专题01 三角函数的图象与性质- 2022届高考数学二模试题分类汇编(新高考卷)(解析版)
展开
这是一份专题01 三角函数的图象与性质- 2022届高考数学二模试题分类汇编(新高考卷)(解析版),共14页。
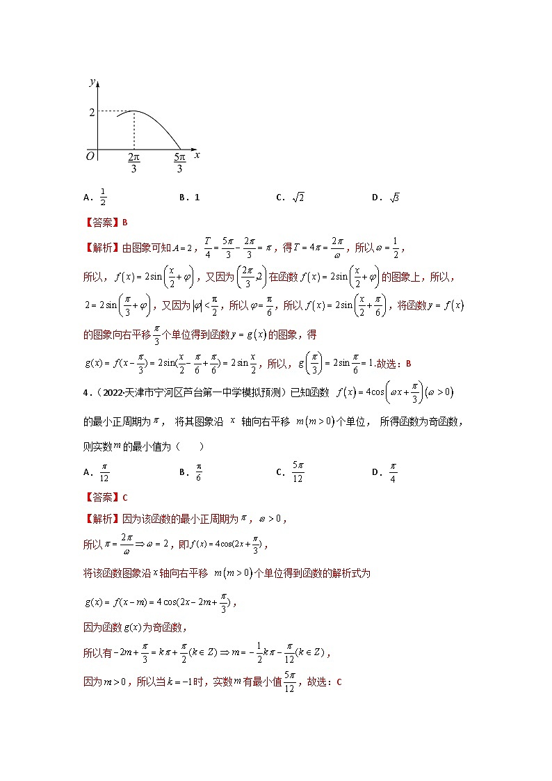
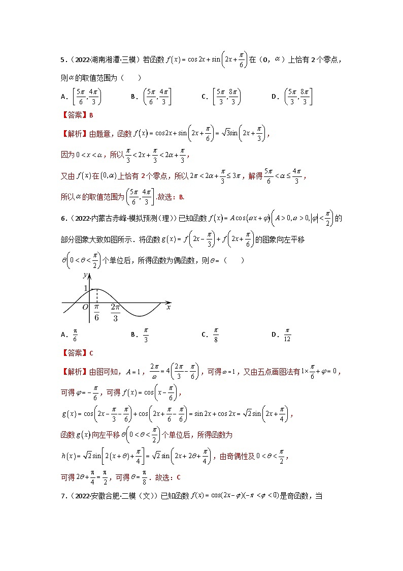
《专题1 三角函数的图象与性质- 2022届高考数学二模试题分类汇编(新高考卷)》1.(2022·广东深圳·二模)若是函数图象的对称轴,则的最小正周期的最大值是( )A. B. C. D.【答案】A【解析】依题意,解得,因为,所以且,所以的最小正周期,所以当时;故选:A2.(2022·天津市宁河区芦台第一中学模拟预测)函数 的图象的大致形状是( )A. B.C. D.【答案】D【解析】因为,所以该函数是奇函数,图象关于原点对称,故排除AC,当时,因为,所以,排除B,故选:D3.(2022·四川绵阳·三模)函数的部分图象如图所示,将函数的图象向右平移个单位得到函数的图象,则( )A. B.1 C. D.【答案】B【解析】由图象可知,,得,所以,所以,,又因为在函数的图象上,所以,,又因为,所以,所以,将函数的图象向右平移个单位得到函数的图象,得,所以,.故选:B4.(2022·天津市宁河区芦台第一中学模拟预测)已知函数 的最小正周期为, 将其图象沿 轴向右平移 个单位, 所得函数为奇函数, 则实数的最小值为( )A. B. C. D.【答案】C【解析】因为该函数的最小正周期为,,所以,即,将该函数图象沿轴向右平移 个单位得到函数的解析式为,因为函数为奇函数,所以有,因为,所以当时,实数有最小值,故选:C5.(2022·湖南湘潭·三模)若函数在(0,)上恰有2个零点,则的取值范围为( )A. B. C. D.【答案】B【解析】由题意,函数,因为,所以,又由在上恰有2个零点,所以,解得,所以的取值范围为.故选:B.6.(2022·内蒙古赤峰·模拟预测(理))已知函数的部分图象大致如图所示.将函数的图象向左平移个单位后,所得函数为偶函数,则( )A. B. C. D.【答案】C【解析】由图可知,,,可得,又由五点画图法有,可得,可得,,函数向左平移个单位后,所得函数为,由奇偶性及,可得,可得.故选:C7.(2022·安徽合肥·二模(文))已知函数是奇函数,当时,的值域为( )A. B.C. D.【答案】D【解析】因为函数是奇函数,可得,得,又,得,得,,得,所以,故选:D8.(2022·重庆·模拟预测)已知曲线:的部分图象如图所示,要得到曲线的图象,可将曲线的图象( )A.先向右平移个单位长度,再将各点的横坐标缩短到原来的倍,纵坐标不变B.先向右平移个单位长度,再将各点的横坐标伸长到原来的2倍,纵坐标不变C.先向左平移个单位长度,再将各点的横坐标缩短到原来的倍,纵坐标不变D.先向左平移个单位长度,再将各点的横坐标伸长到原来的2倍,纵坐标不变【答案】A【解析】因为函数过点,即,又,所以,即,又函数过点,根据五点作图法可知,解得,所以,由向右平移个单位长度得到,再将各点的横坐标缩短到原来的倍,纵坐标不变得到,即;故选:A9.(2022·吉林长春·三模)函数图象的一个对称中心为( )A. B.C. D.【答案】D【解析】由,可得当时,,当时,当时,,所以为的一个对称中心故选:D10.(2022·浙江绍兴·模拟预测)已知函数,则“”是“函数为奇函数”的( )A.充分不必要条件 B.必要不充分条件C.充分必要条件 D.既不充分也不必要条件【答案】A【解析】根据题意;先判断充分性,因为,所以,所以函数为奇函数,故充分性成立;再判断必要性,因为为奇函数,所以,因为,所以当时,解得,符合题意;当时,解得,符合题意,故必要性不成立.故选:A.11.(2022·陕西陕西·二模)已知函数,的最小正周期为,函数的图象关于直线对称,且满足函数在区间上单调递增,则( )A. B. C. D.【答案】A【解析】由于的最小正周期为,,所以,由于的图象关于直线对称,且满足函数在区间上单调递增,所以,,由于,所以.故选:A13.(2022·内蒙古呼和浩特·一模(理))如图是一大观览车的示意图,已知观览车轮半径为80米,观览车中心到地面的距离为82米,观览车每30分钟沿逆时针方向转动1圈.若是从距地面42米时开始计算时间时的初始位置,以观览车的圆心为坐标原点,过点的水平直线为x轴建立平面直角坐标系xOy.设从点运动到点P时所经过的时间为t(单位:分钟),且此时点P距离地面的高度为h(单位:米),则h是关于t的函数.当时关于的图象,下列说法正确的是( )A.对称中心为B.对称中心为C.对称轴为D.对称轴为【答案】B【解析】由题意得,而是以为始边, 为终边的角,由OP在内转过的角为,可知以为始边,为终边的角为,则点P的纵坐标为,所以P距地面的高度为,令,得,所以对称中心为,令,得,所以对称轴为,故选:B13.(多选)(2022·天津五十七中模拟预测)已知函数的图象向左平移个单位长度后得到函数的图象,关于函数,下列选项不正确的是( ).A.最小正周期为 B.C.是偶函数 D.当时取得最大值【答案】CD【解析】正确,错误的最小正周期正确当时,,解得所以当时,取得最大值,错误故选 :CD14.(多选)(2022·河北邯郸·一模)已知函数,则( )A.为周期函数 B.的图象关于轴对称C.的值域为 D.在上单调递增【答案】ACD【解析】由题意得:对于A选项:因为,所以是函数的一个周期,A正确;对于B选项:因为,则的图象关于原点对称,B错误;对于C选项:当,时,;当,时,.故函数的值域为,C正确;对于D选项:当时,,因为,所以在上单调递增,D正确.故选:ACD.15.(多选)(2022·山东菏泽·一模)已知函数的部分图像如图所示,若将函数的图像纵坐标不变,横坐标缩短到原来的,再向右平移个单位长度,得到函数的图像,则下列命题正确的是( )A.函数的解析式为B.函数的解析式为C.函数图像的一条对称轴是直线D.函数在区间上单调递增【答案】ABD【解析】由图可知,,,所以,解得,故.因为图像过点,所以,即.因为点位于单调增区间上,且,所以,故.故A项正确;若其纵坐标不变,横坐标缩短到原来的,所得到的函数解析式为,再向右平移个单位长度,所得到的函数解析式.故B项正确;当时,,即时,不取最值,故不是函数的一条对称轴,故C项错误;令,得,故函数的单调增区间是,当时,在区间上单调递增.所以D项正确.故选:ABD16.(多选)(2022·福建师大附中模拟预测)如图所示,函数,的部分图象与坐标轴分别交于点,,,且的面积为,以下结论正确的是( )A.点的纵坐标为B.是的一个单调递增区间C.对任意,点都是图象的对称中心D.的图象可由图象上各点的横坐标缩短为原来的倍,纵坐标不变,再把得到的图象向左平移个单位得到【答案】BC【解析】因为,所以最小正周期,即,又的面积为,所以,所以,即的纵坐标为,故A错误;因为,所以,所以,因为所以,所以,令,,解得,,所以函数的单调递增区间为,,故B正确;令,,解得,,所以函数的对称中心为,,故C正确;将图象上各点的横坐标缩短为原来的倍,得到,再将函数向左平移个单位,得到,故D错误;故选:BC17.(2022·江苏南通·模拟预测)已知,试写出一个满足条件①②③的__________.①: ②: ③【答案】(答案不唯一:)【解析】由②③得,所以,相减得,,结合①,取,则,只要为正整数都满足题意.故答案为:(答案不唯一).18.(2022·新疆乌鲁木齐·二模)已知函数,将函数的图象向左平移个单位,得到函数的图象,则在上的单调递减区间为___________;【答案】【解析】将函数的图象向左平移个单位,得,即,由得.故答案为:三、双空题18.(2022·浙江浙江·三模)已知函数的最小正周期为,则___________,当时,的取值范围是___________.【答案】 1 【解析】因为的最小正周期为,所以,所以所以当时,,所以故答案为:1;19.(2022·江苏江苏·一模)已知函数在一个周期内的图象如图所示,其中点P,Q分别是图象的最高点和最低点,点M是图象与x轴的交点,且.若,则__________.【答案】【解析】因为,所以,即,所以,解得,则,所以,则,所以或,则或,因为,所以,所以,,,,故答案为:
相关试卷
这是一份专题01 三角函数的图象与性质- 2022届高考数学二模试题分类汇编(新高考卷)(原卷版),共7页。
这是一份专题07 立体几何的向量方法- 2022届高考数学二模试题分类汇编(新高考卷)(解析版),共29页。
这是一份专题11 圆锥曲线的定义、方程与性质- 2022届高考数学二模试题分类汇编(新高考卷)(解析版),共14页。

