还剩39页未读,
继续阅读
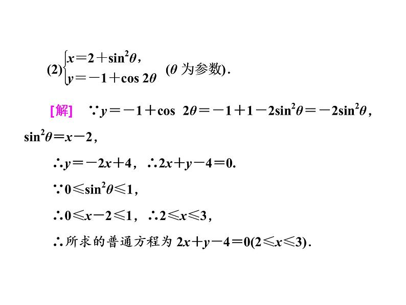
高中数学高考2018高考数学(理)大一轮复习课件:选修4-4 坐标系与参数方程 第二节 参数方程
展开
这是一份高中数学高考2018高考数学(理)大一轮复习课件:选修4-4 坐标系与参数方程 第二节 参数方程,共47页。
相关试卷
高中数学高考2018高考数学(文)大一轮复习课件 选修4-4 坐标系与参数方程 第一节 坐标系:
这是一份高中数学高考2018高考数学(文)大一轮复习课件 选修4-4 坐标系与参数方程 第一节 坐标系,共24页。
高中数学高考2018高考数学(文)大一轮复习课件 选修4-4 坐标系与参数方程 第二节 参数方程:
这是一份高中数学高考2018高考数学(文)大一轮复习课件 选修4-4 坐标系与参数方程 第二节 参数方程,共27页。
高中数学高考2018高考数学(理)大一轮复习课件:选修4-4 坐标系与参数方程 第一节 坐标系:
这是一份高中数学高考2018高考数学(理)大一轮复习课件:选修4-4 坐标系与参数方程 第一节 坐标系,共32页。

