





所属成套资源:中考数学二轮复习重难点复习题型 (2份打包,原卷版+解析版)
- 中考数学二轮复习重难点复习题型09 二次函数综合题 类型十 二次函数与矩形有关的问题(专题训练)(2份打包,原卷版+解析版) 试卷 0 次下载
- 中考数学二轮复习重难点复习题型09 二次函数综合题 类型四 二次函数与角度有关的问题(专题训练)(2份打包,原卷版+解析版) 试卷 0 次下载
- 中考数学二轮复习重难点复习题型09 二次函数综合题 类型五 二次函数与三角形全等、相似(位似)有关的问题(专题训练)(2份打包,原卷版+解析版) 试卷 0 次下载
- 中考数学二轮复习重难点复习题型09 二次函数综合题 类型八 二次函数与平行四边形有关的问题(专题训练)(2份打包,原卷版+解析版) 试卷 0 次下载
- 中考数学二轮复习重难点复习题型09 二次函数综合题 类型九 二次函数与菱形有关的问题(专题训练)(2份打包,原卷版+解析版) 试卷 0 次下载
中考数学二轮复习重难点复习题型09 二次函数综合题(复习讲义)(2份打包,原卷版+解析版)
展开
这是一份中考数学二轮复习重难点复习题型09 二次函数综合题(复习讲义)(2份打包,原卷版+解析版),文件包含中考数学二轮复习重难点复习题型09二次函数综合题复习讲义解析版doc、中考数学二轮复习重难点复习题型09二次函数综合题复习讲义原卷版doc等2份试卷配套教学资源,其中试卷共75页, 欢迎下载使用。
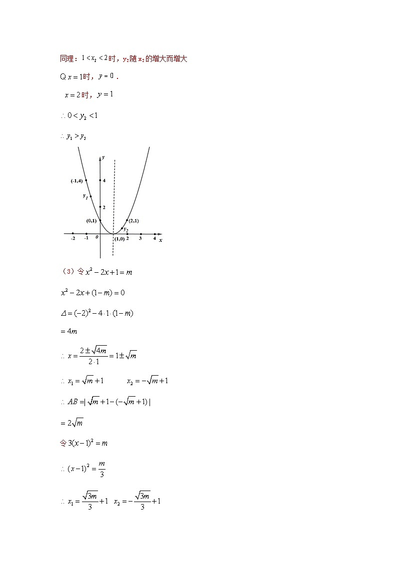
题型九二次函数综合题(复习讲义)【考点总结|典例分析】二次函数的综合1、函数存在性问题解决二次函数存在点问题,一般先假设该点存在,根据该点所在的直线或抛物线的表达式,设出该点的坐标;然后用该点的坐标表示出与该点有关的线段长或其他点的坐标等;最后结合题干中其他条件列出等式,求出该点的坐标,然后判别该点坐标是否符合题意,若符合题意,则该点存在,否则该点不存在.2、函数动点问题(1)函数压轴题主要分为两大类:一是动点函数图象问题;二是与动点、存在点、相似等有关的二次函数综合题.(2)解答动点函数图象问题,要把问题拆分,分清动点在不同位置运动或不同时间段运动时对应的函数表达式,进而确定函数图象;解答二次函数综合题,要把大题拆分,做到大题小做,逐步分析求解,最后汇总成最终答案.(3)解决二次函数动点问题,首先要明确动点在哪条直线或抛物线上运动,运动速度是多少,结合直线或抛物线的表达式设出动点的坐标或表示出与动点有关的线段长度,最后结合题干中与动点有关的条件进行计算.类型一 二次函数公共点问题1.已知抛物线的对称轴为直线.(1)求a的值;(2)若点M(x1,y1),N(x2,y2)都在此抛物线上,且,.比较y1与y2的大小,并说明理由;(3)设直线与抛物线交于点A、B,与抛物线交于点C,D,求线段AB与线段CD的长度之比. 2.已知抛物线.(1)如图①,若抛物线图象与轴交于点,与轴交点.连接.①求该抛物线所表示的二次函数表达式;②若点是抛物线上一动点(与点不重合),过点作轴于点,与线段交于点.是否存在点使得点是线段的三等分点?若存在,请求出点的坐标;若不存在,请说明理由.(2)如图②,直线与轴交于点,同时与抛物线交于点,以线段为边作菱形,使点落在轴的正半轴上,若该抛物线与线段没有交点,求的取值范围. 类型二 二次函数与线段有关的问题3.在平面直角坐标系xoy中,已知抛物线y=-x2+bx+c经过点A(-1,0)和点B(0,3),顶点为C,点D在其对称轴上,且位于点C下方,将线段DC绕点D按顺时针方向旋转90°,点C落在抛物线上的点P处.(1)求抛物线的解析式;(2)求点P的坐标;(3)将抛物线平移,使其顶点落在原点O,这时点P落在点E的位置,在y轴上是否存在点M,使得MP+ME的值最小,若存在,求出点M的坐标;若不存在,请说明理由. 4.抛物线与x轴交于A、B两点,与y轴交于点C,且.(1)求抛物线的解析式;(2)如图1,点P是抛物线上位于直线上方的一点,与相交于点E,当时,求点P的坐标;(3)如图2,点D是抛物线的顶点,将抛物线沿方向平移,使点D落在点处,且,点M是平移后所得抛物线上位于左侧的一点,轴交直线于点N,连结.当的值最小时,求的长. 类型三 二次函数与面积有关的问题5.已知二次函数,其中.(1)当该函数的图像经过原点,求此时函数图像的顶点的坐标;(2)求证:二次函数的顶点在第三象限;(3)如图,在(1)的条件下,若平移该二次函数的图像,使其顶点在直线上运动,平移后所得函数的图像与轴的负半轴的交点为,求面积的最大值. 类型四 二次函数与角度有关的问题6.二次函数的图象经过点,,与y轴交于点C,点P为第二象限内抛物线上一点,连接、,交于点Q,过点P作轴于点D.(1)求二次函数的表达式;(2)连接,当时,求直线的表达式;(3)请判断:是否有最大值,如有请求出有最大值时点P的坐标,如没有请说明理由. 7.如图,抛物线(其中)与x轴交于A、B两点,交y轴于点C.(1)直接写出的度数和线段AB的长(用a表示);(2)若点D为的外心,且与的周长之比为,求此抛物线的解析式;(3)在(2)的前提下,试探究抛物线上是否存在一点P,使得?若存在,求出点P的坐标;若不存在,请说明理由. 类型五 二次函数与三角形全等、相似(位似)有关的问题8.如图1,已知二次函数的图象与x轴交于点、,与y轴交于点C,且.(1)求二次函数的解析式;(2)如图2,过点C作轴交二次函数图象于点D,P是二次函数图象上异于点D的一个动点,连接PB、PC,若,求点P的坐标;(3)如图3,若点P是二次函数图象上位于BC下方的一个动点,连接OP交BC于点Q.设点P的横坐标为t,试用含t的代数式表示的值,并求的最大值. 9.如图,已知抛物线交轴于、两点,将该抛物线位于轴下方的部分沿轴翻折,其余部分不变,得到的新图象记为“图象”,图象交轴于点.(1)写出图象位于线段上方部分对应的函数关系式;(2)若直线与图象有三个交点,请结合图象,直接写出的值;(3)为轴正半轴上一动点,过点作轴交直线于点,交图象于点,是否存在这样的点,使与相似?若存在,求出所有符合条件的点的坐标;若不存在,请说明理由. 类型六 二次函数与等腰三角形有关的问题10.如图,已知抛物线与x轴交于点A(1,0)和B,与y轴交于点C,对称轴为.(1)求抛物线的解析式;(2)如图1,若点P是线段BC上的一个动点(不与点B,C重合),过点P作y轴的平行线交抛物线于点Q,连接OQ.当线段PQ长度最大时,判断四边形OCPQ的形状并说明理由.(3)如图2,在(2)的条件下,D是OC的中点,过点Q的直线与抛物线交于点E,且.在y轴上是否存在点F,使得为等腰三角形?若存在,求点F的坐标;若不存在,请说明理由. 类型七 二次函数与直角三角形有关的问题11.如图,在平面直角坐标系中,抛物线与x轴相交于点A、B(点A在点B的左侧),与y轴相交于点C,连接. (1)求线段AC的长;(2)若点Р为该抛物线对称轴上的一个动点,当时,求点P的坐标;(3)若点M为该抛物线上的一个动点,当为直角三角形时,求点M的坐标. 类型八 二次函数与平行四边形有关的问题12.在平面直角坐标系中,抛物线与轴交于点,(点在点的左侧),与轴交于点,且点的坐标为.(1)求点的坐标;(2)如图1,若点是第二象限内抛物线上一动点,求点到直线距离的最大值;(3)如图2,若点是抛物线上一点,点是抛物线对称轴上一点,是否存在点使以,,,为顶点的四边形是平行四边形?若存在,请直接写出点的坐标;若不存在,请说明理由. 类型九 二次函数与菱形有关的问题13.如图,在平面直角坐标系中,四边形为正方形,点,在轴上,抛物线经过点,两点,且与直线交于另一点.(1)求抛物线的解析式;(2)为抛物线对称轴上一点,为平面直角坐标系中的一点,是否存在以点,,,为顶点的四边形是以为边的菱形.若存在,请求出点的坐标;若不存在,请说明理由;(3)为轴上一点,过点作抛物线对称轴的垂线,垂足为,连接,.探究是否存在最小值.若存在,请求出这个最小值及点的坐标;若不存在,请说明理由. 类型十 二次函数与矩形有关的问题14.如图,在平面直角坐标系中,抛物线交轴于点和,交轴于点,抛物线的对称轴交轴于点,交抛物线于点.
(1)求抛物线的解析式;(2)将线段绕着点沿顺时针方向旋转得到线段,旋转角为,连接,,求的最小值.(3)为平面直角坐标系中一点,在抛物线上是否存在一点,使得以,,,为顶点的四边形为矩形?若存在,请直接写出点的横坐标;若不存在,请说明理由; 类型十一 二次函数与正方形有关的问题15.若二次函数的图象经过点,,其对称轴为直线,与x轴的另一交点为C.(1)求二次函数的表达式;(2)若点M在直线上,且在第四象限,过点M作轴于点N.①若点N在线段上,且,求点M的坐标;②以为对角线作正方形(点P在右侧),当点P在抛物线上时,求点M的坐标. 16.如图1,已知在平面直角坐标系xOy中,四边形OABC是边长为3的正方形,其中顶点A,C分别在x轴的正半轴和y轴的正半轴上,抛物线经过A,C两点,与x轴交于另一个点D.(1)①求点A,B,C的坐标;②求b,c的值.(2)若点P是边BC上的一个动点,连结AP,过点P作PM⊥AP,交y轴于点M(如图2所示).当点P在BC上运动时,点M也随之运动.设BP=m,CM=n,试用含m的代数式表示n,并求出n的最大值. 类型十二 二次函数与圆的问题17.如图是一块铁皮余料,将其放置在平面直角坐标系中,底部边缘在轴上,且dm,外轮廓线是抛物线的一部分,对称轴为轴,高度dm.现计划将此余料进行切割:(1)若切割成正方形,要求一边在底部边缘上且面积最大,求此正方形的面积;(2)若切割成矩形,要求一边在底部边缘上且周长最大,求此矩形的周长;(3)若切割成圆,判断能否切得半径为dm的圆,请说明理由. 18.如图1,在平面直角坐标系中,抛物线与x轴分别相交于A、B两点,与y轴相交于点C,下表给出了这条抛物线上部分点的坐标值:x…0123…y…03430…(1)求出这条抛物线的解析式及顶点M的坐标;(2)是抛物线对称轴上长为1的一条动线段(点P在点Q上方),求的最小值;(3)如图2,点D是第四象限内抛物线上一动点,过点D作轴,垂足为F,的外接圆与相交于点E.试问:线段的长是否为定值?如果是,请求出这个定值;如果不是,请说明理由.
相关试卷
这是一份中考数学二轮复习重难点复习题型09 二次函数综合题 类型九 二次函数与菱形有关的问题(专题训练)(2份打包,原卷版+解析版),文件包含中考数学二轮复习重难点复习题型09二次函数综合题类型九二次函数与菱形有关的问题专题训练解析版doc、中考数学二轮复习重难点复习题型09二次函数综合题类型九二次函数与菱形有关的问题专题训练原卷版doc等2份试卷配套教学资源,其中试卷共29页, 欢迎下载使用。
这是一份中考数学二轮复习重难点复习题型09 二次函数综合题 类型四 二次函数与角度有关的问题(专题训练)(2份打包,原卷版+解析版),文件包含中考数学二轮复习重难点复习题型09二次函数综合题类型四二次函数与角度有关的问题专题训练解析版doc、中考数学二轮复习重难点复习题型09二次函数综合题类型四二次函数与角度有关的问题专题训练原卷版doc等2份试卷配套教学资源,其中试卷共29页, 欢迎下载使用。
这是一份中考数学二轮复习重难点复习题型09 二次函数综合题 类型十 二次函数与矩形有关的问题(专题训练)(2份打包,原卷版+解析版),文件包含中考数学二轮复习重难点复习题型09二次函数综合题类型十二次函数与矩形有关的问题专题训练解析版doc、中考数学二轮复习重难点复习题型09二次函数综合题类型十二次函数与矩形有关的问题专题训练原卷版doc等2份试卷配套教学资源,其中试卷共32页, 欢迎下载使用。