还剩3页未读,
继续阅读
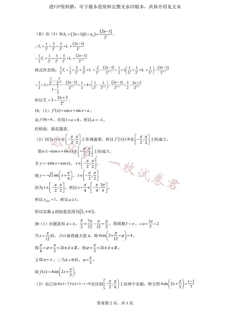
黑龙江省鹤岗市第一中学2022-2023学年高三上学期开学考试数学答案
展开
这是一份黑龙江省鹤岗市第一中学2022-2023学年高三上学期开学考试数学答案,共6页。
相关试卷
黑龙江省鹤岗市第一中学2022-2023学年高一下学期开学考试数学试题:
这是一份黑龙江省鹤岗市第一中学2022-2023学年高一下学期开学考试数学试题,共6页。试卷主要包含了 已知集合,则, 函数的零点所在区间为, 函数的单调递减区间为, 函数在区间的图象大致为, 若,则, 已知,,,则下列判断正确的是, “≥2”是“−1≤”的, 下列四个等式中正确的是等内容,欢迎下载使用。
黑龙江省鹤岗市第一中学2022-2023学年高一下学期开学考试数学试题:
这是一份黑龙江省鹤岗市第一中学2022-2023学年高一下学期开学考试数学试题,共4页。
2024届黑龙江省鹤岗市工农区鹤岗市第一中学高三上下学期开学数学试题含答案:
这是一份2024届黑龙江省鹤岗市工农区鹤岗市第一中学高三上下学期开学数学试题含答案,共20页。试卷主要包含了单选题,多选题,填空题,解答题等内容,欢迎下载使用。

