高考数学一轮复习第3章第2节第5课时利用导数研究函数的零点问题课件
展开关键能力·研析考点强“四翼”
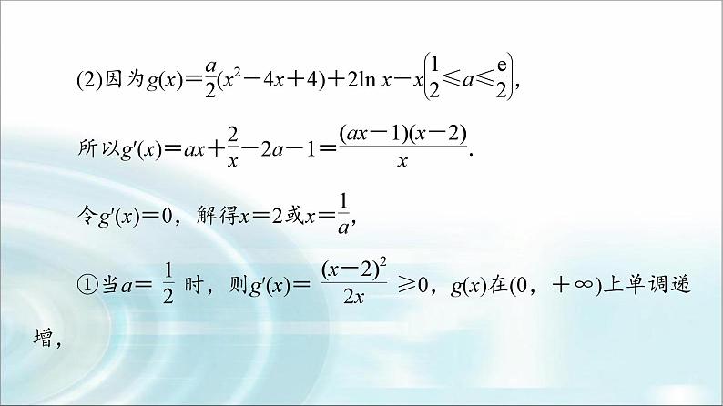
考点1 讨论函数的零点个数——综合性
考点2 由函数的零点个数求参数的范围——综合性
考点3 函数极值点的偏移问题——综合性
拓展考点 隐零点求解问题
一题N解·深化综合提“素养”
2024版高考数学一轮总复习第3章导数及其应用第2节导数的应用第5课时利用导数研究函数的零点问题课件: 这是一份2024版高考数学一轮总复习第3章导数及其应用第2节导数的应用第5课时利用导数研究函数的零点问题课件,共60页。
新高考数学一轮复习课件 第3章 §3.7 利用导数研究函数零点: 这是一份新高考数学一轮复习课件 第3章 §3.7 利用导数研究函数零点,共60页。PPT课件主要包含了第三章,由题意知,令f′x0,又g1=0,当a=1时,课时精练,∴a=1b=3e等内容,欢迎下载使用。
高考数学(理)一轮复习课件+讲义 第3章 第2讲 第5课时 利用导数探究函数的零点问题: 这是一份高考数学(理)一轮复习课件+讲义 第3章 第2讲 第5课时 利用导数探究函数的零点问题,文件包含高考数学理一轮复习课件第3章第2讲第5课时利用导数探究函数的零点问题pptx、高考数学理一轮复习讲义第3章第2讲第5课时利用导数探究函数的零点问题doc等2份课件配套教学资源,其中PPT共32页, 欢迎下载使用。

