


所属成套资源:新教材2023高中化学新人教版选择性必修3同步测试(30份)
新教材2023高中化学期末质量评估新人教版选择性必修3
展开
这是一份新教材2023高中化学期末质量评估新人教版选择性必修3,共11页。试卷主要包含了选择题,非选择题等内容,欢迎下载使用。
期末质量评估 (时间:75分钟 满分:100分)可能用到的相对原子质量:H-1 C-12 O-16一、选择题:本题共16小题,共44分。第1~10小题,每小题2分;第11~16小题,每小题4分。在每小题给出的四个选项中,只有一项是符合题目要求的。1.化学与生产生活密切相关,下列说法中错误的是 ( ) A.乙醇汽油可以减少尾气污染B.化妆品中添加甘油可以起到皮肤保湿作用C.有机高分子聚合物不能用作导电材料D.葡萄与浸泡过高锰酸钾溶液的硅藻土放在一起可以保鲜解析:乙醇汽油可有效降低氮氧化物等污染物的排放,减少尾气污染,A项正确;甘油有吸湿性,添加到化妆品中有保湿作用,B项正确;某些有机高分子聚合物可以用作导电材料,比如聚乙炔、聚苯胺等,故C项错误;葡萄在成熟过程中会释放出乙烯,高锰酸钾溶液可吸收乙烯,防止水果过度成熟或提早成熟,从而达到保鲜的目的,D项正确。答案:C2.可以准确判断有机化合物分子中含有哪些官能团的分析方法是( )A.核磁共振氢谱 B.质谱 C.红外光谱 D.紫外光谱解析:红外光谱法可判断有机化合物分子中含有哪些官能团。答案:C3.下列表述中错误的是( )A.植物油可发生催化加氢反应 B.氨基酸脱水缩合可形成多肽C.蔗糖和果糖均可水解为单糖 D.顺丁橡胶可被强氧化剂氧化解析:果糖属于单糖,不能水解。答案:C4.某烯烃分子的结构简式为,用系统命名法命名,其名称为( )A.2,2,4-三甲基-3-乙基-3-戊烯B.2,4,4-三甲基-3-乙基-2-戊烯 C.2,2,4-三甲基-3-乙基-2-戊烯D.2-甲基-3-叔丁基-2-戊烯解析:可将键线式转换为碳骨架形式,再选取含碳碳双键的最长碳链为主链,从靠近官能团的一端(即右端)编号,最后按命名规则正确书写名称。答案:B5.以淀粉为基本原料制备聚乙烯和乙酸。下列说法中正确的是 ( )A.淀粉和葡萄糖都是营养物质,均能在生物体内发生水解、氧化反应B.工业上以石油为原料制取聚乙烯,需经裂解、加聚等反应C.燃烧等物质的量的乙烯和乙醇,耗氧量不同D.乙醇与乙酸发生酯化反应制乙酸乙酯,原子利用率为100%解析:葡萄糖为单糖,不能在体内发生水解反应,A项错误;工业上以石油为原料制取聚乙烯,需经裂解产生乙烯,再发生加聚反应生成聚乙烯,B项正确;乙烯和乙醇各1 mol时,耗氧量均为3 mol,则燃烧等物质的量的乙烯和乙醇,耗氧量相同,C项错误;乙醇与乙酸发生酯化反应生成乙酸乙酯和水,原子利用率小于100%,D项错误。答案:B6.下列有关生物大分子的叙述中错误的是 ( )A.细胞内酶的合成都需要模板和能量B.多糖和核酸都由许多单体连接而成C.核酸只分布于细胞核中D.生物体内的糖类绝大多数以多糖的形式存在答案:C7.扑热息痛是一种优良的解热镇痛药,其结构简式为
,下列说法中不正确的是( )A.它能与烧碱溶液反应B.它能与溴水发生取代反应C.它不能被氧化剂氧化D.它遇FeCl3溶液发生显色反应解析:在此化合物中,含有酚羟基和肽键。酚羟基可与烧碱溶液反应,酚羟基的邻、对位上的氢原子可与溴水发生取代反应,酚羟基易被氧化,遇到FeCl3溶液发生显色反应。答案:C8.碳酸亚乙酯是一种重要的添加剂,其结构简式为
。用环氧乙烷合成碳酸亚乙酯的反应为
+CO2
。下列说法中错误的是( )A.上述反应属于加成反应B.碳酸亚乙酯的二氯代物只有两种C.碳酸亚乙酯分子中的所有原子处于同一平面内D.1 mol碳酸亚乙酯最多可消耗2 mol NaOH解析:根据分析两种物质变为一种物质,则上述反应属于加成反应,A项正确;碳酸亚乙酯的二氯代物有两种,一种为在同一个碳原子上,另一种是两个碳原子上各一个氯原子,B项正确;碳酸亚乙酯有亚甲基结构,所有原子不可能共平面,C项错误;1 mol碳酸亚乙酯相当于有2 mol酯基,因此最多可消耗2 mol NaOH,生成乙二醇和碳酸钠,D项正确。答案:C9.下列醇中既能发生消去反应,又能被氧化为酮的是 ( )①
②
③CH3OH ④
⑤
⑥
A.①④⑤ B.②④ C.②⑥ D.①③⑥解析:①与—OH所连碳的相邻碳原子上没有H原子,不能发生消去反应,且与—OH相连的C原子上有2个H原子,能氧化生成醛。②与—OH所连碳的相邻碳原子上有H原子,能发生消去反应,且与—OH相连的C原子上有1个H原子,能氧化生成酮。③没有邻位C原子,不能发生消去反应。④与—OH所连碳的相邻碳原子上有H原子,能发生消去反应,且与—OH相连的C原子上有2个H原子,能氧化生成醛。⑤与—OH所连碳的相邻碳原子上没有H原子,不能发生消去反应,且与—OH相连的C原子上有2个H原子,能氧化生成醛。⑥与—OH所连碳的相邻碳原子上有H原子,能发生消去反应,且与—OH相连的C原子上有1个H原子,能氧化生成酮。答案:C10.肉桂酸
是一种合成有机光电材料的中间体。下列关于肉桂酸的说法中正确的是( )A.分子式为C9H9O2B.不存在顺反异构C.可发生加成、取代、加聚反应D.与苯甲酸
互为同系物解析:肉桂酸
的分子式为C9H8O2,A项不正确;双键碳的每个碳上连有两个不同的原子或原子团,存在顺反异构,B项不正确;苯甲酸
分子中无碳碳双键,与肉桂酸
不是同系物,D项不正确。答案:C11.下列各组反应,属于同一反应类型的是 ( )A.由溴丙烷水解制丙醇,由丙烯与水反应制丙醇B.由甲苯硝化制对硝基甲苯,由甲苯氧化制苯甲酸C.由氯代环己烷消去制环己烯,由丙烯与溴制1,2-二溴丙烷D.由乙酸与乙醇制乙酸乙酯,由苯甲酸乙酯水解制苯甲酸和乙醇解析:溴丙烷水解制丙醇属于取代反应,丙烯与水反应制丙醇属于加成反应,A项错误;甲苯硝化制对硝基甲苯属于取代反应,由甲苯氧化制苯甲酸属于氧化反应,B项错误;氯代环己烷消去制环己烯属于消去反应,而丙烯与溴制1,2-二溴丙烷属于加成反应,C项错误;选项D中的两个反应均属于取代反应。答案:D12.下图所示物质是蜂胶里的活性成分,下列关于此物质的说法中正确的是 ( )
A.分子式为C17H14O4B.分子不存在顺反异构体 C.能使溴的四氯化碳溶液褪色D.1 mol该物质最多能与2 mol NaOH反应 解析:该物质的分子式是C17H16O4,存在顺反异构,酚羟基和酯基都能与NaOH反应,故1 mol该物质最多能与3 mol NaOH反应。答案:C13.用下列装置(夹持仪器已略去)进行相关实验,装置正确且能达到实验目的的是 ( )
ⅠⅡ
ⅢⅣA.图Ⅰ装置配制银氨溶液B.图Ⅱ装置分离苯萃取碘水后已分层的水层与有机层C.图Ⅲ装置进行石油的分馏D.图Ⅳ装置检验溴乙烷的消去反应产物中含有乙烯解析:向硝酸银溶液中滴加氨水制备银氨溶液,滴加氨水至生成的沉淀恰好溶解,A项错误;苯萃取碘水后,水在下层,则图中分层现象合理,B项正确;蒸馏时温度计测定馏分的温度,冷却水下进上出,图中温度计的水银球未在烧瓶的支管口处、冷水未下进上出,C项错误;乙醇易挥发,乙烯、乙醇均能使酸性高锰酸钾溶液褪色,则图中实验装置无法检验乙烯的生成,D项错误。答案:B14.萜类化合物广泛存在于动植物体内,下列关于萜类化合物的说法中正确的是 ( )
a b cA.a和b都属于芳香族化合物B.a和c分子中所有碳原子均处于同一平面上C.a、b和c均能使酸性KMnO4溶液褪色D.b和c均能与新制的Cu(OH)2反应生成砖红色沉淀解析:a中没有苯环,不属于芳香族化合物,A项错误;a、c分子中含有饱和碳原子,所有碳原子不可能共平面,B项错误;a中的碳碳双键、b中与苯环相连的甲基、c中的醛基均可以被酸性KMnO4溶液氧化,C项正确;与新制的Cu(OH)2反应的官能团为醛基,只有c可以与新制的Cu(OH)2反应,而b不能,D项错误。答案:C 某种抗 HIV 药物的结构简式如图所示。下列关于它的说法中错误的是 ( )
A.分子中有3个手性碳原子B.分子中有3种含氧官能团C.该物质既可发生消去反应又可发生加成反应D.1 mol 该物质与足量NaOH 溶液反应时消耗 1 mol NaOH解析:一个碳原子含有四个不同的原子或原子团,这样的碳原子叫手性碳原子,该物质分子中含有3个手性碳原子(如图所示),故A项正确;该物质有醚键、羟基、酯基三种含氧官能团,故B项正确;该物质中有碳碳双键和苯环结构,能发生加成反应,与羟基碳相邻的碳原子上有氢原子,能发生消去反应,故C项正确;1 mol 该物质最多可消耗 2 mol NaOH,故D项错误。
答案:D16.下列关于
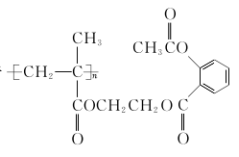
的说法中正确的是( )A.该物质可由n个单体分子通过缩聚反应生成B.0.1 mol该物质完全燃烧,生成33.6 L(标准状况)CO2C.该物质在酸性条件下水解产物之一乙二醇可作汽车发动机的抗冻剂D.1 mol该物质与足量NaOH溶液反应,最多可消耗3n mol NaOH解析:A项,该物质是由n个单体分子通过加聚反应生成的,错误;B项,0.1 mol该物质中含有1.5n mol碳原子,完全燃烧应生成33.6n L(标准状况)CO2,不正确;C项,该物质在酸性条件下水解生成的乙二醇,可作汽车发动机的抗冻剂,正确;D项,1 mol该物质与足量NaOH溶液反应,最多可消耗4n mol NaOH,不正确。答案:C二、非选择题:共56分。17.(14分)某吸水材料与聚酯纤维都是重要的化工原料。合成路线如图所示:
已知:①A由C、H、O三种元素组成,相对分子质量为32。②RCOOR'+R″OH
RCOOR″+R'OH(R、R'、R″代表烃基)。(1)A的结构简式是 。 (2)B中的官能团是 。 (3)D→E的反应类型是 。 (4)①乙酸与化合物M反应的化学方程式是______________________。 ②G→聚酯纤维的化学方程式是_________________________。 (5)E的名称是 。 解析:(1)由A的相对分子质量和组成可判断A为CH3OH。(2)由C的水解产物可推出C的结构,由此逆推出B的结构简式为
,B中含有碳碳双键和酯基。(3)由A为CH3OH可推出D为CH3Br,结合G的结构简式,可判断D→E的反应为在甲苯的对位引入甲基,由此可判断该反应为取代反应。(4)①比较CH3COOH和
的结构可得出,该反应为乙酸与乙炔发生加成反应得到
。②G为对苯二甲酸二甲酯,根据信息②可知,乙二醇与酯进行交换,可彼此连接得到高聚物。答案:(1)CH3OH (2)酯基、碳碳双键(3)取代反应 (4)①
②
n
+(2n-1)CH3OH (5)对二甲苯或(1,4-二甲苯)18.(14分)化合物G是某种低毒利尿药的主要成分。其合成路线如下(部分条件已省略),回答下列问题。
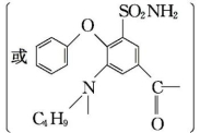
已知:
(1)A的化学名称为 。 (2)A→B的反应类型为 。 (3)F的结构简式为 。 (4)B→C的化学方程式为 。 (5)若G发生自身缩聚反应,其缩聚产物的链节结构为_____________(写一种)。 (6)C4H9OH的同分异构体中属于醇的有 种,其中核磁共振氢谱图中有四组峰的同分异构体的结构简式为 。 答案:(1)对氯苯甲酸 (2)取代反应(3)
(4)
+HNO3
+H2O (5)
(6)4
19.(12分)某研究小组以芳香族化合物A为起始原料,按下列路线合成高血压药物阿替洛尔。
已知:化合物H中除了苯环还有其他环;
RCOOR
RCONH2请回答下列问题。(1)下列说法中正确的是 (填字母)。 A.化合物D能发生加成、取代、氧化反应,不发生还原反应B.化合物E能与FeCl3溶液发生显色反应C.化合物I具有弱碱性D.阿替洛尔的分子式是C14H20N2O3(2)写出化合物E的结构简式: 。 (3)写出F+G→H的化学方程式: 。 答案:(1)BC (2)
(3)
+
+HCl20.(16分)(2021·广东卷)天然产物V具有抗疟活性,某研究小组以化合物Ⅰ为原料合成V及其衍生物Ⅵ的路线如下(部分反应条件省略,Ph表示-C6H5):
(1)化合物Ⅰ中含氧官能团有 (写名称)。 (2)反应①的方程式可表示为Ⅰ+Ⅱ
Ⅲ+Z,化合物Z的分子式为 。 (3)化合物Ⅳ能发生银镜反应,其结构简式为 。 (4)反应②③④中属于还原反应的有 ,属于加成反应的有 。 (5)化合物Ⅵ的芳香族同分异构体中,同时满足如下条件的有 种,写出其中任意一种的结构简式: 。 条件:(a)能与NaHCO3反应;(b)最多能与2倍物质的量的NaOH反应;(c)能与3倍物质的量的Na发生放出H2的反应;(d)核磁共振氢谱确定分子中有6个化学环境相同的氢原子;(e)不含手性碳原子(手性碳原子是指连有4个不同的原子或原子团的饱和碳原子)。(6) 根据上述信息,写出以苯酚的一种同系物及HOCH2CH2Cl为原料合成
的路线 (不需注明反应条件)。 解析:(1)由题可知,Ⅰ中的含氧官能团为(酚)羟基和醛基。(2) 由已知条件得Z是
,其中Ph即苯基,可知分子式为C18H15PO。(3)化合物Ⅳ能发生银镜反应,则其含有—CHO,由其分子式可知,其结构简式为
。(4)反应②过程中发生还原反应;反应③过程中发生氧化反应;反应②④过程中发生加成反应。 (5)依据题意,该有机物有一个羧基、一个酚羟基、一个醇羟基,还有两个处于相同化学环境的甲基,这两个甲基和一个醇羟基同时连在同一个碳原子上,苯环上连有三个不同取代基—COOH、—OH、
,故一共有10种。答案:(1)(酚)羟基、醛基 (2) C18H15PO (3)
(4)② ②④(5)10
相关试卷
这是一份人教版高中化学选择性必修3期末质量评估含答案,共22页。试卷主要包含了选择题,非选择题等内容,欢迎下载使用。
这是一份新教材2023高中化学期末质量评估新人教版必修第二册,共13页。试卷主要包含了5 Fe—56,下列关于药物的说法正确的是,下列说法中错误的是,下列说法中正确的是等内容,欢迎下载使用。
这是一份高中化学人教版 (2019)选择性必修3第一节 有机化合物的结构特点课后作业题,共10页。试卷主要包含了选择题,非选择题等内容,欢迎下载使用。