去y得:,,即,则,,,由,解得,于是,,由,得,即,整理得:,即,显然不在直线上,即,于是,满足,因此直线的方程为,即,恒过定点,所以直线过定点.【点睛】思路点睛:与圆锥曲线相交的直线过定点问题,设出直线的斜截式方程,与圆锥曲线方程联立,借助韦达定理求出直线斜率与纵截距的关系即可解决问题.22.已知函数,e是自然对数的底数,若恰为的极值点.(1)求实数a的值;(2)求在区间上零点的个数.【答案】(1)(2)1 【分析】(1)求出函数的导数,令起等于0,即可求得a的值,结合极值点定义进行验证即可;(2)对于分段讨论,判断的单调性,结合函数值情况,即可判断其零点个数.【详解】(1)由题意得,因为为的极值点,故,此时,则时,,故,则在上单调递增;由,令,当时,,则,则在上单调递减,故,即,故在上单调递减,则为的极大值点,符合题意,故.(2)由(1)知,,时,,在上单调递增,则,故在上不存在零点;当时,,故在上单调递减,则,故在上不存在零点;当时,,即为的零点,综合上述,在区间上零点的个数为1.【点睛】方法点睛:(1)根据极值点求参数时,利用导数等于0求得参数值之后,要注意验证;(2)判断函数零点个数,要注意对区间分段讨论,结合函数的单调性进行判断.
相关试卷
这是一份2022-2023学年云南省玉溪市第三中学高二下学期期末教学质量检测数学试题含答案,共15页。试卷主要包含了单选题,多选题,填空题,解答题等内容,欢迎下载使用。
这是一份2022-2023学年云南省玉溪市高二上学期期末教学质量检测数学试题含解析,共18页。试卷主要包含了单选题,多选题,填空题,解答题等内容,欢迎下载使用。
这是一份云南省玉溪市2021-2022学年高一上学期期末教学质量检测数学试题,共14页。

