搜索
    上传资料 赚现金
    英语朗读宝

    2023赵礼显高三年级数学一轮暑假班笔记 试卷

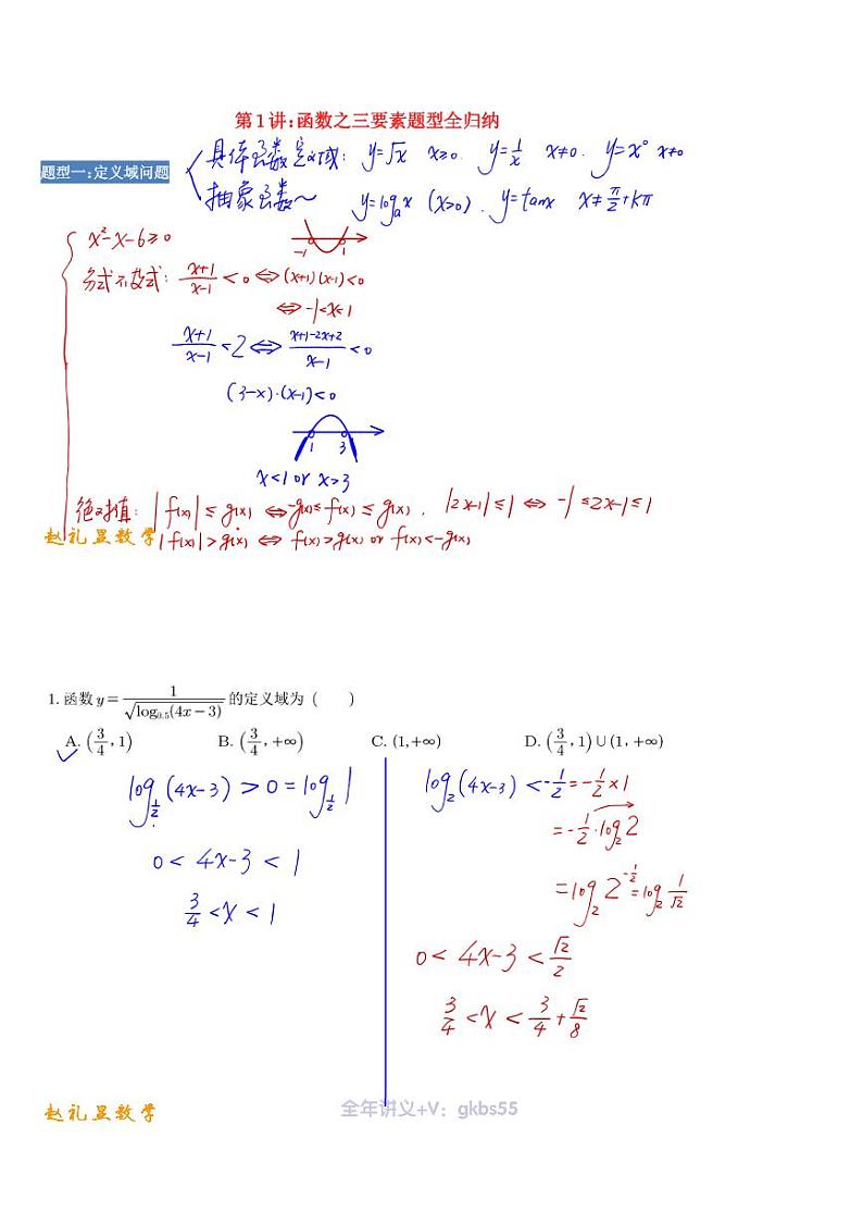
    2023赵礼显高三年级数学一轮暑假班笔记第1页
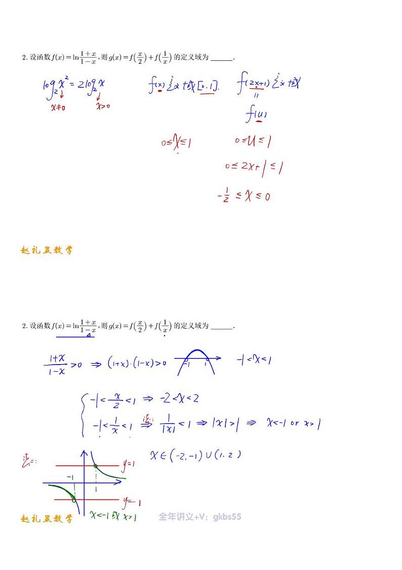
    2023赵礼显高三年级数学一轮暑假班笔记第2页
    2023赵礼显高三年级数学一轮暑假班笔记第3页
    还剩374页未读, 继续阅读
    下载需要5学贝 1学贝=0.1元
    使用下载券免费下载
    加入资料篮
    立即下载

    2023赵礼显高三年级数学一轮暑假班笔记

    展开

    这是一份2023赵礼显高三年级数学一轮暑假班笔记,共377页。

    相关试卷

    2023东霞老师高二数学暑假笔记:

    这是一份2023东霞老师高二数学暑假笔记,共1页。

    高三数学一轮复习笔记深挖教材笔记赵礼显合并单页版:

    这是一份高三数学一轮复习笔记深挖教材笔记赵礼显合并单页版,共102页。

    赵礼显高考数学考前知识点梳理:

    这是一份赵礼显高考数学考前知识点梳理,共24页。

    欢迎来到教习网
    • 900万优选资源,让备课更轻松
    • 600万优选试题,支持自由组卷
    • 高质量可编辑,日均更新2000+
    • 百万教师选择,专业更值得信赖
    微信扫码注册
    qrcode
    二维码已过期
    刷新

    微信扫码,快速注册

    手机号注册
    手机号码

    手机号格式错误

    手机验证码 获取验证码

    手机验证码已经成功发送,5分钟内有效

    设置密码

    6-20个字符,数字、字母或符号

    注册即视为同意教习网「注册协议」「隐私条款」
    QQ注册
    手机号注册
    微信注册

    注册成功

    返回
    顶部
    Baidu
    map