





广东省河源市河源中学等校2024届高三上学期开学联考数学试题zip
展开39,2020-2021学年下学期广东省河源市河源中学高二开学考试数学试卷(2月份): 这是一份39,2020-2021学年下学期广东省河源市河源中学高二开学考试数学试卷(2月份),共20页。试卷主要包含了单项选择题,填空题,解答题等内容,欢迎下载使用。
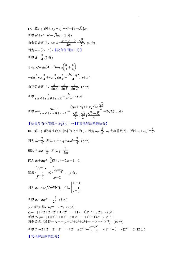
2024届广东省河源市河源中学等校高三上学期开学联考数学试题含答案: 这是一份2024届广东省河源市河源中学等校高三上学期开学联考数学试题含答案,共19页。试卷主要包含了单选题,多选题,填空题,解答题等内容,欢迎下载使用。
广东省河源市河源中学等校2024届高三上学期开学联考数学试题(附答案)): 这是一份广东省河源市河源中学等校2024届高三上学期开学联考数学试题(附答案)),文件包含广东省河源市河源中学等校2024届高三上学期开学联考数学试题pdf、2024届新高三开学联考数学评分细则pdf等2份试卷配套教学资源,其中试卷共22页, 欢迎下载使用。