资料中包含下列文件,点击文件名可预览资料内容






还剩6页未读,
继续阅读
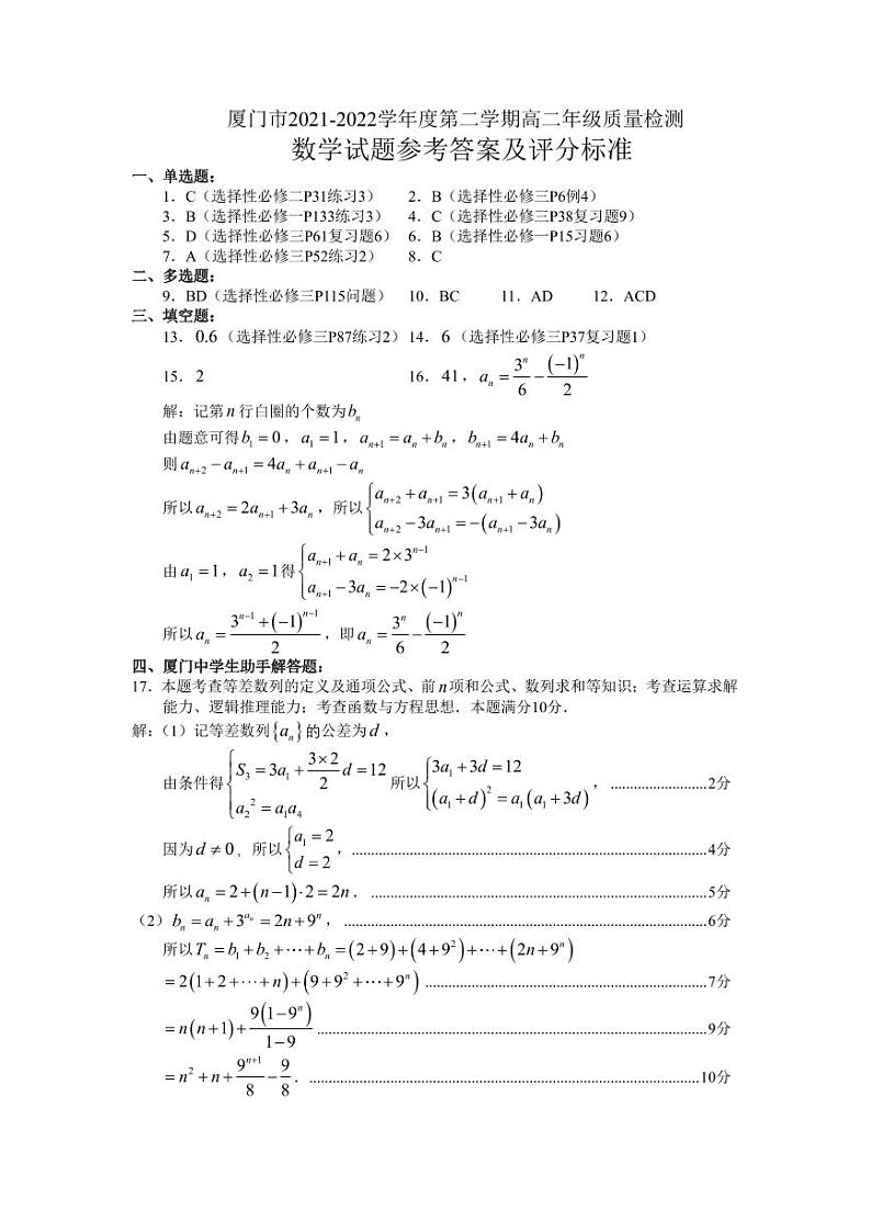
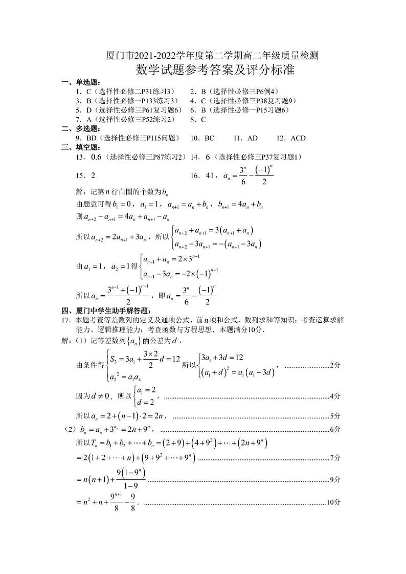
厦门市 2021-2022 学年度第二学期高二年级质量检测数学试卷及解析
展开
这是一份厦门市 2021-2022 学年度第二学期高二年级质量检测数学试卷及解析,文件包含厦门市2021-2022学年度第二学期高二年级质量检测数学试卷pdf、厦门市2021-2022学年度第二学期高二年级数学质量检测参考答案与评分标准pdf等2份试卷配套教学资源,其中试卷共15页, 欢迎下载使用。
相关试卷
福建省厦门市2023-2024高二上学期期末质量检测数学试卷及答案:
这是一份福建省厦门市2023-2024高二上学期期末质量检测数学试卷及答案,共12页。
厦门市2022—2023学年度第二学期高一年级质量检测数学试卷(答案):
这是一份厦门市2022—2023学年度第二学期高一年级质量检测数学试卷(答案),文件包含厦门市20222023学年度第二学期高一年级质量检测数学试卷答pdf、861571281812645厦门高一数学1pdf等2份试卷配套教学资源,其中试卷共12页, 欢迎下载使用。
厦门市2020-2021学年度高三年级第一次质量检测数学试卷 答案:
这是一份厦门市2020-2021学年度高三年级第一次质量检测数学试卷 答案,共6页。