


所属成套资源:【同步练习】北师大版(2019) 高中数学 必修第二册 章节+综合检测卷(含解析)
【同步练习】北师大版(2019) 高中数学 必修第二册 三角恒等变换B
展开这是一份【同步练习】北师大版(2019) 高中数学 必修第二册 三角恒等变换B,共17页。试卷主要包含了单选题,多选题,填空题,解答题等内容,欢迎下载使用。
三角恒等变换
一、单选题
1.已知角的顶点与坐标原点重合,始边与x轴的非负半轴重合,角终边上有一点,为锐角,且,则( )
A. B. C. D.
2.函数的最小正周期为,则的值为( ).
A.2 B.4 C.1 D.
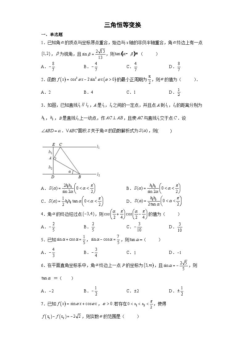
3.如图,已知直线,A是,之间的一定点,并且点A到,的距离分别为,,是直线上一动点,作,且使AC与直线交于点.设.面积S关于角的函数解析式为,则( )
A. B.
C. D.
4.角的终边经过点,则的值为( )
A. B. C. D.
5.已知,,则=( )
A. B. C. D.
6.在平面直角坐标系中,角终边上一点P的坐标为,且,则 =( )
A. B. C. D.
7.已知,.若存在,使得,则实数的范围是( )
A. B. C. D.
8.已知,则( )
A. B. C. D.
二、多选题
9.若,则角θ的取值范围可能为( )
A. B. C. D.
10.已知函数f(x)=cos(ωx-)+sinωx(0<ω<10),且f(x)过点(,)则下列说法正确的是( )
A.f(x)关于直线x=对称 B.f(x)在(π,)上单调递减
C.f(x)的最小正周期为 D.为了得到g(x)=sin2x的图象,只需把y=f(x)的图象向右平移个单位长度
11.将函数(,)图象上所有点的横坐标伸长为原来的2倍,纵坐标不变,再将所得图象向左平移个单位长度后得到函数的图象,若是最小正周期为的偶函数,则( )
A.的最小正周期为 B.是奇函数
C.在上单调递减 D.函数的最大值是
12.下列计算结果正确的是( )
A. B.
C. D.
第II卷(非选择题)
请点击修改第II卷的文字说明
三、填空题
13.已知,则___________________.
14.若,则______.
15.当时,函数取得最大值,则___________.
16.已知角终边与单位圆相交于点,则化简得___________.
四、解答题
17.已知函数,.
(1)求函数的最小正周期以及函数在区间上的最大值和最小值;
(2)将函数图象的横坐标伸长到原来的2倍,纵坐标不变,得到函数的图象,若,求实数的取值范围.
18.化简:
(1);
(2);
(3);
(4);
(5);
(6).
19.已知为第二象限角,且.
(1)求与的值;
(2)的值.
20.已知,其中,求的值.
21.已知函数.
(1)求函数的单调递增区间;
(2)设,求的最值及相应的值.
22.已知函数.
(1)化简;
(2)若,求下列表达式的值:①;②.
参考答案:
1.C
【解析】
【分析】
根据角终边上有一点,得到,再根据为锐角,且,求得,再利用两角差的正切函数求解.
【详解】
因为角终边上有一点,
所以,
又因为为锐角,且,
所以,
所以,
故选:C
2.A
【解析】
【分析】
根据二倍角的余弦公式可得,结合求最小正周期的公式计算即可.
【详解】
解:,
由得函数的最小正周期为,
∴,
故选:A.
3.B
【解析】
【分析】
由条件可得,从而有∴,,故,化简可得结果.
【详解】
∵,,,
∴,,
∴,
∴,,
∴,
故选:B.
4.C
【解析】
【分析】
根据三角函数的定义求出,利用诱导公式和二倍角的正弦公式将原式化简计算即可.
【详解】
由题意可得,
所以
.
故选:C
5.A
【解析】
【分析】
由题意求出与,再利用即可得到答案.
【详解】
由题意可得,
故选:A.
6.A
【解析】
【分析】
首先判断角为第四象限角,再根据同角三角函数的基本关系计算可得;
【详解】
解:因为角终边上一点P的坐标为,且,所以角为第四象限角,又,所以,所以;
故选:A
7.B
【解析】
【分析】
先将函数进行化一处理,由得,由可得解.
【详解】
,
当时,,
存在,使得,
则,解得.
故选:B.
8.D
【解析】
【分析】
变形得,代值计算即可.
【详解】
.
故选:D.
9.BD
【解析】
【分析】
根据给定条件利用平方关系化简等式左边,再分析比较的符号即可推理作答.
【详解】
依题意,,
则,即,由给定选项知,角终边不在坐标轴上,
从而有与异号,为第二象限角或第四象限角,
若为第二象限角,则,,,
若为第四象限角,则,,.
故选:BD
10.CD
【解析】
【分析】
先化简函数解析式,代入点的坐标求得参数,写出解析式,根据三角函数解析式判断函数的对称轴,单调区间,最小正周期及图像平移后的解析式问题.
【详解】
由题知,
,,
则,
解得,即
对于A,,即直线不是函数的对称轴,故A错误;
对于B,时,,由正弦函数单调性知,函数没有单调性,故B错误;
对于C,函数最小正周期为,故C正确;
对于D,函数图像向右平移个单位得到,,故D正确;
故选:CD
11.AC
【解析】
【分析】
根据图象变换得到的解析式,进而利用最小正周期和奇偶性,得到和 的值,进而得到,从而判断出最小正周期,奇偶性和单调性,从而ABC选项可以判断,D选项要利用辅助角公式进行计算得到最大值.
【详解】
由题可知,函数,因为是最小正周期为的偶函数,所以解得因为,所以,所以,所以的最小正周期为,故A正确;因为,故B错误;令,,解得,,故C正确;因为(其中),所以的最大值为,故D错误.
故选:AC.
12.BD
【解析】
【分析】
根据三角函数恒等变换公式逐个分析计算即可
【详解】
对于A,,所以A错误,
对于B,,所以B正确,
对于C,
所以C错误,
对于D,,所以D正确,
故选:BD
13.##
【解析】
【分析】
分子分母同时除以,再代入即可得出答案.
【详解】
对原式分子分母同时除以,
则.
故答案为:
14.##-0.536
【解析】
【分析】
由利用二倍角公式将式子化简,结合同角基本关系即求.
【详解】
∵,
∴.
故答案为:.
15.##
【解析】
【分析】
由辅助角公式,正弦函数的性质求出,,再根据两角和的正切和公式,诱导公式求.
【详解】
(其中,),
当时,函数取得最大值
∴ ,,即,,
所以,.
故答案为:.
16.##
【解析】
【分析】
根据任意角三角函数的概念,可得,再利用诱导公式对原式化简,可得原式等于,由此即可求出结果.
【详解】
因为角终边与单位圆相交于点,所以,
又
所以.
故答案为:.
17.(1);最大值为,最小值;
(2).
【解析】
【分析】
(1)由题可得,再利用正弦函数的性质即求;
(2)由题可得,利用正弦函数的性质可知在上单调递增,进而可得,即得.
(1)
∵,,
∴
,
∴函数的最小正周期为,
当时,,,
∴,
故函数在区间上的最大值为,最小值;
(2)
由题可得,
由,可得,故在上单调递增,
又,,
由可得,
,解得,
∴实数的取值范围为.
18.(1);
(2);
(3);
(4);
(5);
(6).
【解析】
【分析】
(1)根据同角的三角函数关系式,结合正弦二倍角公式进行求解即可;
(2)逆用正切二倍角公式,结合特殊角的正切值进行求解即可;
(3)运用切化弦法,结合辅助角公式、二倍角公式、诱导公式进行求解即可;
(4)运用平方差公式,结合同角的三角函数关系式、余弦的二倍角公式进行求解即可;
(5)运用切化弦法,结合正弦和余弦的二倍角公式进行求解即可;
(6)根据诱导公式,结合余弦二倍角公式进行求解即可.
(1)
(2)
;
(3)
(4)
;
(5)
(6)
.
19.(1),;
(2).
【解析】
【分析】
(1)结合同角三角函数关系即可求解;
(2)齐次式分子分母同时除以cosα化为tanα即可代值求解.
(1)
∵
∴,
∴,
∵为第二象限角,
故,
故;
(2)
.
20.
【解析】
【分析】
根据题意和同角三角函数的基本关系可得,利用两角和的正弦公式展开即可.
【详解】
,
由,得
又,所以,
故.
21.(1)
(2)时,函数的最小值为;时,函数的最大值为2
【解析】
【分析】
(1)先把函数化为,即可求出的单调递增区间;
(2)当时,,直接根据单调性即可求出的最值及相应的值.
(1)
由
解得
所以函数的单调递增区间为.
(2)
当时,,
所以函数在上单增,在上单减,
则当,即时,函数的最小值为,
当,即时,函数的最大值为2.
22.(1)
(2)①,②;
【解析】
【分析】
(1)直接利用诱导公式化简即可;
(2)依题意可得,再根据同角三角函数的基本关系将弦化切,再代入计算可得;
(1)
解:因为,所以;
(2)
解:由,得
①
②
相关试卷
这是一份【同步练习】北师大版(2019) 高中数学 必修第二册 综合检测卷B,共21页。试卷主要包含了单选题,多选题,填空题,解答题等内容,欢迎下载使用。
这是一份【同步练习】北师大版(2019) 高中数学 必修第二册 立体几何初步B,共28页。试卷主要包含了单选题,多选题,填空题,解答题等内容,欢迎下载使用。
这是一份【同步练习】北师大版(2019) 高中数学 必修第二册 平面向量及其应用B,共15页。试卷主要包含了单选题,多选题,填空题,解答题等内容,欢迎下载使用。