所属成套资源:高一数学下学期期末专项复习学案+期末模拟卷(北师大2019版)
专题04 平面向量的垂直与平行——高一数学下学期期末专项复习学案+期末模拟卷(北师大2019版)
展开
这是一份专题04 平面向量的垂直与平行——高一数学下学期期末专项复习学案+期末模拟卷(北师大2019版),文件包含专题04平面向量的垂直与平行高一数学下学期期末专项复习学案+期末模拟卷北师大2019版解析版docx、专题04平面向量的垂直与平行高一数学下学期期末专项复习学案+期末模拟卷北师大2019版原卷版docx等2份学案配套教学资源,其中学案共10页, 欢迎下载使用。
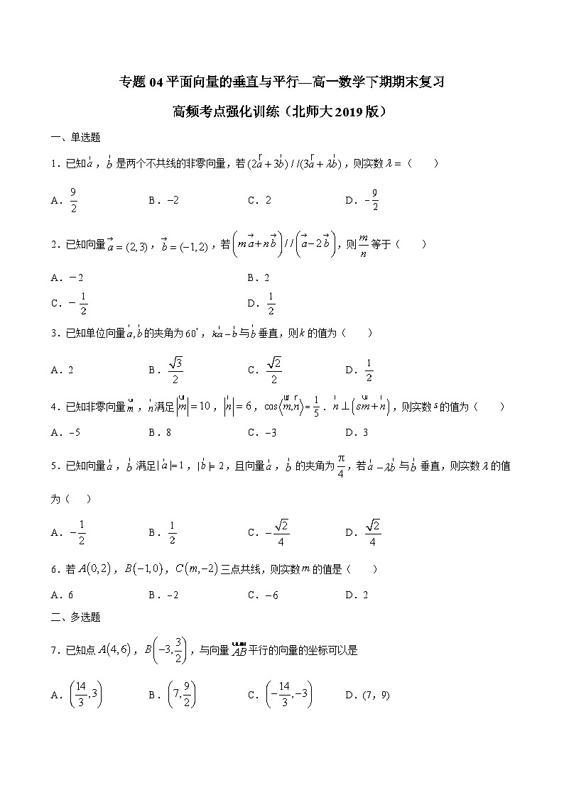
专题04平面向量的垂直与平行—高一数学下期期末复习高频考点强化训练(北师大2019版)一、单选题1.已知,是两个不共线的非零向量,若,则实数( )A. B. C. D.2.已知向量,,若,则等于( )A.-2 B.2C.- D.3.已知单位向量的夹角为,与垂直,则的值为( )A.2 B. C. D.4.已知非零向量,满足,,.,则实数的值为( )A. B.8 C. D.35.已知向量,满足,,且向量,的夹角为,若与垂直,则实数的值为( )A. B. C. D.6.若,,三点共线,则实数的值是( )A.6 B. C. D.2二、多选题7.已知点,,与向量平行的向量的坐标可以是A. B. C. D.(7,9)8.下列说法中正确的是( )A.B.若且//,则C.若,则D.若//,则有且只有一个实数,使得三、填空题9.已知向量,满足,,且,则实数λ的值是________.10.已知,若,则___________.四、解答题11.已知.(1)若与垂直时,求的值;(2)若与平行时,求的值.12.已知向量;(1)若3与共线,求m;(2)若,求||.13.已知:三点,其中.(1)若三点在同一条直线上,求的值;(2)当时,求.
相关学案
这是一份高一期末模拟测试卷04——高一数学下学期期末重难点专项复习学案+期末模拟卷(沪教版2020),文件包含高一期末模拟测试卷04解析版doc、高一期末模拟测试卷04原卷版doc等2份学案配套教学资源,其中学案共18页, 欢迎下载使用。
这是一份专题2.3平面向量(专题练习)——高一数学下学期期末重难点专项复习学案+期末模拟卷(沪教版2020),文件包含专题23平面向量专题练习解析版doc、专题23平面向量专题练习原卷版doc等2份学案配套教学资源,其中学案共16页, 欢迎下载使用。
这是一份专题1.3 平面向量(知识点清单)——高一数学下学期期末重难点专项复习学案+期末模拟卷(沪教版2020),文件包含专题13平面向量知识点清单解析版doc、专题13平面向量知识点清单原卷版doc等2份学案配套教学资源,其中学案共12页, 欢迎下载使用。

