




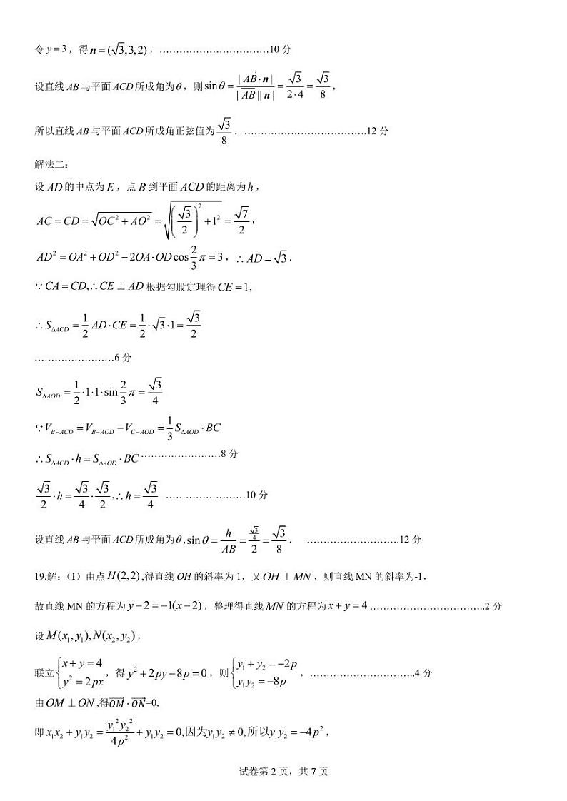
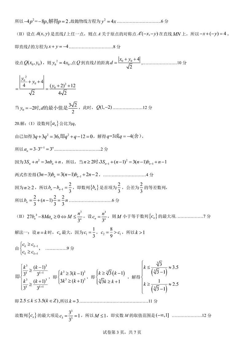
2023届石家庄市高中毕业班质检三数学试卷及参考答案
展开泉州市 2024 届高中毕业班质量监测(三)数学试卷(附参考答案): 这是一份泉州市 2024 届高中毕业班质量监测(三)数学试卷(附参考答案),文件包含2024届泉州高三监测三数学试题pdf、2024届泉州监测三参考答案与解答题评分细则pdf等2份试卷配套教学资源,其中试卷共24页, 欢迎下载使用。
石家庄市2024年普通高中学校毕业班级教学质量检测数学试卷(附参考答案): 这是一份石家庄市2024年普通高中学校毕业班级教学质量检测数学试卷(附参考答案),文件包含2024年3月石家庄市质检一数学答案pdf、2024年3月石家庄市数学质检一pdf等2份试卷配套教学资源,其中试卷共11页, 欢迎下载使用。
2023-2024年度石家庄市高三质检一数学试卷及参考答案: 这是一份2023-2024年度石家庄市高三质检一数学试卷及参考答案,文件包含2023-2024年度石家庄市质检一数学答案pdf、石家庄一模2024-03-07pdf等2份试卷配套教学资源,其中试卷共11页, 欢迎下载使用。