2022高考数学选填经典题型汇编 题型52 二元权方和不等式
展开
这是一份2022高考数学选填经典题型汇编 题型52 二元权方和不等式,共5页。
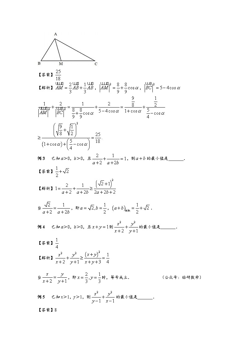
题型52 二元权方和不等式【方法点拨】已知,则有:(当且仅当时,等号成立).说明:1.上式其实即为二元变量的权方和不等式,用于“知和求和型”求最值,其实质就是“1”的代换.2. 设(),实数,则,其中等号当且仅当时成立.这称之为权方和不等式.我们称为该不等式的权,权方和不等式的特征是分子的幂指数比分母的幂指数高1次. 【典型题示例】例1 已知,,则的最小值为 .【答案】【分析】由知:,为保证分母和为定值,对所求作适当的变形,然后就可以使用权方和不等式了.【解析】(等号成立条件,略,下同).例2 如图,已知三角形 ABC 中,AB =1,AC = 2 ,若点 M 为线段 BC 的三等分点(靠近 B 点),则的最小值为 . 【答案】【解析】,,.例3 已知a>0,b>0,且,则的最小值是 .【答案】【解析】当,即,.例4 已知a>0,b>0,且则的最小值是 .【答案】【解析】当,即时,等号成立. (公众号:钻研数学)例5 已知x>1,y>1,则的最小值是 .【答案】8【解析】令当,即,两个等号同时成立.例6 已知a>0,b>0,且,则的最小值是 .【答案】【解析】当,即,.
【巩固训练】 1.已知x>1,y>1,xy=10,则的最小值是 .2. 已知正数满足,则的最小值为 .3. 已知,则的最小值为 .4.已知正实数x,y满足x+y=xy,则的最小值是 .
【答案与提示】1.【答案】9【解析】∵x>1,y>1,xy=10,∴,且 ∴,当且仅当时取“=”.2.【答案】【解析】当且仅当,等号成立.3.【答案】【解析】当且仅当时,等号成立.4.【答案】15【解析】x+y=xy可化为,.
相关试卷
这是一份2022高考数学选填经典题型汇编 题型13 二元不等式恒成立问题,共5页。
这是一份2022高考数学选填经典题型汇编 题型10 以分段函数为背景的解不等式,共6页。
这是一份2022高考数学选填经典题型汇编 题型51 多次使用基本不等式,共7页。

