







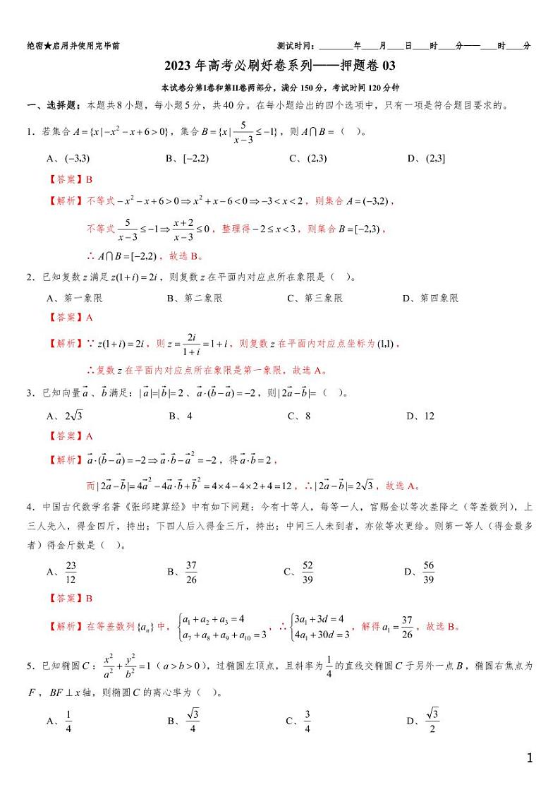
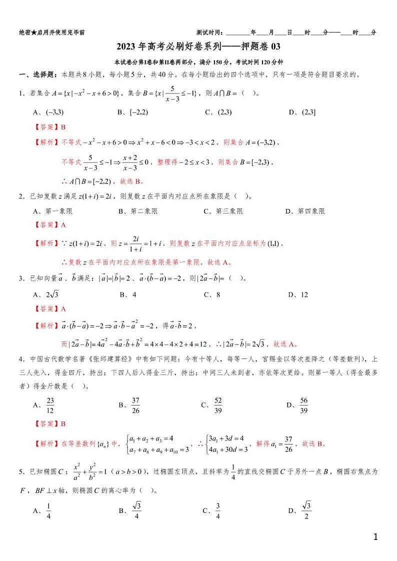
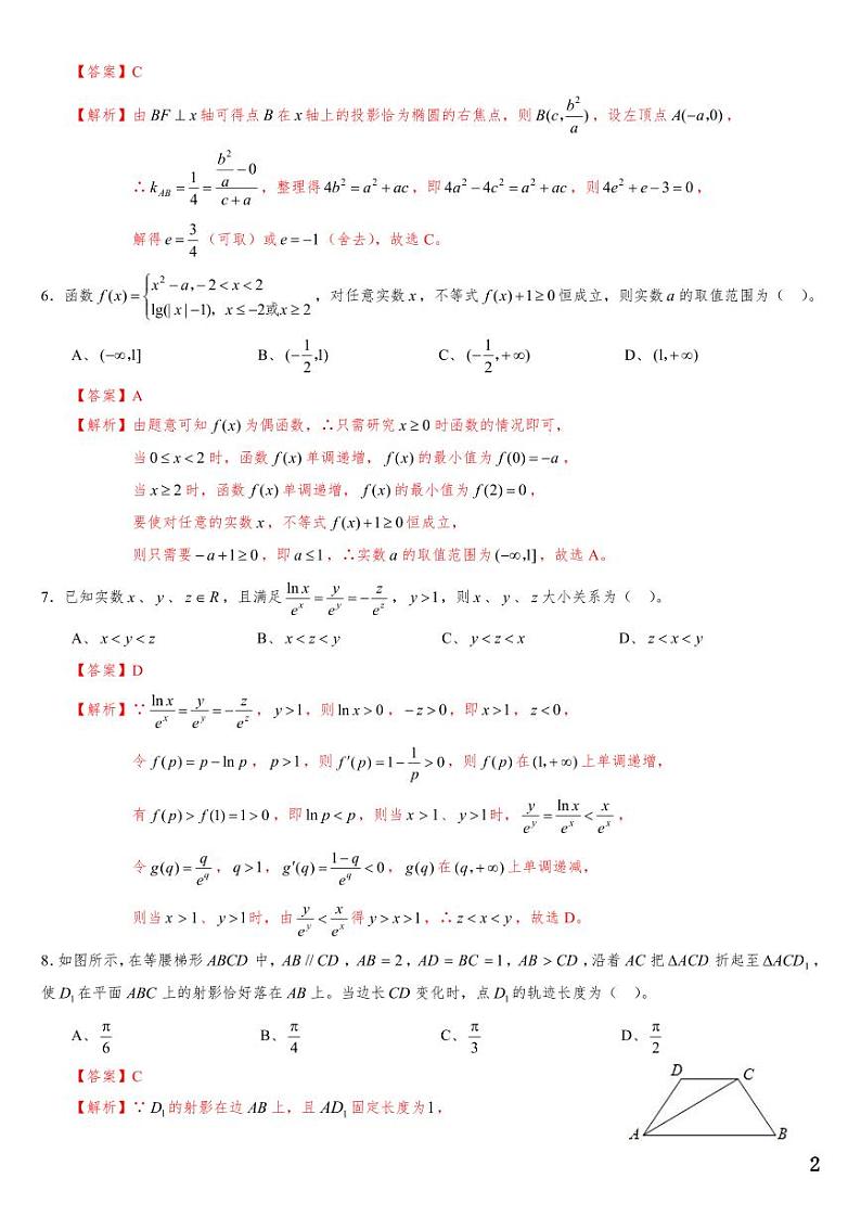
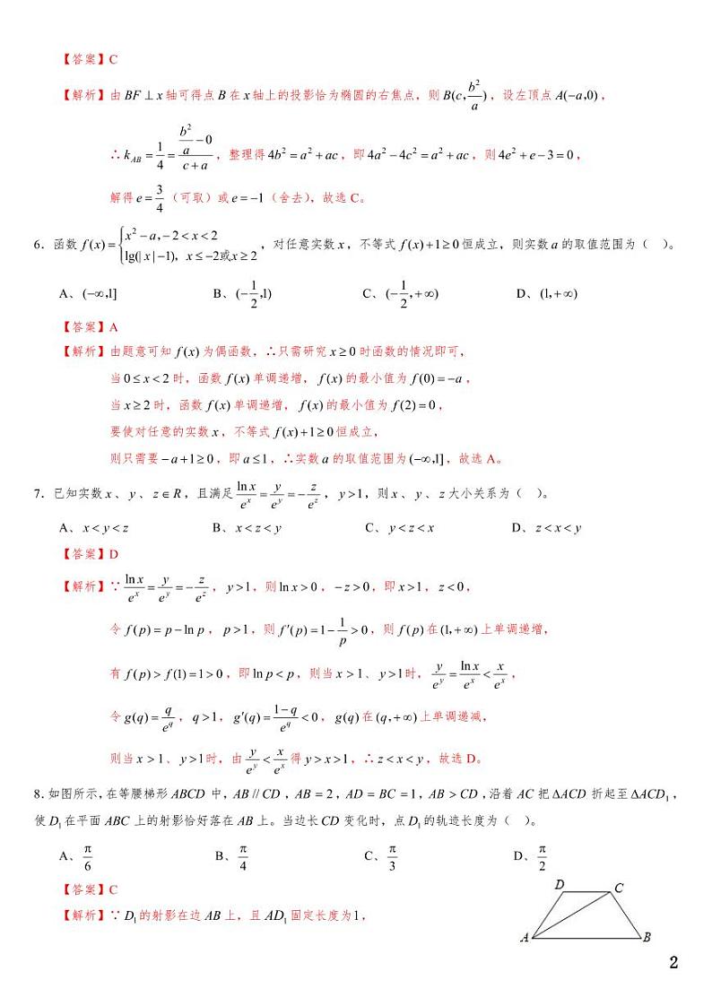
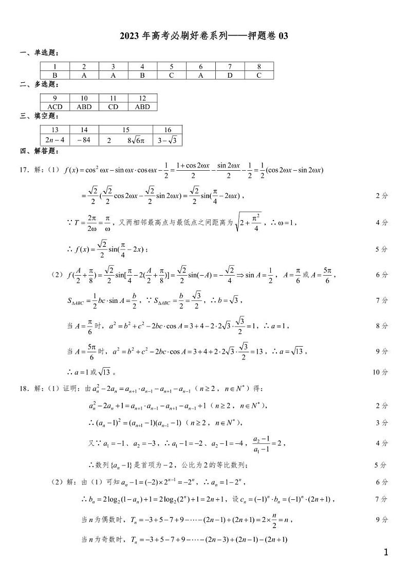
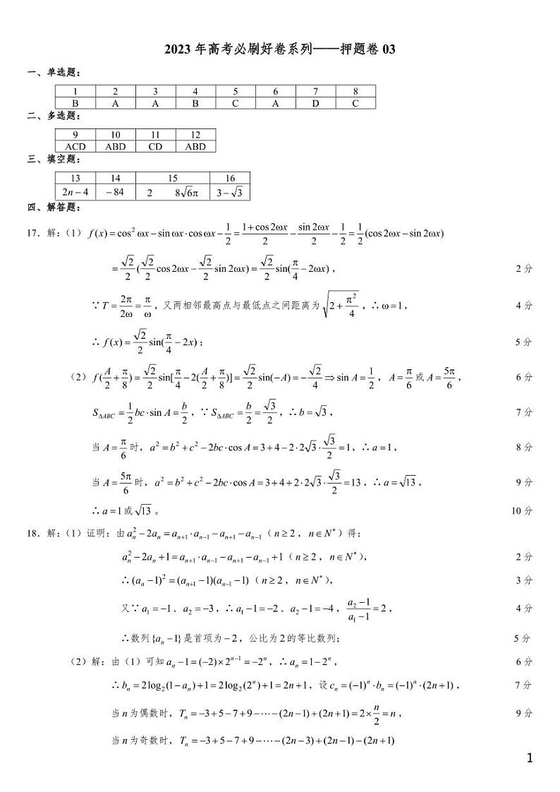
(适用辽宁)2023届高考数学必刷好卷系列——押题卷03
展开(适用辽宁)2023届高考数学必刷好卷系列——押题卷10: 这是一份(适用辽宁)2023届高考数学必刷好卷系列——押题卷10,文件包含适用辽宁2023年高考数学必刷好卷系列押题卷10解析版pdf、适用辽宁2023年高考数学必刷好卷系列押题卷10原卷版pdf、适用辽宁2023年高考数学必刷好卷系列押题卷10答案pdf等3份试卷配套教学资源,其中试卷共24页, 欢迎下载使用。
(适用辽宁)2023届高考数学必刷好卷系列——押题卷09: 这是一份(适用辽宁)2023届高考数学必刷好卷系列——押题卷09,文件包含适用辽宁2023年高考数学必刷好卷系列押题卷09解析版pdf、适用辽宁2023年高考数学必刷好卷系列押题卷09原卷版pdf、适用辽宁2023年高考数学必刷好卷系列押题卷09答案pdf等3份试卷配套教学资源,其中试卷共24页, 欢迎下载使用。
(适用辽宁)2023届高考数学必刷好卷系列——押题卷08: 这是一份(适用辽宁)2023届高考数学必刷好卷系列——押题卷08,文件包含适用辽宁2023年高考数学必刷好卷系列押题卷08解析版pdf、适用辽宁2023年高考数学必刷好卷系列押题卷08原卷版pdf、适用辽宁2023年高考数学必刷好卷系列押题卷08答案pdf等3份试卷配套教学资源,其中试卷共23页, 欢迎下载使用。