2023绵阳南山中学实验学校高一下学期6月月考数学试题含解析
展开绵阳南山中学实验学校高2022级6月月考 数学
满分:150分 时间:120分钟
一、单选题((每小题5分,共40分,每小题只有一个正确选项)
1. 复数的虚部为( )
A. 3 B. 2 C. D.
2. 已知向量,,若,则( )
A. 3 B. 5 C. 6 D. 9
3. 要得到函数的图象,只需将函数的图象( )
A. 向右平移个单位长度 B. 向右平移个单位长度
C. 向左平移个单位长度 D. 向左平移个单位长度
4. 立体几何中的四个基本事实是学习立体几何的基础,下列四个命题中不是立体几何中的基本事实的是( )
A. 过不在一条直线上的三点,有且仅有一个平面
B. 如果一条直线上的两点在一个平面内,那么这条直线上的所有点都在这个平面内
C. 平行于同一条直线的两条直线平行
D. 垂直于同一条直线的两条直线平行
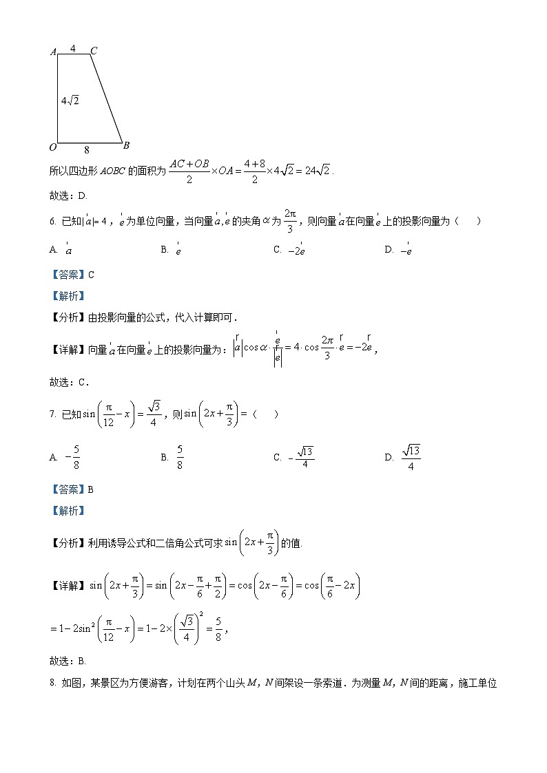
5. 若水平放置的四边形AOBC按“斜二测画法”得到如图所示的直观图,四边形为等腰梯形,,则原四边形AOBC的面积为( )
A. B. C. D.
6. 已知,为单位向量,当向量夹角为,则向量在向量上的投影向量为( )
A. B. C. D.
7. 已知,则( )
A B. C. D.
8. 如图,某景区为方便游客,计划在两个山头M,N间架设一条索道.为测量M,N间的距离,施工单位测得以下数据:两个山头的海拔高度,在BC同一水平面上选一点A,测得M点的仰角为,N点的人仰角为,以及, 则M,N间的距离为( )
A. B. 120m C. D. 200m
二、多选题(每小题5分,共20分,在每小题给出的选项中有多项符合题目要求,全部选对得5分,部分选对得2分,错选得0分)
9. 设为直线,,是两个不同的平面,下列命题中错误的是( )
A. 若,,则
B. 若,,则
C. 若,,则
D 若,,则
10. 在中,内角A,B,C所对的边分别为a,b,c,下列说法正确的是( )
A. 若,则
B. 若是锐角三角形,恒成立
C. 若,,,则符合条件的只有一个
D. 若为非直角三角形,则
11. 关于函数,下列结论正确的是( )
A. 函数的最大值是
B. 函数在上单调递增
C. 函数的图象可以由函数的图象向右平移个单位得到
D. 若方程在区间有两个实根,则
12. 如图,在棱长为1的正方体中,,分别为棱,的中点,为线段上一个动点,则( )
A. 存在点,使直线平面
B. 平面截正方体所得截面的最大面积为
C. 三棱锥的体积为定值
D. 存在点,使平面平面
三、填空题(每小题5分,共20分)
13. 已知,______.
14. 若,则的值是______.
15. 在正四棱台中,,则该棱台的体积为________.
16. 如图,已知球O的面上四点A,B,C,P,PA⊥平面ABC,AB⊥BC,AB=1,,,则球O的表面积等于____________.
四、解答题
17. 已知向量.
(1)若,求实数的值;
(2)若与的夹角是钝角,求实数的取值范围.
18. 在正方体中,M,N分别是线段,BD的中点.
(1)求证:平面;
(2)若正方体的棱长为2,求三棱锥的体积.
19. 已知的内角的对边分别为,,,且.
(1)求;
(2)若,的面积为,求的周长.
20. 已知四棱锥P-ABCD中,PA⊥底面ABCD,,AD=CD=1,∠BAD=120°,,∠ACB=90°.
(1)求证:BC⊥平面PAC;
(2)求直线PC与平面PAB所成的角的正弦值.
21. 已知函数的部分图象如图所示.
(1)求函数的解析式;
(2)将函数的图象向左平移个单位,得到函数的图象,若方程在上有解,求实数的取值范围.
22. 如图,经过村庄A有两条夹角为公路,,根据规划,在两条公路之间的区域内建一工厂,分别在两条公路边上建两个仓库,(异于村庄),要求(单位:).
(1)当时,求线段长度;
(2)设,当取何值时,工厂产生的噪音对居民的影响最小?(即工厂与村庄的距离最远)
2024绵阳南山中学高一上学期10月月考数学试题含解析: 这是一份2024绵阳南山中学高一上学期10月月考数学试题含解析,文件包含四川省绵阳南山中学2023-2024学年高一上学期10月月考数学试题含解析docx、四川省绵阳南山中学2023-2024学年高一上学期10月月考数学试题无答案docx等2份试卷配套教学资源,其中试卷共19页, 欢迎下载使用。
2024绵阳南山中学实验学校高二上学期9月月考数学试题含解析: 这是一份2024绵阳南山中学实验学校高二上学期9月月考数学试题含解析,文件包含四川省绵阳南山中学实验学校2023-2024学年高二上学期9月月考数学试题含解析docx、四川省绵阳南山中学实验学校2023-2024学年高二上学期9月月考数学试题无答案docx等2份试卷配套教学资源,其中试卷共28页, 欢迎下载使用。
2023绵阳南山中学实验学校高一下学期2月月考数学试题含解析: 这是一份2023绵阳南山中学实验学校高一下学期2月月考数学试题含解析,文件包含四川省绵阳市南山中学实验学校2022-2023学年高一下学期2月月考数学试题含解析docx、四川省绵阳市南山中学实验学校2022-2023学年高一下学期2月月考数学试题无答案docx等2份试卷配套教学资源,其中试卷共20页, 欢迎下载使用。

