所属成套资源:2023-2024学年度高一数学热点题型归纳与分阶培优练(人教A版必修第一册)
- 专题18 同角三角函数恒等变形及求值求最值-2023-2024学年度高一数学热点题型归纳与分阶培优练(人教A版必修第一册) 试卷 1 次下载
- 专题17 同角三角函数与诱导公式-2023-2024学年度高一数学热点题型归纳与分阶培优练(人教A版必修第一册) 试卷 1 次下载
- 专题20 三角函数拆角与恒等变形-2023-2024学年度高一数学热点题型归纳与分阶培优练(人教A版必修第一册) 试卷 1 次下载
- 专题21 三角函数性质综合应用-2023-2024学年度高一数学热点题型归纳与分阶培优练(人教A版必修第一册) 试卷 1 次下载
- 2023-2024学年度高一下学期开学考(2月)检测模拟试卷-2023-2024学年度高一数学热点题型归纳与分阶培优练(人教A版必修第一册) 试卷 0 次下载
专题19 三角函数图像及性质-2023-2024学年度高一数学热点题型归纳与分阶培优练(人教A版必修第一册)
展开
这是一份专题19 三角函数图像及性质-2023-2024学年度高一数学热点题型归纳与分阶培优练(人教A版必修第一册),文件包含专题19三角函数图像及性质-高一数学热点题型归纳与分阶培优练人教A版必修第一册解析版docx、专题19三角函数图像及性质-高一数学热点题型归纳与分阶培优练人教A版必修第一册原卷版docx等2份试卷配套教学资源,其中试卷共66页, 欢迎下载使用。
专题19 三角函数图像及性质
目录
【题型一】三角函数图像1:识图 1
【题型二】三角函数图像2:三角函数与幂指对复合函数图像 4
【题型三】图像平移1:异名平移(正、余互移) 6
【题型四】图像平移2:有图平移 8
【题型五】图像平移3:最小距离平移 11
【题型六】图像平移4:恒等变形平移 13
【题型七】图像平移5:对称轴 15
【题型八】图像平移6:对称中心 17
【题型九】图像平移7:最值 19
【题型十】图像与水平线交点 22
【题型十一】图像单调性 24
【题型十二】图像求周期 26
【题型十三】图像求区间值域与最值 28
培优第一阶——基础过关练 29
培优第二阶——能力提升练 33
培优第三阶——培优拔尖练 39
【题型一】三角函数图像1:识图
【典例分析】
已知函数(其中,,)的部分图像如下图,则( )
A. B. C. D.
【答案】B
【分析】由图像最高的与最低点x的距离得出的周期,通过周期得到;
再由函数最小值点的x值与三角函数性质得出;
再由图像上两点代入得出,;
通过周期得到即可代入得出答案.
【详解】设图中最高点的, 由正弦型函数的性质可得是的一条对称轴,则,
则由图可得,则,,,
,且为最小值点的x值,,即,
,,,由图知上的点与,
代入得:,化简为,解得,
则,的周期为,.故选:B.
【提分秘籍】
基本规律
已知的部分图象求其解析式时,比较容易看图得出,困难的是求待定系数和,常用如下两种方法:
(1)由即可求出;确定时,若能求出离原点最近的右侧图象上升(或下降)的“零点”横坐标,则令(或),即可求出.
(2)代入点的坐标,利用一些已知点(最高点、最低点或“零点”)坐标代入解析式,再结合图形解出和,若对,的符号或对的范围有要求,则可用诱导公式变换使其符合要求.
【变式训练】
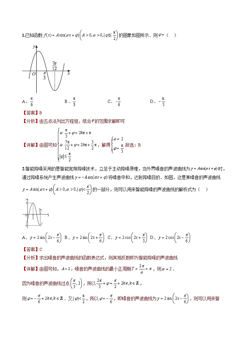
1.已知函数的图象如图所示.则( )
A. B. C. D.
【答案】B
【分析】由五点法列出方程组,结合的范围求解即可.
【详解】由图可知,解得.故选:B
2.智能降噪采用的是智能宽频降噪技术,立足于主动降噪原理,当外界噪音的声波曲线为时,通过降噪系统产生声波曲线将噪音中和,达到降噪目的.如图,这是某噪音的声波曲线的一部分,则可以用来智能降噪的声波曲线的解析式为( )
A. B. C. D.
【答案】C
【分析】求出噪音的声波曲线的函数表达式,则其相反数即为智能降噪的声波曲线.
【详解】由图可知,,噪音的声波曲线的最小正周期,则.
因为噪音的声波曲线过点,所以,
则.又,所以,即噪音的声波曲线为,则可以用来智
3.函数的部分图象如图所示,则函数的解析式为( )
A. B.
C. D.
【答案】B
【分析】由函数图象得到、,即可求出,再根据函数过点及的取值范围,求出,即可得解.
【详解】解:由函数图象可得,,所以,又,解得,
所以,由函数过,所以,
所以,,所以,,
又,所以,所以.故选:B
【题型二】三角函数图像2:三角函数与幂指对复合函数图像
【典例分析】
函数在上的图象大致是( ).
A.B.C.D.
【答案】D
【分析】根据函数的奇偶性和特殊值求得正确答案.
【详解】,
所以是偶函数,图象关于轴对称,排除AB选项.
,所以,所以,排除C选项.
所以D选项正确.
故选:D
【提分秘籍】
基本规律
含有幂指对与三角函数的复合函数型图像(复符合“超越”函数规律)
1.利用复合函数图像的整体奇偶性判断。
2.利用特殊值特殊点的坐标判断。
3.利用极限值(x=0与x)判断
4.利用函数正负判断。
【变式训练】
1.函数的部分图象大致为( )
A.B.C. D.
【答案】B
【分析】根据奇偶性及函数值的正负判断即可.
【详解】因为,定义域为R。所以
所以为奇函数,且,排除CD
当时,,即,排除A。故选:B.
2.函数的部分图象大致为( )
A. B.
C. D.
【答案】A
【分析】利用函数的奇偶性和代入特殊值即可求解.
【详解】由已知条件得函数的定义域关于原点对称,
∵,
∴为偶函数,函数的图象关于轴对称,则排除选项、,
又∵,
∴排除选项,故选:.
3.已知函数的部分图象如图所示,则函数的解析式可能是( )
A. B.
C. D.
【答案】D
【分析】根据图象可得函数为奇函数,从而可排除BC,再根据函数在局部范围的函数值的符号可得正确的选项.
【详解】A的函数即为,
当时,,故排除A
由图象可知关于原点对称,则为奇函数,排除B,C.
故选:D.
【题型三】图像平移1:异名平移(正、余互移)
【典例分析】
为得到函数的图象,只需将函数图象上所有的点( )
A.向左平移个单位长度 B.向右平移个单位长度
C.向左平移个单位长度 D.向右平移个单位长度
【答案】D
【分析】先得到,再利用平移变换求解.
【详解】解:因为,
将其图象上所有的点向右平移个单位长度,得到函数的图象.A,B,C都不满足.
故选:D
【提分秘籍】
基本规律
函数名称不一致的平移,有两种方法:
1.诱导公式化同名。一般情况下,有正弦有余弦,可以利用诱导公式把正弦化为余弦。因为余弦是偶函数,所以能把x负系数直接化为正系数
2.五点画图法,观察“第一零点第二零点一致性”
【变式训练】
1.已知将函数的图象向右平移个单位后得到函数的图象,则的值为( )
A. B. C. D.
【答案】B
【分析】根据三角函数图象的平移,结合平移函数振幅和周期相等,结合题意,讨论的取值情况,即可求得结果.
【详解】依题意,
两边三角函数的振幅及周期应该相等,故.
若,则,不符合要求;
若,则,不符合要求;
若,则,符合要求;
若,则,不符合要求.
所以,所以.
故选:B.
2.要得到函数的图象,只需将函数的图象( )
A.向左平移个单位 B.向右平移个单位
C.向左平移个单位 D.向右平移个单位
【答案】A
【分析】先将化简为,再根据三角函数的图象平移即可得出答案.
【详解】,所以的图象向左平移个单位得:.故选:A.
3.要得到函数的图象,只需将函数的图象( )
A.向左平移 B.向右平移
C.向左平移 D.向右平移
【答案】D
【分析】利用诱导公式结合三角函数图象变换可得出结论.
【详解】,
因此,为了得到函数的图象,只需将函数的图象向右平移个单位长度.
故选:D.
【题型四】图像平移2:有图平移
【典例分析】
已知函数 的部分图象如图所示.将函数的图象向左平移 个单位得到 的图象,则( )
A. ) B.
C. D.
【答案】D
【分析】由图象可知,由此可求得,得到的解析式,根据三角函数图象的平移变换结合三角函数的诱导公式,即可求得答案.
【详解】由图象知,,∵,∴,又,∴,∴,∵将函数的图象向左平移个单位得到的图象,
∴,故选:D.
【变式训练】
1.函数的部分图像如图所示,现将的图像向左平移个单位长度,得到函数的图像,则的表达式可以为( )
A. B.
C. D.
【答案】B
【分析】由最大值、和,结合五点作图法可求得;根据三角函数平移变换,结合诱导公式可化简得到结果.
【详解】由图像可知:,;
又,,又,,
,由五点作图法可知:,解得:,;
.
故选:B.
2.如图为函数的部分图像,将的图像上各点的横坐标变为原来的两倍,再向左平移个单位长度,得到函数的图像,则( )
A. B. C. D.
【答案】D
【分析】由周期求出,由五点法作图求出的值,可得f(x)的解析式,再利用函数的图像变换规律,得出结论.
【详解】根据函数的部分图像,
可得∴
再根据五点法作图,可得,
∴,∴.
将函数的图像上各点的横坐标变为原来的两倍,
可得得图像;
在向左平移个单位长度,
得到函数的图像,
故选:D.
3.已知函数的部分图像如图所示,则将的图像向左平移个单位后,所得图像的函数解析式为( )
A. B.
C. D.
【答案】B
【分析】先由图像求出,然后利用平移变换和诱导公式计算出结果.
【详解】由题,
由图,,
所以,向左平移个单位后,
得到
故选:B.
【题型五】图像平移3:最小距离平移
【典例分析】
将函数的图像向右平移个长度单位后,所得到的图像关于轴对称,则的最小值是( )
A. B. C. D.
【答案】D
【分析】把函数整理成正弦型函数,利用平移以后关于轴对称即可得到的式子,根据范围即可确定的具体值.
【详解】,将图像向右平移个单位长度后,变为,
此时图像关于轴对称,所以当时,,,
则.又,则的最小值是.故选:D.
【提分秘籍】
基本规律
最小平移距离题型,往往平移后有对称轴或者对称中心。所以一般情况下,可以寻找平移前函数的对称轴或者对称中心的通用公式,比较离平移后的对称轴或者对称中心的最近距离即可
【变式训练】
1.已知函数,将函数的图象上所有点的横坐标缩短为原来的,纵坐标不变,然后再向右平移个单位长度,所得的图象关于y轴对称,则的最小值为( )
A. B. C. D.
【答案】B
【分析】由三角恒等变换公式化简与三角函数图象变换得解析式,再根据三角函数性质求解
【详解】由诱导公式可得,故,
,函数变换后得到,
图象关于y轴对称,故,得而,故的最小值为,故选:B
2.将函数的图象向右平移个单位后得到的函数图象关于直线对称,则的最小值为( )
A. B. C. D.
【答案】A
【分析】根据三角函数的图象变换,求得,结合,列出三角方程,即可求解.
【详解】将函数的图象向右平移个单位后,
可得,
因为的图象关于直线对称,,
即,可得,解得,
又因为,所以的最小值为.
故选:A.
3.将函数的图象向右平移个单位,再将图象上每一点的横坐标缩短到原来的倍,所得图象关于直线对称,则的最小正值为( )
A. B.
C. D.
【答案】D
【分析】根据三角函数的变换规则得到变换之后的解析式,再根据函数的对称性求出的取值,从而得解;
【详解】解:将函数的图象向右平移个单位得到,
再将图象上每一点的横坐标缩短到原来的所得图象的解析式.
因为所得图象关于直线对称,所以当时函数取得最值,所以,,
解得,.当时,取得最小正值为,故选:D.10.
【题型六】图像平移4:恒等变形平移
【典例分析】
将函数的图象向右平移个单位长度,然后将所得函数图象上所有点的横坐标变为原来的(纵坐标不变),得到函数的图象,则的单调递增区间是( )
A. B.
C. D.
【答案】A
【分析】先利用三角恒等变换化简,得到,再根据平移和伸缩变换得到的解析式,利用整体法求解出单调递增区间.
【详解】,
则,令,
解得:,故选:A
【提分秘籍】
基本规律
图像平移,一般情况下,要通过诱导公式与恒等变形把三角函数“化一”为辅助角形式,进而观察平移方向和平移距离。
【变式训练】
1.设,把的图像向左平移个单位后,恰好得到函数的图象,则的值可以为( )
A. B. C. D.
【答案】A.因为函数,然后将其图像向左平移个单位后得到:,即,又因为
,所以,即
,当时,,故应选.
2.已知函数的图象向左平移个单位长度后得到函数的图象,则( )
A. B. C. D.
【答案】B
【分析】根据三角函数平移变换和两角和差公式可构造方程组求得,代入即可.
【详解】,
,解得:,.故选:B.
3..已知奇函数的周期为,将函数的图像向右平移个单位长度,可得到函数的图像,则下列结论正确的是( )
A.函数
B.函数在区间上单调递增
C.函数的图像关于直线对称
D.当时,函数的最大值是
【答案】C
【分析】利用辅助角公式变形函数,由已知求出,再借助平移变换求出,然后利用正弦函数性质逐项判断作答.
【详解】依题意,,则有,又是奇函数,于是得,
因,即有,,因此,A不正确;
当时,,而函数在上不单调,
因此函数在区间上不单调,B不正确;
当时,,为的最小值,因此函数的图像关于直线对称,C正确;
当时,,即有,,,D不正确.
故选:C
【题型七】图像平移5:对称轴
【典例分析】
将函数的图象向右平移个单位长度得到的图象,若的图象关于直线对称,则( )
A. B. C.0 D.
【答案】D
【分析】由平移变换写出的表达式,由的对称性求得,然后计算函数值.
【详解】由已知,
的图象关于直线对称,则,又,所以,
所以,所以.
故选:D.
【提分秘籍】
函数
y=sin x
y=cos x
y=tan x
对称轴
方程
x=+kπ
(k∈Z)
x=kπ(k∈Z)
基本规律
【变式训练】
1.已知函数的最小值周期为,将的图象向右平移个单位长度,所得图象关于轴对称,则的一个值是( )
A. B.
C. D.
【答案】B
【分析】由题可得, ,进而可得,然后利用三角函数的性质即得.
【详解】由题可得,即,则函数的解析式为,
将的图象向右平移个单位长度所得的函数解析式为:
,又函数图象关于轴对称,
当时,,则①,
令,可得:,其余选项不适合①式.。故选:B.
2.将函数图象上所有点的横坐标缩短为原来的,纵坐标不变,再将所得图象向右平移个单位长度,得到函数的图象,若,则的最小值为( )
A. B. C. D.
【答案】D
【分析】首先根据三角函数图象的变换得到的解析式,然后由为偶函数可得答案.
【详解】将图象上所有点的横坐标缩短为原来的,纵坐标不变,
得到函数的图象,
再将所得图象向右平移个单位长度,
得到函数的图象,
因为,所以为偶函数,所以,
解得,又,所以的最小值为.故选:D.
3..已知函数的部分图象如图所示,则下列说法正确的是( )
A.为偶函数
B.的图象向右平移个单位长度后得到的图象
C.图象的对称中心为,
D.在区间上的最小值为
【答案】A
【分析】根据函数最大值和最小正周期可得,由可得,从而得到解析式;由可确定奇偶性,知A正确;根据三角函数平移变换原则可得B错误;利用整体代换法,令可求得对称中心,知C错误;由,结合正弦函数性质可确定最小值为,知D错误.
【详解】,,;
由图象可知:最小正周期,,
又,,解得:,
又,,;
对于A,,
,为偶函数,A正确;
对于B,,B错误;
对于C,令,解得:,
的对称中心为,C错误;
对于D,当时,,
当,即时,,D错误.
故选:A.
【题型八】图像平移6:对称中心
【典例分析】
已知函数的图象向右平移个单位长度后, 得到函数 的图象, 若的图象关于原点对称, 则 ( )
A. B. C. D.
【答案】C
【分析】根据函数平移关系求出,再由的对称性,即得.
【详解】由题可知图象关于原点对称,
所以,因为,所以.故选:C.
【提分秘籍】
基本规律
函数
y=sin x
y=cos x
y=tan x
对称中心
(kπ,0)(k∈Z)
(+kπ,0)
(k∈Z)
(,0)(k∈Z
【变式训练】
1.将函数的图像向右平移个单位长度得到函数的图像,若是函数图像的一个对称中心,则函数的一个单调递减区间为( )
A. B. C. D.
【答案】B
【分析】根据三角函数变换可得,根据对称中心可得,进而可得解析式与单调区间.
【详解】由题意知,,所以
因为是函数的一个对称中心,则,即(),
因为,可得,所以函数,令,
解得(),故选:B.
2.若函数(其中)图象的一个对称中心为,其相邻一条对称轴方程为,且函数在该对称轴处取得最小值,为了得到的图象,则只要将f(x)的图象( )
A.向右平移个单位长度 B.向左平移个单位长度
C.向右平移个单位长度 D.向左平移个单位长度
【答案】D
【分析】由条件先求函数的解析式,再化为同名函数,再按照平移变换规律求解
【详解】解:函数图象的一个对称中心为,其相邻一条对称轴方程为,
所以,所以.因为函数在时取得最小值,
所以,,∴ ,∵∴
∴
根据平移变换规律可知,向左平移个单位,可得函数,
所以向左平移个单位可得的图象,故选:3.
3.将最小正周期为的函数的图象向左平移个单位长度,得到函数的图象,则函数的图象的对称中心为( ).
A., B.,
C., D.,
【答案】C
【分析】由题可得,利用图象变换可得,然后利用正弦函数的性质即得.
【详解】∵函数最小正周期为,
∴,即,,
∴,
由可得,
故函数的图象的对称中心为.故选:C.
【题型九】图像平移7:最值
【典例分析】
将函数的图像向右平移个单位,得到函数的图像,若在上为增函数,则的取值范围是( )
A. B. C. D.
【答案】B
【分析】先由图像平移求得的解析式,再利用换元法结合题设条件,得到关于的不等式组,解之即可.
【详解】因为向右平移个单位,得到函数,
所以,
令,则在上单调递增,
因为在上为增函数,故由,,得,即,
所以在上为增函数,故,即,解得,
故,因为,所以,所以由得,故,
所以,即故选:B.
【提分秘籍】
基本规律
大多数时候,是代入点的坐标,利用一些已知点(最高点、最低点或“零点”)坐标代入解析式,或者利用单调区间,再结合图形解出值或者范围。
【变式训练】
1.将函数图象上所有点的横坐标缩短到原来的倍纵坐标不变,再向左平移个单位长度,得到函数的图象,若在上单调递减,则实数的取值范围为( )
A. B. C. D.
【答案】D
【分析】根据函数图象变换关系求出的解析式,利用函数的单调性建立不等式进行求解即可.
【详解】解:将函数图象上所有点的横坐标缩短到原来的倍纵坐标不变,得到,再向左平移个单位长度,得到函数的图象,
即,若在上单调递减,
则的周期,即,得,
由,,得,,
即,即的单调递减区间为,,
若在上单调递减,则,,
即,,当时,,即的取值范围是.
故选:D.
2.已知函数的最小正周期为,将其图象沿x轴向左平移个单位,所得图象关于直线对称,则实数m的最小值为( )
A. B. C. D.
【答案】A
【分析】由已知,先对函数进行化简,根据最小正周期为,求解出,然后根据题意进行平移变换,得到平移后的解析式,再利用图象关于直线对称,建立等量关系即可求解出实数m最小值.
【详解】解:
,
即,由其最小正周期为,即,解得,
所以,
将其图象沿轴向左平移()个单位,所得图象对应函数为,
其图象关于对称,所以,所以 ,
由,实数的最小值为.故选:A.
3.将函数的图像向左平移个单位长度后得到曲线C,若C关于y轴对称,则的最小值是( )
A. B. C. D.
【答案】C
【分析】先由平移求出曲线的解析式,再结合对称性得,即可求出的最小值.
【详解】由题意知:曲线为,又关于轴对称,则,
解得,又,故当时,的最小值为.
【题型十】图像与水平线交点
【典例分析】
若函数的图象在上与直线只有两个公共点,则的取值范围是___________.
【答案】
【分析】
由已知在上有两个解,数形结合可知,求解,根据k的取值求得结果.
【详解】
因为,所以,
令,由已知得在上有两个解,
可知在上有两个解,
由题意得,解得
当时,,不等式组无解.
当时,,得.
当时,,得.
当时,,不等式组无解.
综上,的取值范围是.
故答案为:
【提分秘籍】
基本规律
水平线型直线与三角函数交点,可以从对称轴,对称中心,函数周期等几方面入手。特别是三角函数对称轴是两个交点的中点所在的直线。
【变式训练】
1.已知函数的图像与直线的相邻两个交点的距离为,则的图像的一个对称中心是( )
A. B. C. D.
【答案】C
【分析】根据给定信息,结合正切函数的性质求出,再列出方程可求解.
【详解】由函数的图像与直线的相邻两个交点的距离为,
则有的周期,解得,
于是得,
所以的图像的对称中心横坐标方程满足,(),
解得,(),可知为其一个对称中心.
故选:C
2.正弦函数的图象与直线交点的个数为( )
A.0 B.1 C.2 D.3
【答案】B
【分析】根据方程的根的个数进而可求.
【详解】令,因为所以 ,故只有一个交点.
故选:B
3..函数的图象的相邻两支截直线所得的线段长为,则的值是( )
A.0 B.1
C.-1 D.
【答案】A
【分析】根据给定条件求出函数的周期可得,再代入即可求.
【详解】因函数的图象的相邻两支截直线所得的线段长为,则的周期为,则,解得,即,于是得.
故选:A.
【题型十一】图像单调性
【典例分析】
下列区间中,函数单调递增的区间是( )
A. B. C. D.
【答案】C
【分析】根据诱导公式,结合余弦型函数的单调性进行判断即可.
【详解】,
当时,,显然该集合是的子集
此时函数单调递减,不符合题意;
当时,,显然该集合不是的子集
此时函数不单调递增,不符合题意;
当时,,显然该集合是的子集
此时函数单调递增,符合题意;
当时,,显然该集合不是的子集
此时函数不单调递增,不符合题意,
故选:C
【提分秘籍】
基本规律
函数
y=sin x
y=cos x
y=tan x
单调性
[-+2kπ,+2kπ](k∈Z)上递增;
[+2kπ,+2kπ](k∈Z)上递减
[-π+2kπ,2kπ]
(k∈Z)上递增;
[2kπ,π+2kπ]
(k∈Z)上递减
(-+kπ,+kπ)
(k∈Z)上递增
【变式训练】
1.设函数,则( )
A.在区间上是单调递减的 B.是周期为的周期函数
C.在区间上是单调递增的 D.对称中心为,
【答案】A
【分析】先当时,,又是偶函数,由此可判断命题的真假.
【详解】当时,,在上是单调递减的,故A正确;
是偶函数,无周期性,故B错误;
是偶函数,在单调递减,故C错误;
是偶函数,无对称中心,故D错误;
故选:A
2..已知函数与在下列区间内同为单调递增的是( )
A. B.
C. D.
【答案】D
【分析】根据正余弦函数的单调性,即可得到结果.
【详解】由正弦函数的单调性可知,函数在上单调递增;
由余弦函数的单调性可知,函数在上单调递增;
所以函数与在下列区间内同为单调递增的是.
故选:D.
3.将函数的图象向左平移个单位,得到函数的图象,若函数在区间上单调递增,则的值可能为( )
A. B. C.3 D.4
【答案】B
【分析】先利用平移变换得到,再根据函数在区间上单调递增,利用正弦函数的性质求解.
【详解】解:将函数的图象向左平移个单位,得到函数,
因为,所以,又因为函数在区间上单调递增,所以,解得,
所以的值可能为,故选:B
【题型十二】图像求周期
【典例分析】
下列四个周期函数中,与其它三个函数周期不一致的函数是( )
A. B.
C. D.
【答案】D
【分析】根据各自的特点,分别求出函数的周期即可判断.
【详解】对于A,,周期为;
对于B,,周期为;
对于C,,周期为;
对于D,若周期为,
则,,
故的周期不是.
故选:D
【提分秘籍】
基本规律
周期公式:
①y=Asin(ωx+φ)(或y=Acos(ωx+φ))的最小正周期T=
②y=|Asin(ωx+φ)|的周期T=.
求周期:
1.化一法:恒等变形,化为正余弦形式
2.数形结合
【变式训练】
1.已知函数在单调递增,在单调递减,则的最小正周期为( )
A. B. C. D.
【答案】D
【分析】根据题意,由三角函数的单调性分析可得在处取得最大值,可求得的值,再算出最小正周期.
【详解】根据题意,函数在上单调递增,在上单调递减,
则在处取得最大值,则有,变形可得,
由题意最小正周期,,
当时,,最小正周期.故选:D
2.以下四个函数中,在上为减函数,且以为周期的偶函数为( )
A. B. C. D.
【答案】B
【分析】根据常见函数的奇偶性,单调性以及周期即可求解.
【详解】对A,最小正周期为,且在上为增函数,并为奇函数,不满足要求;
对B,在上为减函数,且以为周期的偶函数,符合要求;
对C,在上为增函数,且为偶函数,不符合要求;
对D,在上为减函数,但是以为周期的偶函数,不符合要求;
故选:B
3.的最小正周期是( )
A. B. C.2 D.3
【答案】A
【分析】化简可得,根据正弦函数的周期可得.
【详解】因为,
因为的最小正周期为,所以的最小正周期为,
所以的最小正周期为.故选:A.
【题型十三】图像求区间值域与最值
【典例分析】
已知函数,现将的图象向右平移个单位,再将所得图象上各点的横坐标缩短为原来的倍,纵坐标不变,得到函数的图象,则在的值域为( )
A. B. C. D.
【答案】A
【分析】由函数,根据函数图象的平移变换与伸缩变换法则,可得到函数,由,可得到,利用正弦函数的单调性即可求出结果.
【详解】将函数的图象向右平移个单位,得到的图象,再将所得图象上各点的横坐标缩短为原来的倍,纵坐标不变,得到函数,
因为,所以,所以,
所以在上的值域为,故选:A.
【变式训练】
1.已知在区间上的最大值为,则( )
A. B. C. D.
【答案】A
【分析】先求出,再根据解方程即可.
【详解】因为,即,
又,所以,所以,
所以,.故选:A.
2.已知函数的最小正周期为,则函数在区间上的最大值和最小值分别是( )
A.2和-2 B.2和0
C.2和-1 D.和
【答案】C
【分析】由最小正周期可求出的值,即可得函数的解析式,再利用已知条件中的取值范围,求出的最大值和最小值.
【详解】由题知,得,即函数,
又∵,∴,即,,
故函数的最大值为2,最小值为-1.故选:.
3.函数在上的值域为( )
A. B.
C. D.
【答案】C
【分析】根据正弦型函数的图像和单调性即可求解.
【详解】当时,,当时,即 时,取最大值1,当,即 时,取最小值大于 ,故值域为
故选:C
分阶培优练
培优第一阶——基础过关练
1.将函数的图象上所有点向右平移个单位长度,可得图象的函数解析为( )
A. B.
C. D.
【答案】B
【分析】根据平移过程写出解析式即可.
【详解】由题设,平移后的解析式为.
故选:B
2.要得到函数的图像,只需将函数的图像( )
A.向左平移个单位长度 B.向右平移个单位长度
C.向左平移个单位长度 D.向右平移个单位长度
【答案】A
【分析】根据函数图像的平移满足“左加右减,上加下减”进行求解即可.
【详解】将函数向左平移个单位长度可得
.
故选:A.
3.将函数的图象向左平移个单位后与的图象重合,则( )
A. B.
C. D.
【答案】C
【分析】利用三角函数的图象变换可求得函数的解析式.
【详解】由已知可得.
故选:C.
4.将函数的图象上各点的横坐标伸长为原来的3倍,纵坐标保持不变,再将所得图象向右平移个单位,得到函数的图象,则的一个对称中心是( )
A. B. C. D.
【答案】B
【分析】先根据图象变换,求出变换后的函数解析式,然后根据解析式求解中心.
【详解】函数的图象上各点的横坐标伸长到原来的3倍得到图象的解析式为:,再向右平移个单位得到图象的解析式
当时,,所以是函数的一个对称中心.
故选:B.
5.函数的图象如图所示,现将的图象向右平移个单位长度,所得图象对应的函数解析式为( )
A. B. C. D.
【答案】D
【分析】根据图像求出正弦型函数基本量,再由通过平移得解.
【详解】由图可知,过点,解得,
将的图像向右平移个单位
得到.
故选:D.
6.已知函数的最小正周期为,则函数在区间上的最大值和最小值分别是( )
A.2和-2 B.2和0
C.2和-1 D.和
【答案】C
【分析】由最小正周期可求出的值,即可得函数的解析式,再利用已知条件中的取值范围,求出的最大值和最小值.
【详解】由题知,得,即函数,
又∵,∴,即,
,
故函数的最大值为2,最小值为-1.
故选:.
7.为了得到函数的图像,只需把函数图像上所有点( )
A.向左平行移动个单位长度,再把所得各点的横坐标缩短到原来的
B.向左平行移动个单位长度,再把所得各点的横坐标伸长到原来的2倍
C.向左平行移动个单位长度,再把所得各点的横坐标缩短到原来的
D.向右平行移动个单位长度,再把所得各点的横坐标缩短到原来的
【答案】A
【分析】利用三角函数图象变换规律求解即可
【详解】将向左平移长度单位,得到,再把所得的各点的横坐标缩短到原来的,可得的图象,
故选:A
8.已知曲线,曲线的部分图象如图所示,则下列结论正确的是( )
A.将曲线先向右平移个单位长度,再将各点的横坐标伸长为原来的2倍得到
B.将曲线先向右平移个单位长度,再将各点的横坐标伸长为原来的倍得到
C.将曲线先向右平移个单位长度,再将各点的横坐标伸长为原来的2倍得
D.将曲线先向右平移个单位长度,再将各点的横坐标伸长为原来的倍得到
【答案】A
【分析】先求对应的函数解析式,从而可得两者之间的变化过程.
【详解】因为图象过,故,而,故,
又图象在轴右侧的第一个对称中心为,故,
故,故.
将变化为, 可先把向右平移个单位,得到的图象对应的函数为,
然后,纵坐标不变,横坐标扩大为原来的2倍,则可得,
故选:A.
9.已知函数,下列说法错误的是( )
A.的图象的一个对称中心为
B.的图象的一条对称轴为直线
C.在上单调递增
D.函数的图象向左平移个单位长度后得到的是一个奇函数的图象
【答案】A
【分析】代入法验证A、B的正误;应用整体法求的递增区间判断C;根据图象平移及正弦函数的性质判断D.
【详解】对A:
∵,
∴不是的图象的对称中心,A错误;
对B:
∵为最小值,
∴直线是的图象的对称轴,B正确;
对C:
令,则,
故的单调递增区间为,
当时,在上单调递增,C正确;
对D:
函数的图象向左平移个单位长度后得到,是奇函数,D正确;
故选:A.
10.将函数的图象向右平移个单位长度,则平移后的图象中与y轴最近的对称中心的坐标是( )
A. B. C. D.
【答案】A
【分析】函数的图象向右平移个单位长度,得到,再利用三角函数的图象的对称性,可得答案.
【详解】函数的图象向右平移个单位长度,
所得函数图象的解析式为,
令,得.
令k=0,则,
即平移后的图象中与y轴最近的对称中心的坐标是.
故选:A
培优第二阶——能力提升练
1.把函数 y=cos 的图象适当变换就可以得到y=sin(-3x)的图象,这种变换可以是( )
A.向右平移个单位长度
B.向左平移个单位长度
C.向右平移个单位长度
D.向左平移个单位长度
【答案】D
【分析】根据图象变换的规则及三角公式先将变成,再提取系数3,由平移的规则研究即可.
【详解】,
函数的图象向左平移可以得到的图象
故选:D.
2.将函数的图象向左平移个单位长度后,得到函数的图象,则等于( )
A. B. C. D.
【答案】B
【分析】向左平移得到,化简即得解.
【详解】解:将函数的图象向左平移个单位长度得到,
又所以.
故选:B
3.已知函数(,,)的部分图象如图所示,将图象上的所有点向左平移()个单位长度,所得图象关于直线对称,则的最小值为( ).
A. B. C. D.
【答案】C
【分析】根据图象可得的周期,振幅和过,即可求出其解析式,然后可得平移后的解析式,然后根据对称性求出答案即可.
【详解】设的最小正周期为,由图知,,
∴,∴,∴,
将代入,得,又,∴,∴,
将的图象向左平移,所得函数的解析式为:
,
∵的图象关于直线对称,∴(),
∴(),∵,∴的最小值为,
故选:C.
4.若,对任意实数,都有,记,则的值为( )
A.0 B.-1 C. D.
【答案】A
【分析】先根据条件得到函数的对称轴,从而有或1,因此可得,从而获解.
【详解】由,可知是的一条对称轴,
∴或1,
∴,∴.
故选:A.
5.将函数的图象向左平移个单位,然后纵坐标不变,横坐标变为原来的倍,得到的图象,下面所给四个结论中正确的是( )
A.函数在上的最大值为
B.将函数的图象向右平移个单位后得到的图象关于原点对称
C.点是函数图象的一个对称中心
D.函数在区间上为增函数
【答案】D
【分析】利用的图象变换规律求出的解析式,再利用正弦函数的图象和性质,即可得出结论.
【详解】由题意知,函数图象向左平移个单位,得,
再将横坐标变为原来的2倍,得.
A:由,得,此时在
上单调递减,所以.故A错误;
B:将图象向右平移个单位,得,
它不是奇函数,图象不关于原点对称.故B错误;
C:当时,,故点不是函数图象的一个对称中心,故C错误;
D:由,得,此时在上为增函数,故D正确.
故选:D
6.函数的图像与直线在区间上恰有三个交点,其横坐标分别为,,,则的取值范围为____________________
【答案】
【分析】根据上,求解的范围,结合三角函数的图象,即可求解的取值范围.
【详解】解:由题意上,那么上,
则当时,;当时,;当时,;
且
如下为函数在上的图象:
直线在与有三个交点,则,
不妨设,
根据三角函数的图象及性质,可得,关于直线对称,而,
那么,的取值范围.故选答案为:.
7.已知函数,下列说法中正确的有____________(写出相应的编号)
①:将图象向左平移个单位长度,得到的新函数为奇函数
②:函数在上的值域为
③:函数在上单调递减
④:,关于x的方程有两个不等实根,则
【答案】④
【分析】根据函数的平移变换可得解析式,结合诱导公式化简即可判断①;根据函数在区间内的单调性结合函数取值情况即可判断②,③,④.
【详解】解:将的图象向左平移个单位长度得函数,函数为偶函数,故①错误;
当,,,故②错误;
当,,则当时单调递减,当时单调递增,故③错误;
当,,则当时单调递增,当时单调递减,又,
关于x的方程有两个不等实根,则,故④正确.
故答案为:④.
8.如图是函数的部分图像,A是图像的一个最高点,D是图像与y轴的交点,B,C是图象与x轴的交点,且,的面积等于.则的解析式为__________.
【答案】
【分析】先由最大值得到,再由面积求得的长度,即半个周期,从而求得,再代入点求得,由此得到的解析式.
【详解】由图像可知,的最大值为,又,所以,
因为的面积等于,所以,则,
所以,即,得,又,故,
将代入,得,即,
因为,所以,
所以.
故答案为:.
9.已知函数的部分图象如图所示,将的图象向左平移个单位得到的图象,若不等式在,上恒成立,则的取值范围是 __.
【答案】
【分析】先根据图象的变换规律求出的解析式,进而求出在上的值域,再利用换元法,结合函数性质,求出最值解决问题.
【详解】解:依题意有,
,
所以,所以,
由图知,函数的最小正周期满足:,
所以,则,令得,
所以,
所以,
当时,,
故,所以,
令,
原不等式即化为在,上恒成立,
令,该二次函数开口向上,要使上式恒成立,只需:
,解得,
故的范围是.
故答案为:.
10.将函数的图象向左平移个单位长度,得到函数的图象,若,则的最小值是______.
【答案】
【分析】根据图象的平移得到,利用列方程,解方程得到,然后根据即可得到的最小值.
【详解】函数的图象向左平移t个单位长度,得到函数的图象,又,所以,解得,因为,所以当时,取最小值,.
故答案为:.
培优第三阶——培优拔尖练
1.已知函数的部分图像如图所示,则满足的最小正整数x的值为_______.
【答案】1
【分析】先根据图像求得,再解求得最小正整数x.
【详解】解:由题意得函数f(x)的最小正周期,
解得,所以.又,所以,
即,所以,解得.
由,得,所以,所以.
由,可得,则或,即或.① 由,可得,
解得,此时正整数x的最小值为2;② 由,
可得,解得,
此时正整数x的最小值为1.综上所述,满足条件的正整数x的最小值为1.故答案为:1.
2.已知函数f(x)=sin(2x+φ),其中φ为实数,若对x∈R恒成立,且,要得到函数y=cos2x的图象,需将函数y=f(x)的图象沿x轴平行,则最短的平移距离为_________个单位.
【答案】
【分析】先根据题意得出函数的对称轴,再利用函数的周期求出参数,最后再根据图象的平移求出结果即可.
【详解】由可得为函数的一条对称轴,
则函数的周期为,所以,,
所以也是函数的一条对称轴,
,,∴处取最大值
,∴,
向右平移个单位变为.此时平移距离最小.
故答案为:.
3.将函数()的图象向左平移个单位长度,得到曲线.若关于轴对称,则的最小值是______.
【答案】##0.5
【分析】先利用二倍角公式和辅助角公式对函数进行化简得,再利用图像得平移得到曲线对应得函数解析式为,根据关于轴对称,令,解出即可得到结果.
【详解】
设线所对应的函数为,则
,的图像关于轴对称,,,
解得:,,的最小值是.故答案为:.
4.将函数的图像先向右平移个单位,再将所得的图像上每个点的横坐标变为原来的倍,得到函数的图像,则的一个可能取值是______.
【答案】(答案不唯一)
【分析】根据辅助角公式,结合平移变换得,,进而可得答案.
【详解】解:函数的图像先向右平移个单位,得到的图像,
再将所得的图像上每个点的横坐标变为原来的倍,得到的图像,
所以,,解得,
所以,的一个可能取值为.故答案为:
5.若函数的图像向左平移个单位长度后所得函数图像关于对称,则的最小值为______.
【答案】
【分析】先求出平移后的解析式,得到对称轴方程,把代入即可求解.
【详解】将函数的图像向左平移个单位长度后,得到函数.
其对称轴:,代入,得,解得:.
因为,所以当时,.故答案为:.
6.已知函数图像的两条相邻对称轴之间的距离小于,且,则的最小值为___________.
【答案】13
【分析】先由对称轴间的距离确定了,再利用得到,依次利用诱导公式与基本关系式求得、、的关于表达式,求出的值,进而得到,即可得到结果.
【详解】,,
因为两条相邻对称轴之间的距离小于,即,故,所以,
因为在处取得最大值,所以,即,
所以,
所以,因为,所以,
即,
所以,
所以,
又,
解得,又,所以,所以,又,
所以,解得,又,所以的最小值为13.
故答案为:13.
7.已知函数,若且在区间上有最小值无最大值,则_______.
【答案】4或10##10或4
【分析】根据可求出f(x)的一条对称轴,根据该对称轴可求出ω的表达式和可能取值,结合y=sinx的图像,根据在区间上有最小值无最大值判断ω的取值范围,从而判断ω的取值.
【详解】∵f(x)满足,∴是f(x)的一条对称轴,
∴,∴,k∈Z,
∵ω>0,∴.
当时,,
y=sinx图像如图:
要使在区间上有最小值无最大值,则:
或,
此时ω=4或10满足条件;区间的长度为:,当时,f(x)最小正周期,则f(x)在既有最大值也有最小值,故不满足条件.
综上,ω=4或10.故答案为:4或10.
8.已知函数的部分图象如图所示,则满足条件的最小正偶数x为___________.
【答案】4
【分析】先根据图象求出函数的解析式,再求出的值,然后求解三角不等式可得最小正偶数.
【详解】由图可知,即,所以;
由五点法可得,即;
所以.
因为,;
所以由可得;
由,即,
∴或,
解得或,
令,可得或,
所以最小正偶数为4.
故答案为:4.
9.函数,已知且对于任意的都有,若在上单调,则的最大值为______.
【答案】5
【分析】根据已知条件,利用和建立起关于的等量关系,然后根据在上单调,卡出的范围,在前面的等量关系中选取合适的值即可.
【详解】因为函数,,
所以,
所以,,
因为于任意的都有,所以,
所以,
所以,
所以
或,
所以或,
即(舍去),所以,
因为,所以,即,
令,所以,在上单调,
所以,所以,而,
当,,所以,函数在不单调,舍去;
当,,舍去;
当,,所以,函数在不单调,舍去;
当,,所以,函数在单调,
所以的最大值为5.
故答案为:5.
10.已知直线与函数的图象相交,若自左至右的三个相邻交点,,满足,则实数______.
【答案】或##或
【分析】根据题意将条件转化为直线与函数的图象相交,由三角函数的周期性结合已知得出的长并用和的横坐标之差表示,再结合和的中点函数值取最值即可求解.
【详解】解:由题知,直线与与函数的图象相交
等价于直线与函数的图象相交设,,
所以,又由得:即化简得:①
由题知点和点的中点坐标为:当直线与函数的交点在轴上方,则即,化简得:②
由①②联立得:,所以即解得:
当直线与函数的交点在轴下方,则
即,化简得:③由①③联立得:,
所以即
解得:所以或故答案为:或.
【点睛】关键点睛:本题的关键是设坐标之后列方程求出或者的整体,进而求出,并且要讨论交点在正弦型函数的下半部分和上半部分的情况.
相关试卷
这是一份专题21 三角函数性质综合应用-2023-2024学年度高一数学热点题型归纳与分阶培优练(人教A版必修第一册),文件包含专题21三角函数性质综合应用-高一数学热点题型归纳与分阶培优练人教A版必修第一册解析版docx、专题21三角函数性质综合应用-高一数学热点题型归纳与分阶培优练人教A版必修第一册原卷版docx等2份试卷配套教学资源,其中试卷共49页, 欢迎下载使用。
这是一份专题15 对数函数性质综合应用-2023-2024学年度高一数学热点题型归纳与分阶培优练(人教A版必修第一册),文件包含专题15对数函数性质综合应用-高一数学热点题型归纳与分阶培优练人教A版必修第一册解析版docx、专题15对数函数性质综合应用-高一数学热点题型归纳与分阶培优练人教A版必修第一册原卷版docx等2份试卷配套教学资源,其中试卷共40页, 欢迎下载使用。
这是一份专题14 对数函数概念及图像应用归类-2023-2024学年度高一数学热点题型归纳与分阶培优练(人教A版必修第一册),文件包含专题14对数函数概念及图像应用归类高一数学热点题型归纳与分阶培优练人教A版必修第一册解析版docx、专题14对数函数概念及图像应用归类高一数学热点题型归纳与分阶培优练人教A版必修第一册原卷版docx等2份试卷配套教学资源,其中试卷共37页, 欢迎下载使用。

