






还剩8页未读,
继续阅读
所属成套资源:2024年高考数学第一轮复习课时练及重难点突破卷
成套系列资料,整套一键下载
2024年新高考数学第一轮复习课件:微专题9 抓住“爪形图”破解向量问题
展开
这是一份2024年新高考数学第一轮复习课件:微专题9 抓住“爪形图”破解向量问题,共15页。
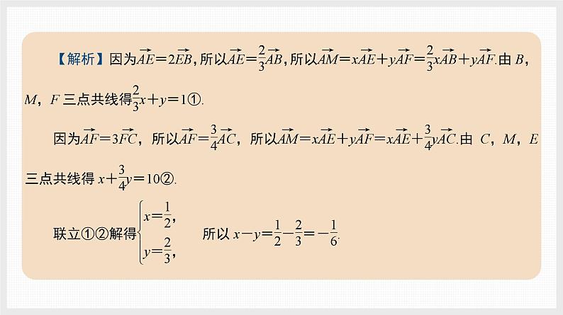
(2) 若A,P,B三点共线,求证:m+n=1.
“爪”形图主要有以下两种:
相关课件
2024年新高考数学第一轮复习课件:微专题11 数列中的奇、偶项问题:
这是一份2024年新高考数学第一轮复习课件:微专题11 数列中的奇、偶项问题,共9页。
2024年新高考数学第一轮复习课件:微专题9 抓住“爪形图”破解向量问题:
这是一份2024年新高考数学第一轮复习课件:微专题9 抓住“爪形图”破解向量问题,共16页。PPT课件主要包含了答案C,答案BC,答案BD等内容,欢迎下载使用。
2024年新高考数学第一轮复习课件:微专题5 导数中的构造问题:
这是一份2024年新高考数学第一轮复习课件:微专题5 导数中的构造问题,共16页。PPT课件主要包含了答案A,答案D,答案CD,答案ACD,0+∞等内容,欢迎下载使用。