高中数学人教A版 (2019)必修 第一册3.1 函数的概念及其表示评课ppt课件
展开【课标要求】1.通过具体实例,了解简单的分段函数,并能简单应用.2.了解映射的概念.【核心扫描】1.分段函数的图象及求值.(重点)2.对映射概念的理解.(难点)3.通过分段函数的学习体会分类讨论的思想.
新知导学1.分段函数如果函数y=f(x),x∈A,根据自变量x在A中不同的取值范围,有着不同的 ,则称这样的函数为分段函数.温馨提示:分段函数的定义域是各段上“定义域”的并集,其值域是各段上“值域”的并集.
2.映射设A、B是两个 的集合,如果按某一个确定的对应关系f,使对于集合A中的任意一个元素x,在集合B中都有 的元素y与之对应,那么就称对应 为从集合A到集合B的一个映射.
互动探究探究点1 “分段函数是几个函数”这句话正确吗?提示 不正确,分段函数是一个函数,而非几个函数,只不过在定义域的不同子集上其解析式不同而已.探究点2 映射一定是函数吗?提示 映射是函数的推广,而函数是映射的特殊情况,函数是非空数集A到非空数集B的映射,对映射而言,A,B不一定是非空数集,所以映射不一定是函数,函数一定是映射.
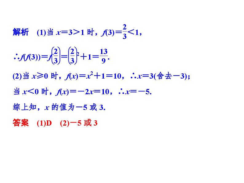
[规律方法] 1.分段函数求值,一定要注意所给自变量的值所在的范围,代入相应的解析式求得.若题目含有多层“f”,应按“由里到外”的顺序层层处理.2.如果所给变量范围不明确,计算时要采用分类讨论的思想.
[规律方法] 1.对含有绝对值的函数,要作出其图象,首先应根据绝对值的定义脱去绝对值符号,将函数转化为分段函数,然后分段作出函数的图象.
2.由于分段函数在定义域的不同区间内解析式不同,因此画图时要注意区间端点处对应点的实虚问题.3.根据分段函数的图象求解析式时,首先求出每一段的解析式,然后写成分段函数的形式.
[思路探索] 根据映射的定义,只要检验对A中的任何元素,按对应关系f,是否在B中都有唯一的元素与之对应.解 (1)A中元素3在对应关系f的作用下与3的差的绝对值为0,而0∉B,故不是映射.(2)因为一个圆有无数个内接矩形,即集合A中任何一个元素在集合B中有无数个元素与之对应,故不是映射.(3)对A中任何一个元素,按照对应关系f,在B中都有唯一的元素与之对应,符合映射定义,是映射.(4)是映射,因为A中每一个元素在f:x→y=x作用下对应的元素构成的集合C={y|0≤y≤1}⊆B,符合映射定义.
[规律方法] 判断对应f:A→B是否是A到B的映射,必须做到几点:(1)明确集合A,B中的元素.(2)根据映射定义判断A中每个元素是否在B中能找到唯一确定的对应元素,可以“一对一”,也可以“多对一”,但“一对多”不是映射.
解 (1)对于集合A中任意一个非负数在集合B中都有唯一元素1与之对应,对于A中任意一个负数在集合B中都有唯一元素0与之对应,所以这个对应是映射.(2)集合A中的元素0在集合B中没有元素与之对应,故不是映射.(3)对于每一个矩形,它的面积是唯一确定的,所以f是从集合A到集合B的映射.
[正解] 当x≥0时,由x2-1=3,得x=2或x=-2(舍去);当x<0时,由2x+1=3,得x=1(舍去),故x=2.[防范措施] (1)分段函数是一个函数而不是几个函数,处理分段函数体现了数学的分类讨论思想,“分段求解”是解决分段函数问题的基本原则.(2)“对号入座”,根据自变量取值的范围,准确确定相应的对应关系,转化为一般函数在指定区间上的问题.不能准确理解分段函数的概念是导致出错的主要原因.
课堂达标1.下列对应不是映射的是 ( ).
解析 结合映射的定义可知A、B、C均满足M中任意一个数x,在N中有唯一确定的y与之对应,而D中元素1在N中有a,b两个元素与之对应,故不是映射.答案 D
2.函数y=|x|的图象是 ( ).
课堂小结1.对映射的定义,应注意以下几点:(1)集合A和B必须是非空集合,它们可以是数集、点集,也可以是其他集合.(2)映射是一种特殊的对应,对应关系可以用图示或文字描述的方法来表达.
高中数学人教A版 (2019)必修 第一册3.1 函数的概念及其表示图片ppt课件: 这是一份高中数学人教A版 (2019)必修 第一册3.1 函数的概念及其表示图片ppt课件,共40页。PPT课件主要包含了对应关系,任意一个,唯一确定,fA→B,答案B,解题过程,答案A,正解1等内容,欢迎下载使用。
人教A版 (2019)必修 第一册3.1 函数的概念及其表示多媒体教学课件ppt: 这是一份人教A版 (2019)必修 第一册3.1 函数的概念及其表示多媒体教学课件ppt,共31页。PPT课件主要包含了数学表达式等内容,欢迎下载使用。
人教A版 (2019)必修 第一册3.1 函数的概念及其表示图文ppt课件: 这是一份人教A版 (2019)必修 第一册3.1 函数的概念及其表示图文ppt课件,共32页。PPT课件主要包含了fxx∈A,定义域,对应关系等内容,欢迎下载使用。

