2022高考数学选填经典题型汇编 题型25 奔驰定理与三角形的四心
展开
这是一份2022高考数学选填经典题型汇编 题型25 奔驰定理与三角形的四心,共10页。
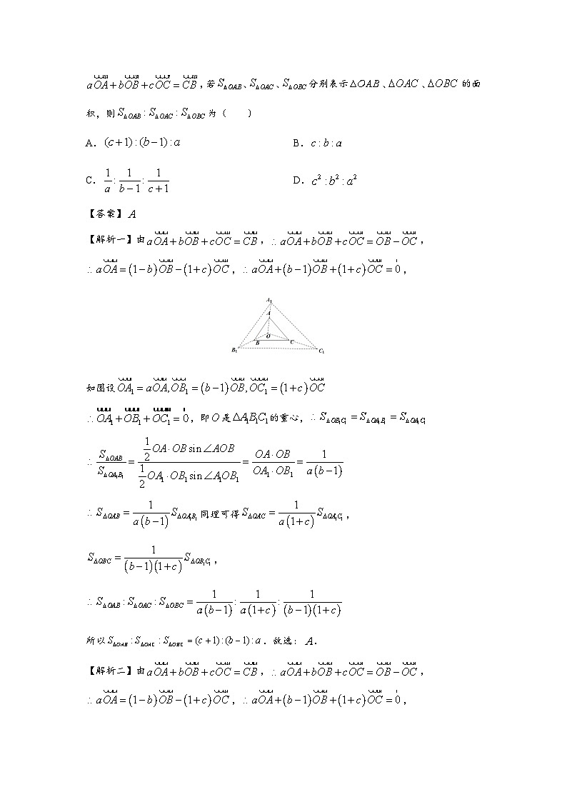
题型25 奔驰定理与三角形的四心【方法点拨】奔驰定理:设是内一点,的面积分别记作则. 说明:本定理图形酷似奔驰的车标而得名.奔驰定理在三角形四心中的具体形式:(1)是的重心.(2)是的内心.(3)是的外心.(4)是的垂心.3.奔驰定理是三角形四心向量式的完美统一.4.奔驰定理对于利用平面向量解决平面几何问题,尤其是解决跟三角形的面积和“四心”相关的问题,有着决定性的基石作用.【典型例题】例1 为三角形内部一点,、、均为大于1的正实数,且满足,若、、分别表示、、的面积,则为( )A. B. C. D.【答案】【解析一】由,,,, 如图设,即是的重心,同理可得,,所以.故选:.【解析二】由,,,,由奔驰定理得:.故选:.例2 在△ABC中,角A,B,C所对的边为a,b,c,a=b=4,c=6,I是△ABC中内切圆的圆心,若,则.【答案】【解析一】(向量的线性表示、数量积、三角形内切圆半径求法)易求得,而,所以另一方面,对上式两边同时作数量积得:,易知,,所以,所以.【解析二】(奔驰定理)联想到奔驰定理,将转化为整理为:由奔驰定理得解之得.点评: 解法一中的很多知识点并不为学生所熟悉,解决起来有较大难度,而解法二直接使用奔驰定理十分简洁.例3 已知是的重心,且满足,则 = .【答案】【分析】要牢记前面的系数之比为1:1:1,求得三内角的正弦比,再利用正、余弦定理求得.【解析】∵是的重心,∴∴∴由正弦定理,由余弦定理,∵,∴ .例4 设H是△ABC的垂心,若,则的值为( )A. B. C. D.【答案】D【解析】因为,由三角形垂心的向量定理得设,,由代入得,解之得所以又因为,所以.例5 已知点O为所在平面内一点,且,则下列选项正确的是( )A. B. 直线必过边中点C. D. 若,且,则【答案】ACD【解析】对于A,插入点A,,所以;对于B,若直线过边的中点,则,由上知,不成立;对于C,由奔驰定理知;对于D,由得,两边平方得.例6 在△ABC中,角A,B,C所对的边分别为a,b,c, ,若△ABC的外接圆的圆心为,且满足,则的值为 .【答案】【解析】∵∴,即∵,∴,∵,∴,对两边同时点乘得:∵,∴,即由正弦定理知∴.
【巩固练习】1.已知P是△ABC所在平面内一点,若·=·=·,则P是△ABC的( )A.外心 B.内心 C.重心 D.垂心2.已知O是平面上一定点,A,B,C是平面上不共线的三个点,动点P满足=+λ,λ∈R,则P点的轨迹一定经过△ABC的( )A.外心 B.内心 C.重心 D.垂心3.点P在△ABC内部,满足+2+3=0,则S△ABC∶S△APC为( )A.2∶1 B.3∶2 C.3∶1 D.5∶34.点O为△ABC内一点,若S△AOB∶S△BOC∶S△AOC=4∶3∶2,设=λ+μ,则实数λ和μ的值分别为( )A., B., C., D.,5.设O是△ABC的内心,AB=c,AC=b,BC=a,若则( )A. B. C. D.6.已知O为正内的一点,且满足,若的面积与的面积的比值为3,则的值为( )A. B. C.2 D.37.在△ABC中,角A,B,C所对的边为a,b,c,a=5,b=12,c=13,I是△ABC内切圆的圆心,若,则=________.8.在△ABC中,AB=3,BC=4,AC=5, I是△ABC内切圆的圆心,若,则=________.9.已知是锐角的外接圆圆心,,则实数的值为__________.10.已知是所在平面内一点,且满足,则= . 【答案与提示】1.【答案】 D【解析】 由·=·,可得·(-)=0,即·=0,∴⊥,同理可证⊥,⊥.∴P是△ABC的垂心.2.【答案】C【解析】 设BC的中点为M,则=,则有=+λ,即=λ.∴P的轨迹一定通过△ABC的重心.3.【答案】 C【解析】 根据奔驰定理得,S△PBC∶S△PAC∶S△PAB=1∶2∶3.∴S△ABC∶S△APC=3∶1.4.【答案】 A【解析】 根据奔驰定理,得3+2+4=0,即3+2(+)+4(+)=0,整理得=+,故选A.5.【答案】A【分析】根据奔驰定理的内心恒等式,利用向量的线性运算可以求得.进而根据平面向量基本定理中的唯一性可得到的值,进而得解.【解析】O是△ABC的内心,AB=c,AC=b,BC=a则,所以,所以,所以.又,所以,,所以.6.【答案】C【解析】由奔驰定理得,解之得,选C.7.【答案】8.【答案】9.【答案】10.【答案】
相关试卷
这是一份2022高考数学选填经典题型汇编 题型23 极化恒等式,共10页。
这是一份2022高考数学选填经典题型汇编 题型15 跨阶同构,共8页。
这是一份2022高考数学选填经典题型汇编 题型46 数列奇偶项问题,共7页。

