重庆市长寿中学2022-2023学年高一数学上学期期末试题(Word版附解析)
展开重庆市长寿中学校2022-2023学年高一上·期末考试
数学试题
一.单选题(本大题共8小题,每小题5分,合计40分)
1. 已知全集,集合,,则( )
A. P B. M C. D.
【答案】A
【解析】
【分析】求出,从而得到.
【详解】,.
故选:A
2. 命题“”的否定是( )
A. B.
C. D.
【答案】C
【解析】
【分析】直接根据全称命题的否定是特称命题得到答案.
【详解】命题“”的否定是:.
故选:C
3. 荀子曰:“故不积跬步,无以至千里;不积小流,无以成江海.“这句来自先秦时期的名言.此名言中的“积跬步”是“至千里”的( )
A. 充分不必要条件 B. 必要不充分条件
C. 充要条件 D. 既不充分也不必要条件
【答案】B
【解析】
【分析】根据充分条件必要条件的定义即得.
【详解】由名言可得大意为如果不“积跬步”,便不能“至千里”,
荀子的名言表明积跬步未必能至千里,但要至千里必须积跬步,
所以“积跬步”是“至千里”的必要不充分条件.
故选:B.
4. 函数的图像恒过定点,点在幂函数的图像上,则( )
A. 16 B. 8 C. 4 D. 2
【答案】A
【解析】
【分析】利用恒等式可得定点P,代入幂函数可得解析式,然后可得.
详解】当时,,
所以函数的图像恒过定点
记,则有,解得
所以.
故选:A
5. 设,,,则( )
A. B. C. D.
【答案】D
【解析】
【分析】利用对数函数、指数函数的单调性确定的范围,进而比较大小可得答案.
【详解】因为在上单调递增,
所以,即;
因为在上单调递增,
所以,
因为在上单调递减,
所以,
所以.
故选:D.
6. 已知,则( )
A. B. C. D.
【答案】D
【解析】
【分析】利用三角函数的诱导公式求解.
【详解】解:,
,
则,
故选:D
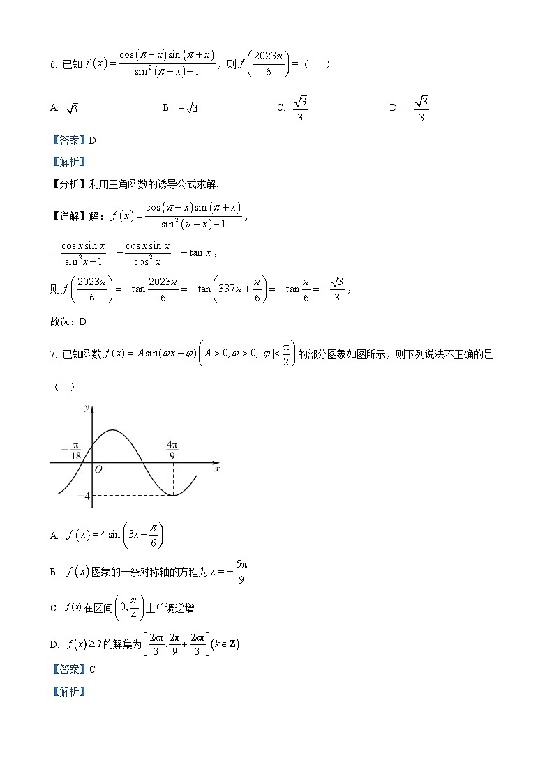
7. 已知函数的部分图象如图所示,则下列说法不正确的是( )
A.
B. 图象的一条对称轴的方程为
C. 在区间上单调递增
D. 的解集为
【答案】C
【解析】
【分析】由图象结合五点法求得函数解析式,然后根据正弦函数的性质判断各选项.
【详解】由题意,最小正周期为,∴,
又,,且,∴,
∴,故A正确;
,∴直线是图象的一条对称轴,故B正确;
时,,即时,取得最大值.
因此在区间上不单调,故C错;
由得,,
,故D正确.
故选:C.
8. 设函数,,若函数()恰有三个零点、、(),则的取值范围是( )
A. B. C. D.
【答案】B
【解析】
【分析】由的取值范围求出的取值范围,依题意可得与有三个交点,令,则,与有3个交点,,,画出的函数图象,结合函数图象及正弦函数的性质计算可得;
【详解】解:由,所以,
因为函数()恰有三个零点,即有三个解,
即与有三个交点,
令,则,与有3个交点,,,
不妨令,则,,,
由图可知、关于对称,所以,即,
,即,
可得的取值范围是,
故选:B
二.多选题(本大题共4小题,若全选对得5分,未选全得2分,选错得0分,本大题共20分)
9. 已知,现有下面四个命题中正确的是( )
A. 若,则 B. 若,则
C. 若,则 D. 若,则
【答案】AB
【解析】
【分析】当时,由可得,进而得,当时 ,利用指对互化及换底公式可得.
【详解】当时,由,可得,则,此时,所以A正确;
当时,由,可得,
则,所以B正确.
故选:AB.
【点睛】本题主要考查了指数与对数的运算性质,属于基础题.
10. 若正实数a,b满足,则下列选项中正确的是( )
A. 有最大值 B. 有最小值
C. 的最小值是10 D.
【答案】AD
【解析】
【分析】利用可判断A;利用可判断B;
展开后再利用基本不等式可判断C,由再利用指数函数的单调性可判断D.
【详解】对于A,∵,且,∴,当且仅当时取到等号,∴,∴有最大值,∴选项A正确;
对于B,,∴,
当且仅当时取到等号,∴B错误;
对于C,,
当且仅当即时取到等号,所以C不正确;
对于D,∵,∴,∴D正确.
故选:AD.
11. 已知,,则下列结论正确的是( )
A. B. C. D.
【答案】ABD
【解析】
【分析】考虑角 所在的象限,以及同角关系和题目所给的条件即可.
【详解】由 …①,以及 ,
对等式①两边取平方得 , …②,
,,由②, ,
由①② , 可以看作是一元二次方程 的两个根,
解得 , ,
故A正确,B正确,C错误,D正确;
故选:ABD.
12. 给出下列命题,其中正确的命题有( )
A. 若为第二象限的角,则为第三、四象限的角
B. 已知函数是定义在上的偶函数,当时,则的解析式为
C. 若,则的取值范围是
D. 若,则
【答案】BCD
【解析】
【分析】选项A,求出的取值范围,即可得到的取值范围,即可判断;
选项B,令,则,可得,即可得出的解析式,即可判断出正误;
选项C,分或两种情况讨论,结合对数函数的单调性,解出即可得出;
选项D,令,则函数在单调递减即可判断出.
【详解】对于A:因为为第二象限的角,所以,,
所以,,
则为第三、四象限的角或轴负半轴上,故A错误;
对于B:若,则,
则,
是偶函数,
,即,
所以,即的解析式为,故B正确;
对于C:若,则,
若,则,此时不成立,
若,则,此时,
即的取值范围是,故C正确;
对于D:若,则,
令,
则函数在单调递减,
则不等式等价为,
则,即,故D正确.
故选:BCD
三.填空题(本大题共4小题,每题5分,共20分)
13. 已知函数的定义域为,则的定义域为_________ .
【答案】
【解析】
【分析】先由题意求出函数的定义域为,再由求解,即可得出结果.
【详解】因为函数的定义域为,所以;
即函数的定义域为;
由解得,
因此的定义域为.
故答案为:
14. 某城市数,理,化竞赛时,高一某班有24名学生参加数学竞赛,28名学生参加物理竞赛,19名学生参加化学竞赛,其中参加数,理,化三科竞赛的有7名,只参加数,物两科的有5名,只参加物,化两科的有3名,只参加数,化两科的有4名.若该班学生共有48名,问没有参加任何一科竞赛的学生有__名.
【答案】3
【解析】
【分析】根据题意画出图形,根据图形求出单独参加数理化的人数,然后把单独参加数理化的人数和参加2门,3门竞赛的人数加在一起 ,即可得到竞赛的总人数,然后即可求出没有参加任何一科竞赛的学生人数.
【详解】画三个圆分别代表参加数学,物理,化学的人.
因为参加数,理,化三科竞赛的有7名,只参加数,物两科的有5名,只参加物,化两科的有3名,只参加数,化两科的有4名.分别填入图形中,
又因为有24名学生参加数学竞赛,28名学生参加物理竞赛,19名学生参加化学竞赛,
故单独参加数学的有8人,单独参加物理的有13人,单独参加化学的有5人,
故是参加竞赛的人数,所以没参加的人数为人.
故答案为:3.
15. 已知,则___________.
【答案】##-0.5
【解析】
【分析】根据给定条件,利用诱导公式及二倍角的余弦公式计算作答.
【详解】因,所以.
故答案为:
16. 已知,则的最小值是______.
【答案】
【解析】
分析】根据题意,得到,结合基本不等式,即可求解.
【详解】因为,则
,
当且仅当时,即时,等号成立,
所以的最小值是.
故答案为:.
四.解答题(本大题共6小题,第17题10分,其余每题各12分,合计70分)
17. 已知集合,.
(1)若,求;
(2)在①,②中任选一个,补充到横线上,并求解问题.
若______,求实数a的取值范围.
【答案】(1)
(2)条件选择见解析,
【解析】
【分析】(1)当时,集合,则可求出;
(2)任选一个条件都可得,讨论集合是否为空集,即可求出实数a的取值范围.
【小问1详解】
当时,集合,
又,
所以;
【小问2详解】
方案一 选择条件①.
由,得.
当时,,得,此时,符合题意;
当时,得,解得.
综上,实数a的取值范围是.
方案二 选择条件②.
由,得.
当时,,得,此时,符合题意.
当时,得,解得.
综上,实数a的取值范围是.
18. (1)计算:;
(2)若,求的值;
【答案】(1);(2)1
【解析】
【分析】(1)利用指数、对数的运算性质进行计算求解.
(2)利用把原式转化为齐次式,再对分子分母同时除以弦化切进行求解.
【详解】(1)
;
(2)
.
19. 已知函数
(1)求函数的定义域;
(2)判断函数的奇偶性,并给予证明;
(3)求不等式解集.
【答案】(1)
(2)奇函数,证明见解析
(3)
【解析】
【分析】(1)函数的定义域满足真数部分大于0,得到的取值范围;
(2)得到,然后判断与的关系,从而得到函数的奇偶性;
(3)根据题意得到关于的不等式,从而得到的解集.
【小问1详解】
由函数的定义域满足真数部分大于零,即解不等式,
解得,
函数的定义域为.
【小问2详解】
由第一问函数的定义域为,
,
所以函数为奇函数.
【小问3详解】
解不等式,
即,即,
从而有, 所以.
不等式的解集为
20. 已知函数
(1)求的最小正周期和单调递增区间;
(2)求在上的最值以及取得最值时对应x的值.
【答案】(1)最小正周期,单调递增区间为,
(2)时,时
【解析】
【分析】(1)利用三角恒等变换化简,再求最小正周期,结合正弦函数单调性可求单调递增区间;
(2)根据题意求得的范围,可求得值域.
【小问1详解】
∵
,
∴的最小正周期,
由,,
解得,,
的单调递增区间为,;
【小问2详解】
,
,,则,
,
当时可得,此时,
当时可得,此时.
21. 某火车站正在不断建设,目前车站准备在某仓库外,利用其一侧原有墙体,建造一间墙高为3米,底面积为12平方米,且背面靠墙的长方体形状的保管员室.由于此保管员室的后背靠墙,无须建造费用,因此甲工程队给出的报价为:屋子前面新建墙体的报价为每平方米400元,左右两面新建墙体报价为每平方米150元,屋顶和地面以及其他报价共计7200元.设屋子的左右两侧墙的长度均为x米().
(1)当左右两面墙的长度为多少时,甲工程队报价最低?
(2)现有乙工程队也参与此保管员室建造竞标,其给出的整体报价为元,若无论左右两面墙的长度为多少米,乙工程队都能竞标成功,试求a的取值范围.
【答案】(1)4米; (2).
【解析】
【分析】(1)由题意得出甲工程队报价元关于左右两侧墙的长度的函数,利用均值不等式求最小值即可;
(2)由题意得不等式恒成立,分离参数后,利用均值不等式求最小值即可得解.
【小问1详解】
因为屋子的左右两侧墙的长度均为米(),底面积为12平方米,
所以屋子的前面墙的长度均为米(),
设甲工程队报价为元,
所以(元),
因为,
当且仅当,即时等号成立,
所以当左右两面墙的长度为米时,甲工程队报价最低为元.
【小问2详解】
根据题意可知对任意的恒成立,
即对任意的恒成立,
所以对任意的恒成立,
因为,,
当且仅当,即时等号成立,
所以,
故当时,无论左右两面墙的长度为多少米,乙工程队都能竟标成功.
22. 已知函数是定义在上的奇函数.
(1)求实数的值;
(2)若,不等式对恒成立,求实数的取值范围;
(3)若,在上的最小值为,求实数的值;
【答案】(1);(2)或;(3).
【解析】
【分析】(1)利用奇函数定义得等式,对比系数可得解;
(2)由(1)得的范围,进一步判定为减函数,进而原不等式得以转化,不难求得的范围;
(3)由(1)求得,从而确定了,进而通过令换元把转化为二次函数,再分析其在,上的单调性即可得解.
【详解】(1)因为为奇函数,所以,解得:
(2)解得,又,所以;
任取,则,,
所以为减函数.
恒成立等价于恒成立
令,则,因为,那么
所以,解得或
(3)因为,所以,
令,因,所以
(i)当时,在上单调递增,
,解得,不合题意,舍去;
(ii)当时,,解得(负舍)
综上所述,.
【点睛】方法点睛:二次函数在区间上的最小值的讨论方法:(1) 当时,(2) 当时,(3) 时,.
重庆市长寿区八校2023-2024学年高一上学期1月期末联考数学试题(B)(Word版附解析): 这是一份重庆市长寿区八校2023-2024学年高一上学期1月期末联考数学试题(B)(Word版附解析),共18页。试卷主要包含了单选题,多选题,填空题,解答题等内容,欢迎下载使用。
重庆市长寿区八校2023-2024学年高一上学期1月期末联考数学试题(Word版附解析): 这是一份重庆市长寿区八校2023-2024学年高一上学期1月期末联考数学试题(Word版附解析),共11页。试卷主要包含了单选题,多选题,填空题,解答题等内容,欢迎下载使用。
重庆市长寿中学2022-2023学年高二数学上学期期末试题(Word版附解析): 这是一份重庆市长寿中学2022-2023学年高二数学上学期期末试题(Word版附解析),共20页。试卷主要包含了考试结束后,将答题卷交回, 已知点P是圆C, 已知点P是椭圆C, 下列说法中,正确的有, 已知直线,下列命题中正确的是等内容,欢迎下载使用。

