2023届江苏省南通市高三三模数学试题及答案
展开南通市2023届高三第三次调研测试
数学考前模拟 参考答案
一、选择题:本题共8小题,每小题5分,共40分.
1. A 2. A 3. B 4. D 5. A 6. B 7. D 8. D
二、选择题:本题共4小题,每小题5分,共20分.
9. CD 10. ABD 11. BD 12. ABD
三、填空题:本题共4小题,每小题5分,共20分.
13. 14.
15. 16. ;(答对一空得2分,答对两空得5分)
四、解答题:本题共6小题,共70分.
17.解:(1)①,,2,,
故X的分布列为:
x | 1 | 2 | 3 | 4 | … | 10 |
P | p |
|
②,
记,
,
作差可得,,
则,即证.
当时,,
则试验成本的期望小于4a,又获利5a大于成本的期望,则应该投资.
18.解:(1)证明:因为,,
所以为等边三角形,故,
又因为,,所以,所以,
又,,AC,平面, 所以平面
(2)如图,
设E为的中点,连结,DE,作于
因为平面,, 所以平面,
又,平面,所以,,
因为,所以三角形ABC为直角三角形,
又因为,,所以,
在中,,D为的中点,所以,
又,平面,平面,所以平面
因为 ,所以平面,
因为平面,所以,
又因为,,,平面,
所以平面,所以直线与平面所成角为
在中,,,,
所以,所以
因此,直线与平面所成角的正弦值为
19解:(1)设等差数列的公差为d,
,是和的等比中项,,
即,解得,
是各项均为正数的等差数列,,
,
两式相减得:,
当时,,,
是以2为首项,2为公比的等比数列.
(2)①解:因为,所以
所以……
②解:当i为奇数时,设
当i为偶数时,设,
,
,
故,
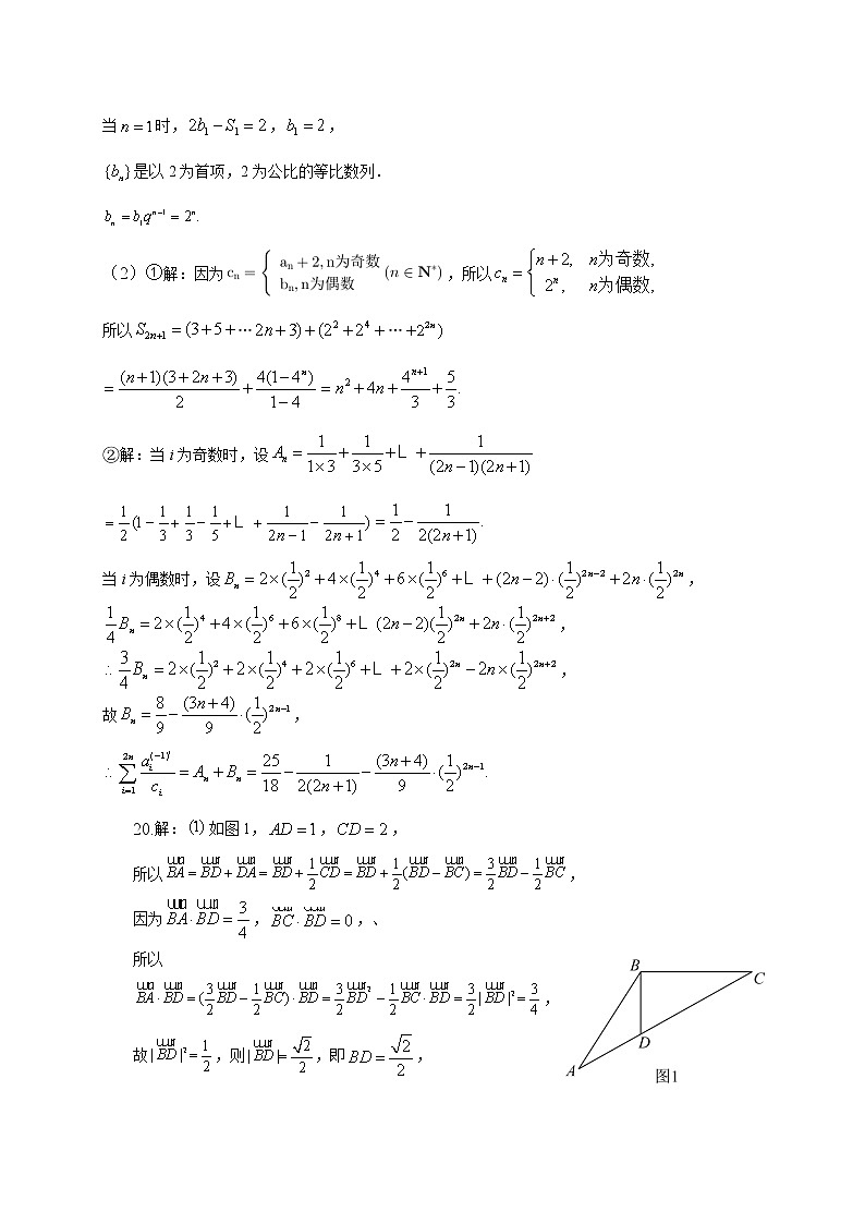
20.解:如图1,,,
所以,
因为,,、
所以,
故,则,即,
又,则,故,
不妨记,,则,
因为,
所以,解得,则,
因为,所以,
所以;
.
如图2,不妨设与内切圆的半径分别为r与R,
因为BD平分,
所以由角平分线性质定理得,记,则,
记,则,
因为,
所以,
所以,即,
因为,即,解得
设顶点B到AC的距离为h,
则,
又
,
所以,则,
令,则,,
所以,
因为,所以,则,故,
所以,即,
所以,故,
所以与内切圆半径之比的取值范围为
21.(1)由题设得、,设点,由题意可得,
即,即,得,则,
直线BE的斜率为,
所以直线BF的方程是,即,
联立,消去y可得,
直线BF与双曲线C有2个交点,则,
因为满足方程,由韦达定理得,解得,
所以,得已经成立,
因此只需,因为,可得,
所以,
因为,所以,所以,可得,
所以的取值范围是;
(2)由(1)可知,
,
所以,即,
因为,则,则,
所以,因此AE不可能是的三等分线.
22.略
江苏省南通市2024年一模考试数学试题【含答案】: 这是一份江苏省南通市2024年一模考试数学试题【含答案】,共12页。
2023届江苏省南通市高三考前模拟(南通四模)数学试题及答案: 这是一份2023届江苏省南通市高三考前模拟(南通四模)数学试题及答案,共16页。
2023届江苏省南通市高三三模数学试题及答案: 这是一份2023届江苏省南通市高三三模数学试题及答案,文件包含南通市2023届第三次模拟考试数学参考答案与评分建议终稿1pdf、南通市2023届高三第三次调研测试pdf等2份试卷配套教学资源,其中试卷共20页, 欢迎下载使用。

