适用于新教材2024版高考化学一轮总复习第九章课时规范练48有机化合物的空间结构同系物和同分异构体鲁科版
展开课时规范练48
一、选择题:每小题只有1个选项符合题意。
1.下列化合物中,核磁共振氢谱只出现两组峰且峰面积之比为3∶2的是( )
A.
B.
C.
D.
答案D
解析分析有机物分子结构对称性,核磁共振氢谱只出现两组峰且峰面积之比为3∶2,说明分子结构对称,只有两种氢原子,且氢原子个数之比为3∶2。
2.(经典考题)下列各组化合物中不互为同分异构体的是( )

答案B
解析A项两种有机物分子式均为C6H6,二者分子结构不同,互为同分异构体;B项前者分子式为C14H24,后者分子式为C13H22,二者分子式不同,不互为同分异构体;C项两种有机物分子式均为C3H6O2,所含官能团不同,互为官能团异构;D项两种有机物分子式均为C4H8,前者含碳碳双键,后者属于环烷烃,二者互为同分异构体。
3.某有机化合物的球棍模型如图所示,下列有关该有机化合物的说法不正确的是( )

A.分子式为C4H10
B.一氯代物有4种不同结构
C.含有极性键和非极性键
D.与CH3CH2CH2CH3互为同分异构体
答案B
解析由该有机物的球棍模型可知,该有机物的分子式为C4H10,A正确;该有机物有2种不同氢原子,故其一氯代物有2种,B错误;含有极性键(C—H键)和非极性键(C—C键),C正确;与CH3CH2CH2CH3的分子式相同,结构不同,互为同分异构体,D正确。
4.(2023安徽蚌埠模拟)2021年诺贝尔化学奖用于表彰科学家在不对称有机催化领域作出的杰出贡献。有机催化研究中制得的一种有机物结构简式如图所示。已知:连有4个不同原子或原子团的碳原子为不对称碳原子。下列有关该物质的说法正确的是( )

A.属于苯的同系物
B.该分子具有手性,1个分子中存在2个不对称碳原子
C.能发生加成反应、取代反应和氧化反应
D.苯环上的一溴代物有4种
答案C
解析该有机物中含有羟基、硝基、酮羰基,所以和苯结构不相似,不属于苯的同系物,A错误;连接4个不同的原子或原子团的碳原子为不对称碳原子:
,1个分子中只有1个不对称碳原子,B错误;该分子中含有苯环,可与氢气发生加成反应,含有羟基,可与羧酸发生取代反应,连接羟基上的碳上有H原子,可发生氧化反应,C正确;苯环关于轴对称:
苯环上有2种氢原子,故苯环上的一溴代物有2种,D错误。
5.(2023湖南怀化模拟)已知a、b、c三种有机化合物的结构简式如图所示:
(a)、
(b)、
(c)。下列说法不正确的是( )
A.a、b、c互为同分异构体
B.a、b、c分子中碳原子杂化方式均有2种
C.a、b、c的一氯代物均有3种
D.a、b、c中只有a分子的所有碳原子处于同一平面内
答案C
解析由结构简式可知,a、b、c的分子式均为C7H8,三者的分子结构不同,互为同分异构体,A正确;苯环上的碳原子及双键上的碳原子均采取sp2杂化,饱和碳原子采取sp3杂化,B正确;a分子苯环上有3种氢原子,甲基上1种氢原子,故其一氯代物有4种,C错误;a分子含有苯环,苯是平面形结构,直接与苯环相连的碳原子在苯环所在平面内,故a中所有碳原子共平面,b、c分子中两个环状结构均通过饱和碳原子连接,所有碳原子一定不共平面,D正确。
6.有机化合物(a)
,(b)
,
(c)
,(d)
,下列说法不正确的是( )
A.a、b、c、d互为同分异构体
B.除a外均可发生加成反应
C.c中所有原子不可能处于同一平面
D.一氯代物同分异构体最多的是c
答案C
解析由四种有机物的结构简式可知,其分子式均为C8H8,其分子结构不同,互为同分异构体,A正确;b、c、d分子均含有不饱和键,均能与H2发生加成反应,B正确;c分子含有苯环和乙烯基,二者均为平面形结构,通过碳碳单键相连,由于单键可以旋转,故分子中所有原子可能处于同一平面内,C错误;a、b、c、d分子中氢原子种类分别为1种、2种、5种、1种,则一氯代物同分异构体最多的是c,D正确。
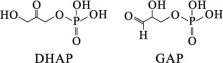
7.我国科学家在世界上首次实现由二氧化碳人工合成淀粉,DHAP和GAP这两种磷酸酯都是中间产物,其结构简式如下图所示。下列说法错误的是( )

A.二者均能发生水解反应
B.二者被氢气还原的生成物相同
C.二者互为同分异构体
D.二者分子中都含有不对称碳原子
答案D
解析由题干信息中DHAP和GAP的结构简式可知,分子中均含有磷酸酯基,故二者均能发生水解反应,A正确;DHAP中含有酮羰基,GAP中含有醛基均能够加氢发生还原反应生成
,故二者被氢气还原的生成物相同,B正确;由DHAP和GAP的结构简式可知,二者互为同分异构体,C正确;不对称碳原子是指同时连有4个互不相同的原子或原子团的碳原子,故DHAP中不含有不对称碳原子,而GAP中含有不对称碳原子:
,D错误。
8.(2023山东枣庄模拟)吗替麦考酚酯主要用于预防同种肾移植病人的排斥反应及治疗难治性排斥反应,其结构简式如图所示。下列说法错误的是( )

A.该分子中碳原子的杂化方式只有sp2、sp3 2种
B.与足量的H2发生加成反应,所得产物中有7个不对称碳原子
C.可以发生取代反应、加聚反应、显色反应
D.1 mol吗替麦考酚酯最多消耗1 mol碳酸氢钠
答案D
解析该分子中碳原子的杂化方式只有sp2、sp32种,苯环上的C和形成双键的碳原子为sp2杂化,其余的C为sp3杂化,A正确;与足量的H2发生加成反应,所得产物中有7个不对称碳原子:
,B正确;含有酯基可以发生取代反应,含有碳碳双键可以发生加聚反应,含有酚羟基可以发生显色反应,C正确;能与NaHCO3反应的有机物中的官能团只有羧基,故不消耗NaHCO3,D错误。
二、非选择题
9.D(
)的同分异构体中,同时满足下列条件,核磁共振氢谱峰面积之比为3∶2∶2∶2∶1的结构简式为 。
①苯环上有4个取代基;
②能发生水解反应和银镜反应;
③1 mol物质与足量NaOH溶液反应消耗4 mol NaOH。
答案
、
解析D为
,同分异构体同时满足下列条件:①苯环上有4个取代基;②能发生水解反应和银镜反应则含有酯基和醛基或HCOO—结构;③1mol物质与足量NaOH溶液反应消耗4molNaOH,只有4个O原子,故可能存在的酯基是酸与酚的酯化形成,核磁共振氢谱峰面积之比为3∶2∶2∶2∶1,符合条件的结构简式为
、
。
10.(1)(2021全国乙卷,36节选)C(结构简式为
)的同分异构体中,含有苯环并能发生银镜反应的化合物共有 种。
(2)F(结构简式为
)的同分异构体中,含有苯环、—NH2,且能发生银镜反应的有 种;其中核磁共振氢谱峰面积之比为2∶2∶2∶2∶1的同分异构体的结构简式为 。
(3)(2021山东卷,19节选)符合下列条件的A(结构简式为
)的同分异构体有 种。
①含有酚羟基 ②不能发生银镜反应 ③含有四种化学环境的氢原子
(4)(2021广东卷,21节选)化合物Ⅵ(结构简式为
)的芳香族同分异构体中,同时满足如下条件的有 种,写出其中任意一种的结构简式: 。
条件:a)能与NaHCO3反应;b)最多能与2倍物质的量的NaOH反应;c)能与3倍物质的量的Na发生放出H2的反应;d)核磁共振氢谱确定分子中有6个化学环境相同的氢原子;e)不含不对称碳原子(不对称碳原子指连有4个不同的原子或原子团的饱和碳原子)。
(5)(2021全国甲卷,36节选)化合物B(结构简式为
)的同分异构体中能同时满足下列条件的有 (填字母)。
a.含苯环的醛、酮
b.不含过氧键(—O—O—)
c.核磁共振氢谱显示四组峰,且峰面积比为3∶2∶2∶1
A.2个 B.3个
C.4个 D.5个
答案(1)10 (2)16
、
(3)4
(4)10
(合理即可)
(5)C
解析(1)C的结构简式为
,其同分异构体含苯环并能发生银镜反应,说明C的同分异构体分子中含有
、—Cl、—F三种官能团。
(编号为—F的可能位置,下同)有4种可能,
有4种可能,
有2种可能,故可能的结构共有4+4+2=10种。
(2)F的同分异构体中,含有苯环、—NH2,且能发生银镜反应,结构中含有醛基,可能的结构:如果苯环上含有两个取代基,一个为—CH2CHO,一个为—NH2,环上有邻、间、对3种结构;若苯环上有两个取代基,一个为—CHO,一个为—CH2NH2,环上有邻、间、对3种结构;若苯环上有一个—CH3、一个—CHO、一个—NH2,环上共有10种结构,所以共有16种;其中核磁共振氢谱峰面积之比为2∶2∶2∶2∶1的同分异构体的结构简式为
、
。
(3)A的同分异构体中满足:①含有酚羟基;②不能发生银镜反应,说明结构中不含醛基;③含有四种化学环境的氢原子,说明具有对称结构,则满足条件的结构有:
、
、
、
共4种。
(4)化合物Ⅵ的分子式为C10H12O4,能与NaHCO3反应说明含有羧基;能与NaOH反应说明含有酚羟基或羧基或酯基,最多能与2倍物质的量的NaOH反应,说明除一个羧基外还可能含有酚羟基、羧基、酯基中的一个;能与Na反应的官能团为醇羟基、酚羟基、羧基,能与3倍物质的量的Na发生放出H2的反应,结合Ⅵ的分子式和对条件a)、b)的分析,该分子含有羧基、酚羟基和醇羟基;核磁共振氢谱确定分子中有6个化学环境相同的氢原子,说明含有两个甲基取代基,并且高度对称,据此可知共有三个取代基,分别是—OH、—COOH和
,则有10种同分异构体。
(5)化合物B为
,分子式为C8H8O3。根据条件a,可知其同分异构体为含有苯环的酮时含
结构,还有2个—OH,同时考虑符合b、c要求,则可能的结构有
和
;同理考虑当属于含有苯环的醛时,其可能的结构有
和
,故答案为C。
适用于新教材2024版高考化学一轮总复习第九章课时规范练48有机化合物的空间结构同系物和同分异构体新人教版: 这是一份适用于新教材2024版高考化学一轮总复习第九章课时规范练48有机化合物的空间结构同系物和同分异构体新人教版,共7页。试卷主要包含了选择题,非选择题等内容,欢迎下载使用。
适用于新教材2024版高考化学一轮总复习第五章课时规范练26分子的空间结构鲁科版: 这是一份适用于新教材2024版高考化学一轮总复习第五章课时规范练26分子的空间结构鲁科版,共5页。试卷主要包含了选择题,非选择题等内容,欢迎下载使用。
适用于新教材2024版高考化学一轮总复习第九章课时规范练51酚醛和酮鲁科版: 这是一份适用于新教材2024版高考化学一轮总复习第九章课时规范练51酚醛和酮鲁科版,共6页。试卷主要包含了选择题,非选择题等内容,欢迎下载使用。

