2024四川省射洪中学高三上学期开学考试数学(文)PDF版含答案(可编辑)
展开
射洪中学高2021级高三上期入学考试
数学(文科)答题卡
缺考标记,考生禁填,由监考老师填涂。
一、选择题(每小题5分)
|
|
|
|
|
|
1 | | 5 | | 9 | |
2 | | 6 | | 10 | |
3 | | 7 | | 11 | |
4 | | 8 | | 12 | |
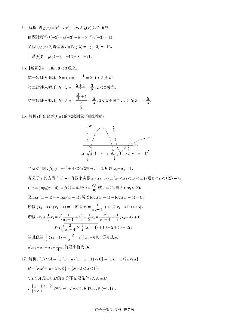
|
|
|
|
|
|
二、填空题(每小题5分)
2024四川省射洪中学高三下学期开学考试数学(文)PDF版含答案(可编辑): 这是一份2024四川省射洪中学高三下学期开学考试数学(文)PDF版含答案(可编辑),文件包含数学文试题pdf、射洪中学高2021级高三下期入学考试数学文科试题答案pdf等2份试卷配套教学资源,其中试卷共12页, 欢迎下载使用。
2024四川省射洪中学高三下学期开学考试数学(理)PDF版含答案(可编辑): 这是一份2024四川省射洪中学高三下学期开学考试数学(理)PDF版含答案(可编辑),文件包含射洪中学高2021级高三下期入学考试数学理科试题答案pdf、数学理科pdf等2份试卷配套教学资源,其中试卷共8页, 欢迎下载使用。
2024四川省射洪中学高三上学期10月月考试题(补习班)数学(文)PDF版含答案(可编辑): 这是一份2024四川省射洪中学高三上学期10月月考试题(补习班)数学(文)PDF版含答案(可编辑),文件包含补习数学试题文科pdf、补习数学答题卡文科doc、补习数学答案文科pdf等3份试卷配套教学资源,其中试卷共14页, 欢迎下载使用。

