还剩13页未读,
继续阅读
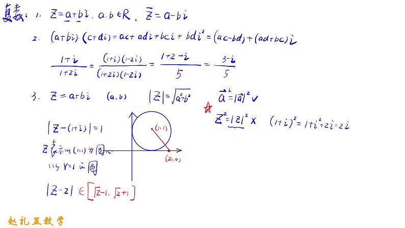
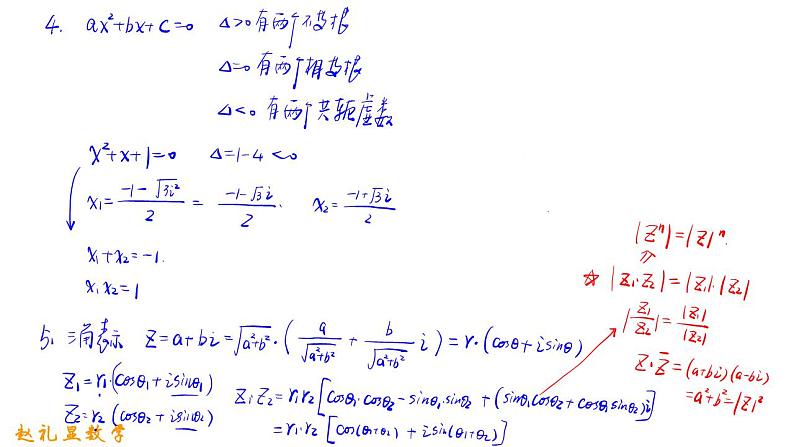
高考数学知识梳理1
展开
这是一份高考数学知识梳理1,共1页。
相关试卷
【讲通练透】高考数学知识大盘点 专题10 复数及其应用(思维导图 知识梳理 方法技巧 易混易错):
这是一份【讲通练透】高考数学知识大盘点 专题10 复数及其应用(思维导图 知识梳理 方法技巧 易混易错),文件包含专题10复数及其应用原卷版docx、专题10复数及其应用解析版docx等2份试卷配套教学资源,其中试卷共22页, 欢迎下载使用。
【讲通练透】高考数学知识大盘点 专题09 平面向量及其应用(思维导图 知识梳理 方法技巧 易混易错):
这是一份【讲通练透】高考数学知识大盘点 专题09 平面向量及其应用(思维导图 知识梳理 方法技巧 易混易错),文件包含专题09平面向量及其应用原卷版docx、专题09平面向量及其应用解析版docx等2份试卷配套教学资源,其中试卷共42页, 欢迎下载使用。
【讲通练透】高考数学知识大盘点 专题04 指对幂函数及函数与方程(思维导图 知识梳理 方法技巧 易混易错):
这是一份【讲通练透】高考数学知识大盘点 专题04 指对幂函数及函数与方程(思维导图 知识梳理 方法技巧 易混易错),文件包含专题04指对幂函数及函数与方程原卷版docx、专题04指对幂函数及函数与方程解析版docx等2份试卷配套教学资源,其中试卷共35页, 欢迎下载使用。

