


四川省宜宾市叙州二中2021届高三上学期阶段二考试数学(文)试卷 Word版含答案
展开
这是一份四川省宜宾市叙州二中2021届高三上学期阶段二考试数学(文)试卷 Word版含答案,共11页。试卷主要包含了选择题,填空题,解答题等内容,欢迎下载使用。
www.ks5u.com
叙州二中2020-2021学年上期高2018级阶段二考试
数学(文)试题
(全卷满分:150 分,答题时间:120分钟)
一、选择题(本题共12小题,每小题5分,共60分.在每小题给出的四个选项中,只有一项是符合题目要求的)
1.设集合,,则( )
A. B. C. D.
2.复数的虚部为( )
A.0 B. C.1 D.2
3.已知向量,满足,且,,则与的夹角为( )
A.30° B.45° C.60° D.120°
4.宋代诗词大师欧阳修的《卖油翁》中有一段关于卖油翁的精湛技艺的细节描写:“(翁)乃取一葫芦置于地,以钱覆其口,徐以杓酌油沥之,自钱孔入,而钱不湿.”如果铜钱是直径为的圆,钱中间的正方形孔的边长为,则卖油翁向葫芦内注油,油正好进入孔中的概率是( )
A. B. C. D.
5.设,则“”是“”的( )
A.充分不必要条件 B.必要不充分条件 C.充要条件 D.既不充分也不必要条件
6.为了得到函数的图象,可以将函数的图象( )
A向右平移个单位长 B向右平移个单位长 C向左平移个单位长 D向左平移个单位长
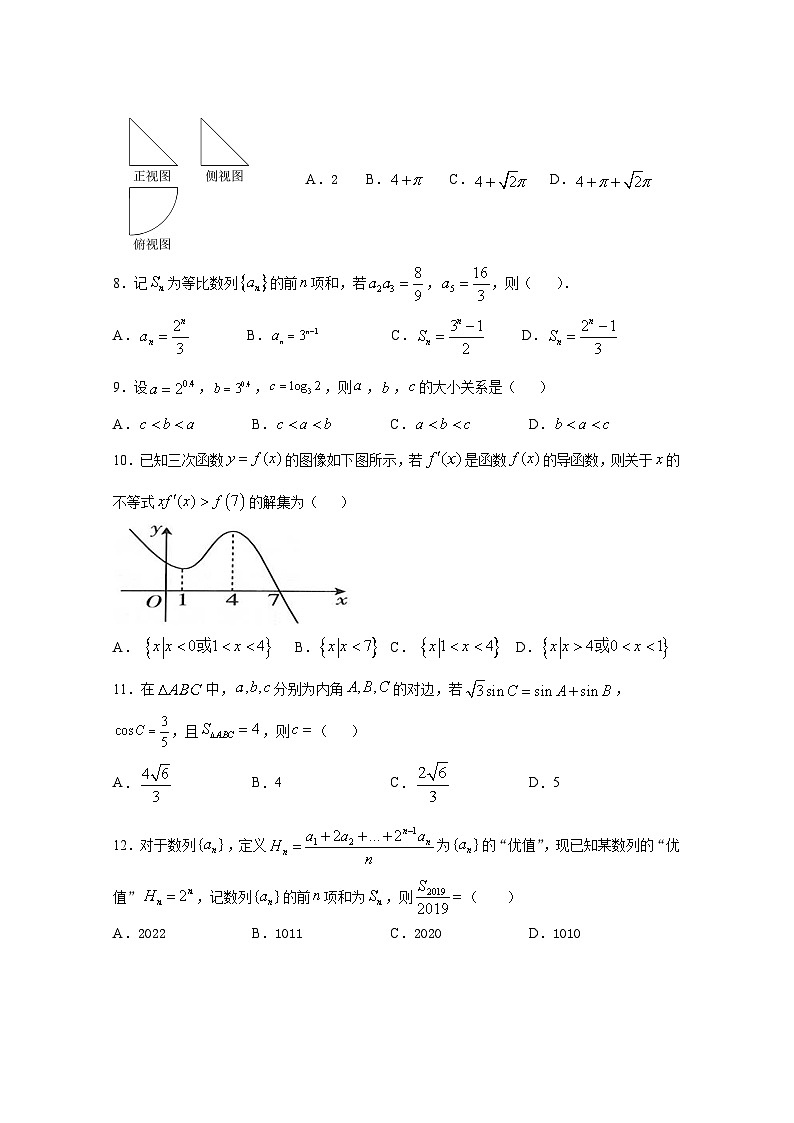
7.一个几何体的三视图如图所示,其中正视图和侧视图是腰长为2的两个全等的等腰直角三角形,俯视图是圆心角为的扇形,则该几何体的侧面积为( )
A.2 B. C. D.
8.记为等比数列的前项和,若,,则( ).
A. B. C. D.
9.设,,,则,,的大小关系是( )
A. B. C. D.
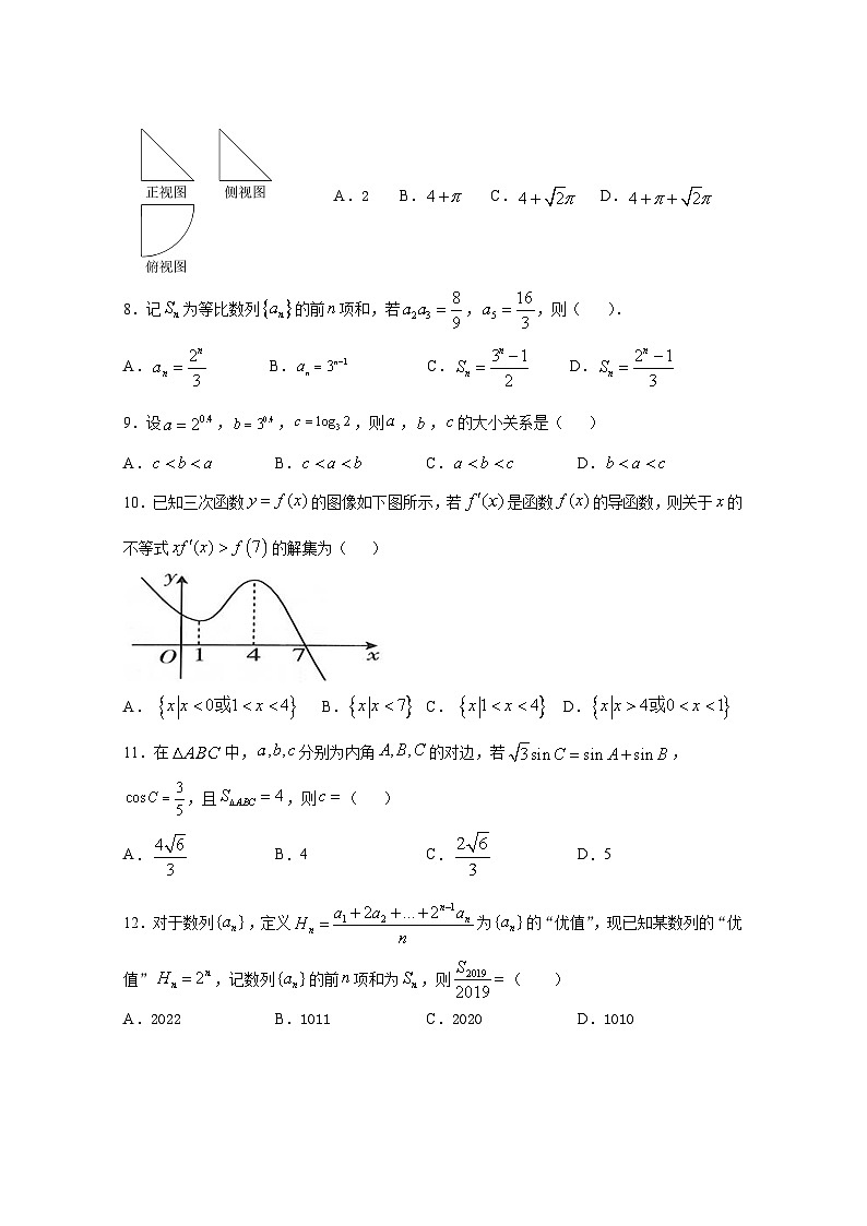
10.已知三次函数的图像如下图所示,若是函数的导函数,则关于的不等式的解集为( )
A. B. C. D.
11.在中,分别为内角的对边,若,,且,则( )
A. B.4 C. D.5
12.对于数列,定义为的“优值”,现已知某数列的“优值”,记数列的前项和为,则( )
A.2022 B.1011 C.2020 D.1010
二、填空题(本题共4小题,每小题5分,共20分)
13.已知实数,满足线性约束条件,则目标函数的最大值是______.
14.若,则=_____
15.已知四棱锥P﹣ABCD的顶点都在球O的球面上,底面ABCD是边长为2的正方形,且PA⊥面ABCD,若四棱锥的体积为,则该球的体积为_____.
16.函数,若方程恰有3个不同的实数解,记为,,,则的取值范围是_____.
三、解答题(本大题共6小题,共70分,解答应写出文字说明、证明过程或演算步骤.)
17.的内角的对边分别为,已知.
(1)求;
(2)若为锐角三角形,且,求周长的取值范围.
18.已知是递增的等比数列,,且、、成等差数列.
(1)求数列的通项公式;
(2)设,,求数列的前项和.
19.某区政府组织了以“不忘初心,牢记使命”为主题的教育活动,为统计全区党员干部一周参与主题教育活动的时间,从全区的党员干部中随机抽取n名,获得了他们一周参与主题教育活动时间(单位:h)的频率分布直方图如图所示,已知参与主题教育活动时间在内的人数为92.
(1)求n的值.
(2)以每组数据所在区间的中点值作为本组的代表,估算这些党员干部参与主题教育活动时间的平均值以及中位数(中位数精确到0.01).
(3)如果计划对参与主题教育活动时间在内的党员干部给予奖励,且在内的分别评为二等奖和一等奖,那么按照分层抽样的方法从获得一、二等奖的党员干部中选取5人参加社区义务宣讲活动,再从这5人中随机抽取2人作为主宣讲人,求这2人均是二等奖的概率.
20.如图,长方体ABCD–A1B1C1D1的底面ABCD是正方形,点E在棱AA1上,BE⊥EC1.
(1)证明:BE⊥平面EB1C1;(2)若AE=A1E,AB=3,求四棱锥的体积.
21.已知函数(为自然对数的底数).
(1)讨论函数的单调性;(2)已知函数在处取得极大值,当时,恒有,求实数的取值范围.
选考题:共10分.请考生在第22、23题中任选一题作答.如果多做,则按所做的第一题计分.
选修4—4:坐标系与参数方程(10分)
22.在平面直角坐标系中,将曲线(为参数)上任意一点经过伸缩变换后得到曲线.以坐标原点为极点,轴的非负半轴为极轴,建立极坐标系,直线的极坐标方程为.(1)求直线的普通方程和曲线的直角坐标方程;
(2)设直线与曲线交于,两点,,求的值.
选修4—5:不等式选讲(10分)
23.函数的图象关于直线对称.
(1)求的值;(2)若的解集非空,求实数的取值范围.
答案
一、DCDDA ADDDA BB
二、15、、8π、
17.(1);(2).
解:(1)解法一:由已知,得.
由正弦定理,得,
即,.......................2分
∵,∴..................4分
∵,∴∵,∴.....................................................6分
解法二:结合余弦定理
,化简得..................2分
∴...........................4分∵∴.......................6分
(2),且,,∴,
∴
.......................................................8分
因为为锐角三角形,所以得,得.................10分
∴
即周长的取值范围为...................................12分
18.(Ⅰ);(Ⅱ).
(Ⅰ)设数列的公比为,由题意及,知.
、、成等差数列成等差数列,,,....2分
即,解得或(舍去),...............4分
数列的通项公式为;.....................6分
(Ⅱ),.........8分
............10分
.....................12分
19.(1)200;(2)13.64;13.83;(3).
(1)由已知可得,.
则,得.............................4分
(2)这些党员干部参与主题教育活动时间的平均值为:
设中位数为x,则,得..................8分
(3)按照分层抽样的方法从内选取的人数为,
从内选取的人数为.
记二等奖的4人分别为,一等奖的1人为A,
事件E为“从这5人中抽取2人作为主宣讲人,且这2人均是二等奖”.
从这5人中随机抽取2人的基本事件为,
,共10种,
其中2人均是二等奖的情况有,,共6种,
由古典概型的概率计算公式得...............................12分
20.(1)因为在长方体中,平面;
平面,所以,
又,,且平面,平面,
所以平面;......................4分.
(2)设长方体侧棱长为,则,
由(1)可得;所以,即,
又,所以,即,解得;.......8分
取中点,连结,因为,则;
所以平面,所以四棱锥的体积为................12分
21.(1)因为函数,所以,
若,则在上单调递减;若,令,则,
当时,单调递增;当时,单调递减,
综上所述,当时,函数在上单调递减;
当时,函数的单调增区间为,单调减区间为. .............4分
(2)在处取得极大值,由(1)知,不符合题意,
故,此时在处取得极大值,
,解得.......................6分
在恒成立,在上恒成立,显然,
当时,恒成立,符合题意;...................8分
当时,问题可转化为在上恒成立,
设,则,当时,单调递增;当时,单调递减........................10分
,
综上,实数的取值范围为........................12分
22.(1):,:;(2).
(1)设曲线上任意一点,则有.消去得.
所以,曲线线的直角坐标方程为.
由,根据可得直线的普通方程为...............5分
(2)直线的参数方程为(t为参数).将其代入得,,
设,对应的参数分别为,,则,
,
所以
.......................10分
23.(1)3;(2).
(1)由函数的图象关于直线对称,恒成立,
令得,即,
等价于,或,或;
解得,此时,
满足,.................5分
(2)不等式的解集非空,等价于存在使得成立,
则.
设,由(1)知,,
当时,,其开口向下,对称轴方程为,
;
当时,,其开口向下,对称轴方程为,
;
当时,,其开口向下,对称轴方程为,
;
综上, .
所以实数的取值范围是........................10分
相关试卷
这是一份四川省宜宾市叙州区第二中学2024届高三上学期期末数学(文)试卷(Word版附解析),文件包含四川省宜宾市叙州区第二中学校2024届高三上学期期末数学文试题Word版含解析docx、四川省宜宾市叙州区第二中学校2024届高三上学期期末数学文试题Word版无答案docx等2份试卷配套教学资源,其中试卷共28页, 欢迎下载使用。
这是一份四川省宜宾市叙州区第二中学2024届高三一模数学(文)试题(Word版附解析),共23页。试卷主要包含了选择题,填空题,解答题等内容,欢迎下载使用。
这是一份四川叙州区第二中学校2021届高三上学期阶段一考试数学(文)试卷 Word版含答案,共8页。试卷主要包含了选择题,填空题,解答题等内容,欢迎下载使用。