数学七年级下册第八章 二元一次方程周周测2(8.1)
展开
这是一份数学七年级下册第八章 二元一次方程周周测2(8.1),共5页。
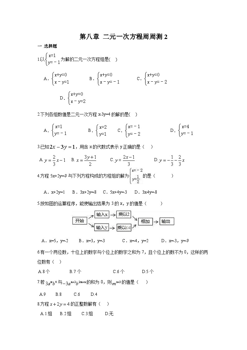
第八章 二元一次方程周周测2一 选择题1.以为解的二元一次方程组是( ) A. B. C. D.2.下列各组数值是二元一次方程x﹣3y=4的解的是( ) A. B. C. D.3.已知,用含x的代数式表示y正确的是( ) A. B. C. D. 4.方程5x+2y=﹣9与下列方程构成的方程组的解为的是( ) A.x+2y=1 B.3x+2y=﹣8 C.5x+4y=﹣3 D.3x﹣4y=﹣85.按如图的运算程序,能使输出结果为3的x,y的值是( ) A.x=5,y=﹣2 B.x=3,y=﹣3 C.x=﹣4,y=2 D.x=﹣3,y=﹣96.有一个两位数,十位上的数字与个位上的数字之和为7,且个位上的数不为0,这样的两位数有( ) A.8个 B.7个 C.6个 D.5个7.若与的和为0,则的值是( ) A.9 B.8 C.6 D.48.方程的正整数解有( ) A.1组 B.2组 C.3组 D.无9.已知a,b满足方程组,则a+b的值为( ) A.﹣4 B.4 C.﹣2 D.210.二元一次方程2x+5y=32的正整数解有( )A.3组 B.4组 C.5组 D.6组11.某鞋店有甲、乙两款鞋各30双,甲鞋一双200元,乙鞋一双50元.该店促销的方式:买一双甲鞋,送一双乙鞋;只买乙鞋没有任何优惠.若打烊后得知,此两款鞋共卖得1800元,还剩甲鞋x双,乙鞋y双,则依题意可列出下列哪一个方程式?( ) A.200(30﹣x)+50(30﹣y)=1800 B.200(30﹣x)+50(30﹣x﹣y)=1800 C.200(30﹣x)+50(60﹣x﹣y)=1800 D.200(30﹣x)+50[30﹣(30﹣x)﹣y]=180012.若|3a+b+5|+|2a-2b-2|=0,则2a2-3ab的值是( ) A.14 B.2 C.-2 D.-4 二 填空题 13.2元的人民币x张,5元的人民币y张,共120元,这个关系用方程可以表示为 .14.若x3m-3-2yn-1=5是二元一次方程,则m= ,n= .15.若是关于x,y的二元一次方程组,则 .16.如果2x2a-b-1-3y3a+2b-16=10是一个二元一次方程,那么数a= ,b= .17.已知关于x,y的方程(k2-1)x2+(k+1)x+2ky=k+3,当k= 时,它为一元一次方程;当k= 时,它为二元一次方程.18.已知,则用x的代数式表示y为 .19.已知是二元一次方程组的解,则m+3n的值为 .20.若是方程的解,则(m+n)2018的值是__________. 三 计算题21.某市2007年秋季开始,减免学生在义务教育阶段的学杂费,并按照每学期小学每生250元,初中每生450元的标准,由财政拨付学校作为办公经费,该市一学校小学生和初中生共有840人,2007年秋季收到当学期该项拨款290000元,该学校小学生和初中生各有多少人? 22.某商场正在热销2008年北京奥运会吉祥物“福娃”玩具和徽章两种奥运商品,根据下图提供的信息,求一盒“福娃”玩具和一枚徽章的价格各是多少元? 23.课本中介绍我国古代数学名著《孙子算经》上有这样一道题:今有鸡兔同笼,上有三十五头,下有九十四足,问鸡兔各几只?如果假设鸡有x只,兔有y只,请你列出关于x,y的二元一次方程组,并写出你求解这个方程组的方法. 24.手牵着手,心连着心.2008年5月12日发生在四川汶川的特大地震灾害,牵动着全中国人民的心.某校团支部发出为灾区捐款的倡议后,全校师生奉献爱心,踊跃捐款,已知全校师生共捐款 4万5千元,其中学生捐款数比老师捐款数的2倍少9千元,该校老师和学生各捐款多少元? 第八章 二元一次方程周周测2 参考答案与解析一、选择题1.D 2.A 3.C 4.D 5.D 6.C 7.B 8.A 9.B 10.A 11.D 12.D 二、填空题13.2x+5y=120 14. 2 15. 16.3 4 17.-1 1 18.x+3y=14 19.3 20.1 三、解答题21.解:该学校小学生有x人,初中生有y人.由题意得解得答:该学校小学生有440人,初中生有400人. 22.解:设一盒“福娃”玩具的价格是x元,一枚徽章的价格是y元.由题意得解得答:一盒“福娃”玩具的价格是125元,一枚徽章的价格是10元. 23.解:由题意得由①得y=35-x③,将③代入②,得2x+4(35-x)=94,解得x=23④,将④代入③,得y=12,则原方程组的解为答:鸡有23只,兔有12只. 24.解:设该校老师捐款x元,学生捐款y元.由题意得解得答:该校老师捐款27000元,学生捐款18000元.

