还剩7页未读,
继续阅读
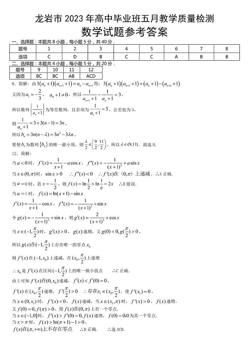
2022-2023学年福建省龙岩市高三下学期5月教学质量检测数学试题PDF版含答案
展开
这是一份2022-2023学年福建省龙岩市高三下学期5月教学质量检测数学试题PDF版含答案,共10页。
相关试卷
福建省龙岩市2023届高三三月教学质量检测数学试题:
这是一份福建省龙岩市2023届高三三月教学质量检测数学试题,文件包含福建省龙岩市2023届高三三月教学质量检测数学试题原卷版docx、福建省龙岩市2023届高三三月教学质量检测数学试题解析版docx等2份试卷配套教学资源,其中试卷共31页, 欢迎下载使用。
2023届福建省龙岩市高三下学期5月教学质量检测数学试题含答案:
这是一份2023届福建省龙岩市高三下学期5月教学质量检测数学试题含答案,共20页。试卷主要包含了已知,已知,若恒成立,则,如图,已知正六棱台中,,则,已知函数,则下列说法正确的是等内容,欢迎下载使用。
2023届福建省龙岩市高三下学期5月教学质量检测(三模)数学PDF版含答案:
这是一份2023届福建省龙岩市高三下学期5月教学质量检测(三模)数学PDF版含答案,文件包含龙岩市2023年高中毕业班五月教学质量检测数学答案·pdf、龙岩市2023年高中毕业班五月教学质量检测数学pdf等2份试卷配套教学资源,其中试卷共9页, 欢迎下载使用。

