

所属成套资源:高中数学人教版必修选修点点练同步练习
- 点点练9 导数与函数的单调性、极值、最值 试卷 0 次下载
- 点点练10 导数的综合应用 试卷 0 次下载
- 点点练17 平面向量的概念及线性运算 试卷 1 次下载
- 点点练18 平面向量基本定理及坐标表示 试卷 0 次下载
- 点点练19 平面向量的数量积及应用 试卷 0 次下载
点点练11 定积分与微积分基本定理
展开这是一份点点练11 定积分与微积分基本定理,共4页。
点点练11 定积分与微积分基本定理
一 基础小题练透篇
1.若a=x2dx,b=x3dx,c=sin xdx,则a,b,c的大小关系是( )
A.a<c<b B.a<b<c
C.c<b<a D.c<a<b
2.由曲线xy=1,直线y=x,y=3所围成的平面图形的面积为( )
A. B.2-ln 3
C.4+ln 3 D.4-ln 3
3.已知条件p:t=,q:sin xdx=1,则p是q的( )
A.充分不必要条件
B.必要不充分条件
C.充要条件
D.既不充分也不必要条件
4.若数列{an}是公比不为1的等比数列,且a2 018+a2 020=dx,则a2 017(a2 019+2a2 021+a2 023)=( )
A.4π2 B.2π2 C.π2 D.3π2
5.一辆汽车在高速公路上行驶,由于遇到紧急情况而刹车,以速度v(t)=7-3t+(t的单位:s,v的单位:m/s)行驶至停止. 在此期间汽车继续行驶的距离(单位:m)是( )
A.1+25ln 5 B.8+25ln
C.4+25ln 5 D.4+50ln 2
6.已知分段函数f(x)=则f(x-2)dx=( )
A.3+ B.2-e C.- D.2-
7.设函数f(x)=ax2+b(a≠0),若f(x)dx=3f(x0),x0>0,则x0=________.
8.若dx=3+ln 2(a>1),则a的值是________.
二 能力小题提升篇
1.[2022·兰州检测]曲线y=x2和直线x=0,x=1,y=所围成的图形(如图中阴影部分所示)的面积为( )
A. B. C. D.
2.[2022·河北唐山联考]曲线y=与其在点(0,-1)处的切线及直线x=1所围成的封闭图形的面积为( )
A.1-ln 2 B.2-2ln 2
C.2ln 2-1 D.ln 2
3.[2022·河南商丘检测]已知不等式1-<0的解集为(-1,2),则(2e2x+x)dx=( )
A.e+ B.e-
C.e2+ D.e2-
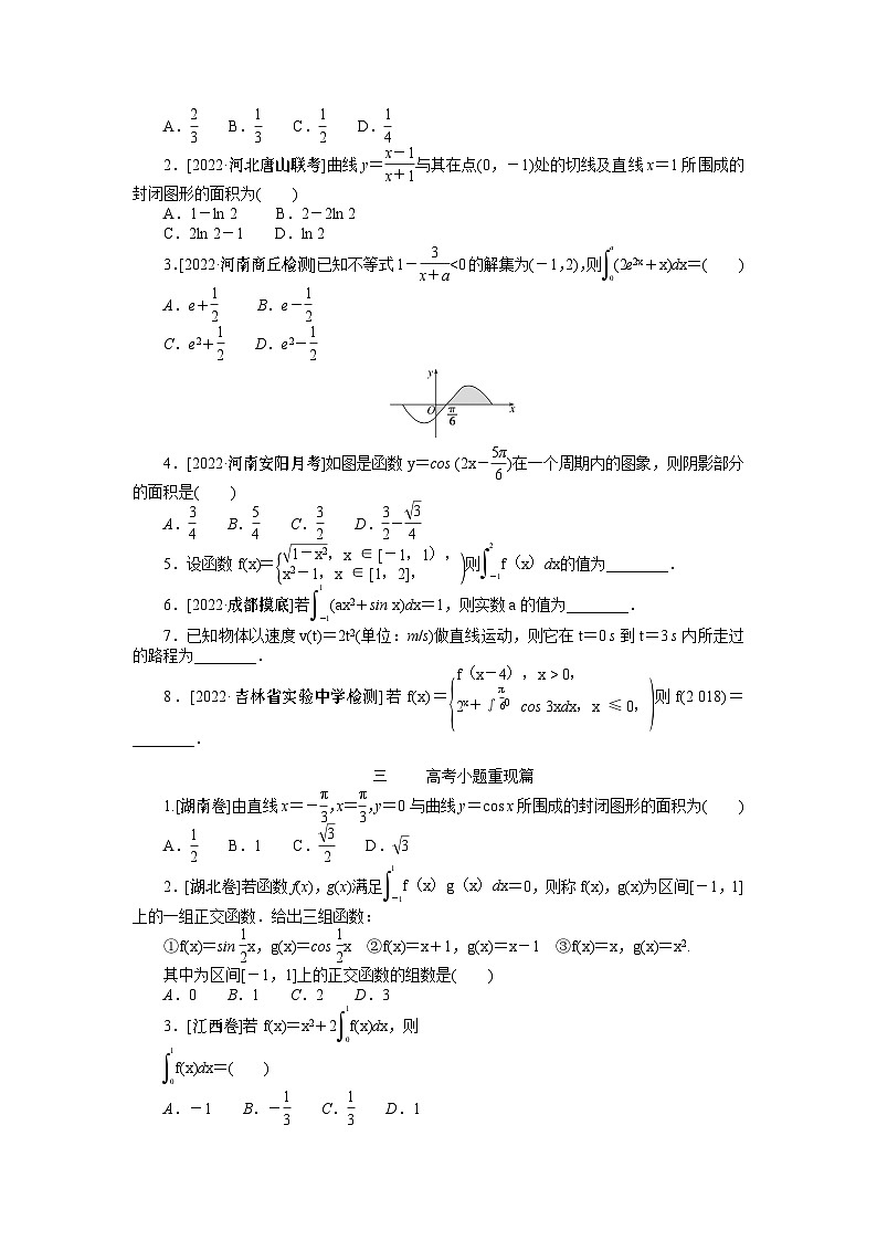
4.[2022·河南安阳月考]如图是函数y=cos (2x-)在一个周期内的图象,则阴影部分的面积是( )
A. B. C. D.-
5.设函数f(x)=则的值为________.
6.[2022·成都摸底]若(ax2+sin x)dx=1,则实数a的值为________.
7.已知物体以速度v(t)=2t2(单位:m/s)做直线运动,则它在t=0 s到t=3 s内所走过的路程为________.
8.[2022·吉林省实验中学检测]若f(x)=则f(2 018)=________.
三 高考小题重现篇
1.[湖南卷]由直线x=-,x=,y=0与曲线y=cos x所围成的封闭图形的面积为( )
A. B.1 C. D.
2.[湖北卷]若函数f(x),g(x)满足=0,则称f(x),g(x)为区间[-1,1]上的一组正交函数.给出三组函数:
①f(x)=sin x,g(x)=cos x ②f(x)=x+1,g(x)=x-1 ③f(x)=x,g(x)=x2.
其中为区间[-1,1]上的正交函数的组数是( )
A.0 B.1 C.2 D.3
3.[江西卷]若f(x)=x2+2f(x)dx,则
f(x)dx=( )
A.-1 B.- C. D.1
4.[湖北卷]已知二次函数y=f(x)的图象如图所示,则它与x轴所围图形的面积为( )
A. B. C. D.
5.[湖南卷](x-1)dx=________.
6.[福建卷]如图,在边长为e(e为自然对数的底数)的正方形中随机撒一粒黄豆,则它落到阴影部分的概率为________.
四 经典大题强化篇
1.[2022·四川绵阳模拟]A,B两站相距7.2 km,一辆电车从A站开往B站,电车开出t s后到达途中C点,这一段的速度为1.2t m/s,到C点的速度为24 m/s,从C点到B站前的D点以等速行驶,从D点开始刹车,经t s后,速度为(24-1.2t) m/s,在B站恰好停车,试求:
(1)A,C间的距离;
(2)B,D间的距离.
2.[2022·开封高三模拟考试]如图所示,过点A(6,4)作曲线f(x)=的切线l.
(1)求切线l的方程;
(2)求由切线l,x轴及曲线f(x)=所围成的封闭图形的面积S.