2022-2023学年北京市朝阳区高三第(1)次模拟考试英语试卷含解析
展开2022-2023学年北京市朝阳区高三第(1)次模拟考试英语试卷
学校:___________姓名:___________班级:___________考号:___________
题号
一
二
三
四
五
总分
得分
注意事项:
1.答卷前,考生务必将自己的姓名、准考证号填写在答题卡上。
2.回答选择题时,选出每小题答案后,用铅笔把答题卡对应题目的答案标号涂黑;如需改动,用橡皮擦干净后,再选涂其他答案标号。回答非选择题时,将答案写在答题卡上,写在试卷上无效。
3.考试结束后,本试卷和答题卡一并交回。
第I卷(选择题)
一、阅读理解(本大题共19小题,共38.0分)
A
The Economic and Social Council (ECOSOC) Youth Forum is an annual initiative of the President of the Council. It has developed into a key platform where young people can contribute to policy discussions at the United Nations (UN). This year's Youth Forum will take place from 25 to 27 April, 2023.
·Objectives
The Forum aims to engage young people in a dialogue with Member States, policymakers and other actors to voice their views and inspire actions on how to transform the world into a better place guided by the Sustainable Development Goals (SDGs). Participants will also have the opportunity to contribute to the preparatory process of the SDG Summit.
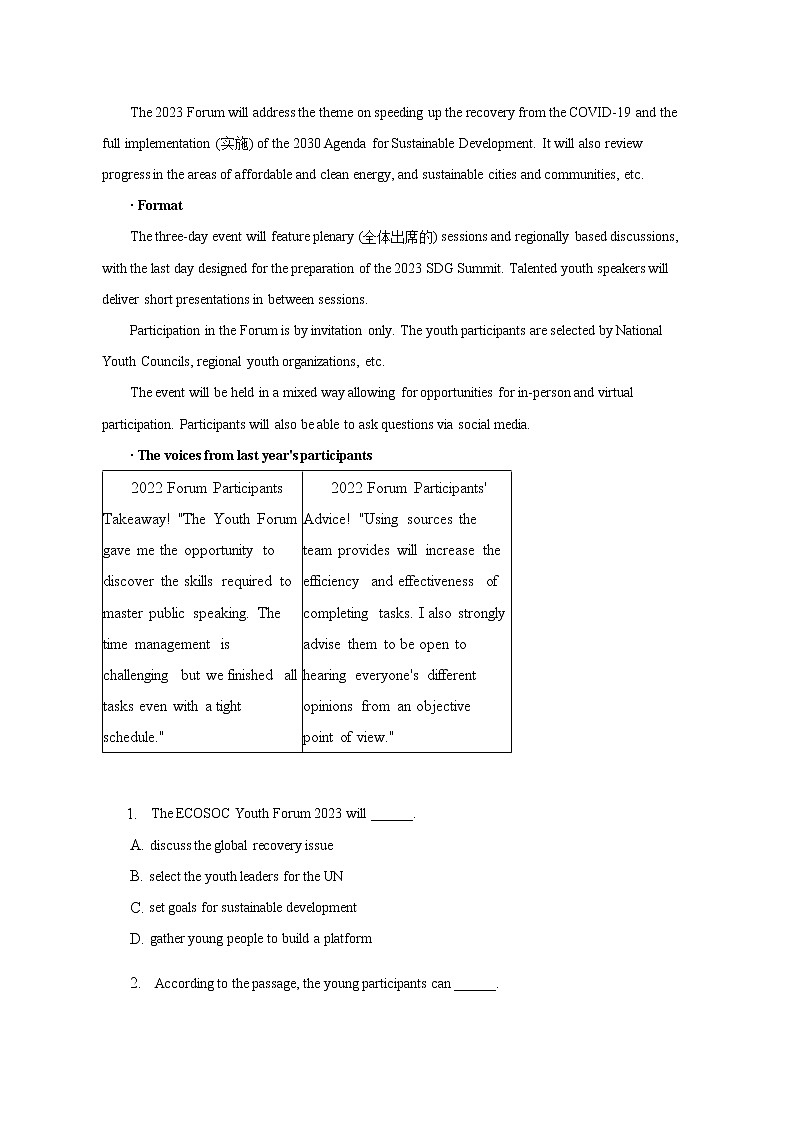
The 2023 Forum will address the theme on speeding up the recovery from the COVID-19 and the full implementation (实施) of the 2030 Agenda for Sustainable Development. It will also review progress in the areas of affordable and clean energy, and sustainable cities and communities, etc.
· Format
The three-day event will feature plenary (全体出席的) sessions and regionally based discussions, with the last day designed for the preparation of the 2023 SDG Summit. Talented youth speakers will deliver short presentations in between sessions.
Participation in the Forum is by invitation only. The youth participants are selected by National Youth Councils, regional youth organizations, etc.
The event will be held in a mixed way allowing for opportunities for in-person and virtual participation. Participants will also be able to ask questions via social media.
· The voices from last year's participants
2022 Forum Participants Takeaway! "The Youth Forum gave me the opportunity to discover the skills required to master public speaking. The time management is challenging but we finished all tasks even with a tight schedule."
2022 Forum Participants' Advice! "Using sources the team provides will increase the efficiency and effectiveness of completing tasks. I also strongly advise them to be open to hearing everyone's different opinions from an objective point of view."
1. The ECOSOC Youth Forum 2023 will ______.
A. discuss the global recovery issue
B. select the youth leaders for the UN
C. set goals for sustainable development
D. gather young people to build a platform
2. According to the passage, the young participants can ______.
A. register to join in the Forum personally
B. give brief speeches in plenary sessions
C. take part in the event online and offline
D. attend the SDG Summit after the Forum
3. What is the advice from 2022 participants?
A. To be willing to consider various voices.
B. To make time arrangements a top priority.
C. To master public speaking skills in advance.
D. To be efficient with the help of policymakers.
B
I was four when Dad first showed me how to skim stones, a game in which one throws smooth flat stones into a river to make them jump across the surface. I'd pass hours on beaches with my brother, picking up muddy stones and skimming them. It was satisfying making them dance on the surface. That perfect skim, where the stone glided (滑行), brought me fantastic feelings-and still does. I was a competitive child and good at throwing. I enjoyed javelin (标枪) and was on a baseball team, but skimming stones was just for fun.
In adulthood, things changed. In August 2017, an advertisement for the All England Open Stone Skimming Championships drew my attention. I signed up and paid £2 for three stones. I skimmed 28 metres and tried again and again, buying more stones to feed my desire, finally reaching 37 metres, which won me third place. I drove home excitedly, and £20 lighter.
I returned to the 2018 championship, hoping for a champion. Walking on to the small throwing platform in my trainers, I threw a decent 44 metres and won. I spotted someone wearing a competition sweater with "World" written across it. "Where's that?" I asked and he told me about the annual World Stone Skimming Championships in Scotland.
It was a month away and a six-hour drive. I thought about the cost and distance for weeks until, the day before the contest, the feeling of winning made a decision for me. "I'm going." I arrived at a hotel at 10 pm, but couldn't sleep for nerves and excitement. Early the next morning, I drove to the crossing where the competitors had begun waiting. Ropes and buoys (浮标) marked a 63-metre course. I had no idea if my best score was good enough to win. When my name was called at the prize-giving ceremony that afternoon, I was overjoyed. I was the women's world champion.
I'm a big believer in giving things a go. I'm 42, and to become a world champion at this stage is pretty left-field. It showed me it was worth jumping in the car that day, and proof that a childhood spent throwing muddy stones from beaches wasn't wasted.
4. What did the author enjoy about the stone skimming as a child?
A. The competitiveness of the sport.
B. The outstanding ability at throwing.
C. The satisfaction the glide of the stone brings.
D. The fun time she spent with her dad at the beach.
5. What mainly helped the author all the way through every championship?
A. Her discipline. B. Her desire to win.
C. Her confidence. D. Her efforts on training.
6. What can we conclude from the passage?
A. Take it easy in face of challenges.
B. Change the world by being yourself.
C. A bigger stage is ready for those who try.
D. Either I will find a way, or I will make one.
C
Clown fish live their adult lives in the protective arms of sea anemones, the small brightly colored sea animals attached onto rocks to house clown fish. Between birth and adulthood, however, the fish have to complete a treacherous journey. After hatching, they swim out to the open sea to finish developing. After maturing, the young fish swim back, during which they have to avoid a "wall of mouths" by sensing the unfriendly smells. With ocean acidification, a trend that is occurring worldwide, scientists began to wonder what might happen to fish's sense of smell.
My team put 300 recently hatched clown fish in our lab. When we introduced a friendly fish odor (气味), they did not react. But when we introduced an enemy odor, they swam away. We then repeated the experiment with 300 new hatchlings from the same parents in the more acidic water-a level we can expect by the year 2100 if current trends continue. When we introduced friendly and unfriendly smells at the same time, the fish seemed unable to make up their minds, spending equal time swimming toward one smell and the other. They could sense chemical signals but couldn't recognize the meaning of them.
It is always tricky to say that behaviors seen in a lab would also be seen in the wild. So we went to a sandy lake near one of the Great Barrier Reef's northern islands to test how wild-caught damselfish would react to enemy smells after exposing them to acidic water. In a tank, about half of them held in water with acidity expected by 2050 were attracted to the unfriendly odor and half were not, yet not one held in water anticipated by 2100 avoided being attracted to the enemy odor. We then let the marked damselfish loose in the lake. The fish once held in the most acidic water swam farther away from their protective home. Can fish adapt? Most studies have habituated fish to lifted acidic conditions over a few days or months-an extremely short length of time. The animals are not given a realistic opportunity to adapt. Yet some scientists thought that fish might escape the anger of ocean acidification, in part because early research done in the 1980s showed that certain animals had an astonishing ability to regulate their internal chemistry to survive acidified water. But maintaining normal functions such as avoiding danger is a different challenge.
At a minimum, confusion could place yet another stressor on fish already challenged by rising water temperatures, overfishing, etc. Further, if many ocean creatures start to behave strangely, entire food webs and ecosystems could come crashing down. Although the science is still new, the results appear to be lining up: ocean acidification is messing with fish's minds.
7. What does the underlined word "treacherous" in Paragraph 1 probably mean?
A. Risky. B. Hurried. C. Mysterious. D. Helpless.
8. What can we learn about the fish in the acidic water?
A. They lost their senses to chemical signals.
B. They were less likely to respond to threats.
C. Their behavior in the lab disappeared in the wild.
D. They tended to seek the protection from their home.
9. What can be inferred from the passage?
A. The author's study confirms previous findings.
B. Fish's adaptation to acidic water is a matter of time.
C. Different fishes behave differently to acidity change.
D. The chances of restoring fish's minds are yet to be seen.
10. Which of the following would be the best title for the passage?
A. What Do Different Stressors Do to Ocean Creatures?
B. What Does Ocean Acidity Mean to Ocean Creatures?
C. How Does Ocean Acidification Destroy the Ecosystem?
D. How Do Ocean Creatures Adapt to Ocean Acidification?
D
A snake-robot designer, a technologist, an extradimensional physicist and a journalist walk into a room. The journalist turns to the crowd and asks: Should we build houses on the ocean? Like a think-tank panel, members of the team dream up far-out answers to the crucial problem, such as self-driving housing units that could park on top of one another in the coastal city center.
The setting is X, the enterprise which considers more than 100 ideas each year, in areas ranging from clean energy to artificial intelligence. Although only a tiny percentage become "projects" with far-reaching creativity, these projects exist, ultimately, to change the world, like Waymo, the biggest self-driving-car company. In the past 60 years, something strange has happened. As the academic study of creativity has thrived (蓬勃发展), the label innovation may have covered every tiny change of a soda can or a toothpaste flavor, but the rate of productivity growth has been mostly declining since the 1970s. John Fernald, an economist, points out that the notable exception to the post-1970 decline in productivity occurred when businesses throughout the economy finally figured out the breakthrough technology-information technology. John Fernald says, "It's possible that productivity took off, because we picked all the low-hanging fruit from the IT wave." Actually, the world economy continues to harvest the benefits of IT. But where will the next technology shock come from?
Breakthrough technology results from two distinct activities-invention and innovation. Invention is typically the work of scientists and researchers in labs, while innovation is an invention put to commercial use. Seldom do the two activities occur successfully under the same roof. They tend to thrive in opposite conditions; while competition and consumer choice encourage innovation, invention has historically progressed in labs that are protected from the pressure to generate profit.
Allowing well-funded and diverse teams to try to solve big problems is what gave us the computer and the Internet. Today, we fail to give attention to planting the seeds of this kind of ambitious research, while complaining about the harvest. "Companies are really good at combining existing breakthroughs in ways that consumers like. But the breakthroughs come from patient and curious scientists, not the rush to market," says Jon Gertner, the author of The Idea Factory.
"Technology is a tall tree," John Fernald said. "But planting the seeds of invention and harvesting the fruit of innovation are entirely distinct skills, often mastered by different organizations and separated by many years." As for me, both of them are essential for technology, although they are relatively independent. I don't think X is a planter or a harvester, actually. It is like building taller ladders. Nobody knows for sure what, if anything, the employees at such enterprises are going to find up on those ladders. But they're reaching. At least someone is.
11. What is the main purpose of the first two paragraphs?
A. To present the process of group discussion.
B. To illustrate X's worry about big problems.
C. To reveal the importance of the crazy ideas.
D. To stress the varied backgrounds of the team.
12. What can we learn from the passage?
A. Breakthroughs must stand the test of the market.
B. Innovation on necessities can promote productivity.
C. Invention develops slowly under the pressure of profit.
D. The harvest of innovation lies in some ambitious research.
13. Regarding John Fernald's view on technology, the author is ______.
A. supportive B. cautious C. uncertain D. critical
14. What can be inferred about X from the passage?
A. It will focus on innovation.
B. It will have its outcome soon.
C. It may give in to its fruitless reality.
D. It may bring an encouraging outlook.
E
Once upon a time, we were all question-asking experts. We started asking our parents numerous questions as kids. By preschool, our inquiries even reached the depths of science, philosophy, and the social order. Where does the sun go at night? Why doesn't that man have a home like we do? Why do rocks sink but ice floats? (1)
Why does the child's urge to ask questions grow inactive in so many adults? An important factor is how the social environments surrounding us change as we age. Schools transform from a place for asking questions to one funded by our ability to answer them. (2) And we recognize that society rewards the people who propose to have the answers.
(3) We can be braver about asking questions in public and encouraging others to pursue their curiosity, too. In that encouragement, we help create an environment where those around us feel safe to ask questions.
When it comes to how we phrase questions, we are advised to open with less sensitive questions, favor follow-up questions, and keep questions open-ended. We can also practice asking questions of and for ourselves by keeping a running list of questions in a journal. (4) Finally, we could set aside time to ask absurd questions like "How would you accomplish a week's work in two hours?" This type of questions forces us to break the boundaries of our comfort zone.
In the world that does not look much as it did years ago, we must ask questions. (5) Great questions can open up our capacity to change because they allow us to draw people in, opening them up to sharing knowledge, ideas, and opinions. And they are also our primary means of learning about the world. In short, asking questions is the best way to deepen our understanding of the things that matter to our life. As any child could probably tell us if we asked.
A. Then, at some point, our inquiring desires disappear.
B. It is a high-payoff behavior especially in times of change.
C. The questions we ask depend on our attitudes as well as the situations.
D. But as we grow up, asking questions fills us with worry and self-doubt.
E. As such, one way to renew our inquiring spirit is to change the atmosphere.
F. We learn to sell ourselves on the job market by what we know, not what we don't.
G. It not only removes the publicity from question asking, but offers us a place to experiment.
15. A. A B. B C. C D. D E. E F. F G. G
16. A. A B. B C. C D. D E. E F. F G. G
17. A. A B. B C. C D. D E. E F. F G. G
18. A. A B. B C. C D. D E. E F. F G. G
19. A. A B. B C. C D. D E. E F. F G. G
二、完形填空(本大题共10小题,共15.0分)
I grasped a sandwich as I tried to finish my work during lunch. My company, like many companies, had (20) costs by not replacing people as they left. The survivors had to take up the work. For me and my co-workers, this meant no lunch hour. I wanted to quit, but given the economy, it was hard to find another job. I felt (21) . Then a conversation with a six-year-old girl changed my (22) .
The young girl was standing in line with her mom at the supermarket.
"Good day at school?" I asked.
A nod.
"What's your favorite subject?"
"Lunch."
I smiled. That had been my (23) too. At lunch, I could talk with my friends, draw pictures or play games. There were no adults to tell me what to do. The time was mine.
But what happened to lunch time now?
I knew I was entitled to a lunch break at work. So I decided to (24) it. Our office was located in the downtown and I set out to (25) the area. A few blocks away was an art museum with free admission. At the end of another street, I was surprised to discover some horses eating grass in a field.
At the beginning of my tours during lunch, I received some (26) stares from my co-workers, but I chose to ignore them. In fact, I watched in amazement that some of them started to (27) their work during lunch. (28) , we started inviting each other out for walks and discovered we had other topics of conversation beyond the common complaints about work.
I'm still looking for a new position, but with less anxiety than before. If we can't change our (29) , we can change our attitude.
20. A. counted B. cut C. paid D. raised
21. A. trapped B. fearful C. shocked D. hurt
22. A. work B. way C. view D. plan
23. A. decision B. explanation C. secret D. answer
24. A. take B. make C. find D. stop
25. A. explore B. measure C. develop D. identify
26. A. innocent B. determined C. sympathetic D. unpleasant
27. A. carry on B. take over C. put aside D. go through
28. A. Generally B. Gradually C. Accidentally D. Obviously
29. A. strategies B. circumstances
C. responsibilities D. principles
第II卷(非选择题)
三、语法填空(本大题共3小题,共45.0分)
30. My son Zack suffered from autism (自闭症) when he was two. Watching a movie together was an important routine for us. On an ordinary spring day, we were enjoying one of his favorite movies that he (1) (see) many times before. I took his hand as usual. Suddenly he stood up and wrapped his arms around me in a big bear hug. You could imagine (2) excited I was. Although it was just a hug, it meant a lot to me, (3) (fill) me with great joy.
(1)
(2)
(3)
31. This year, the 13th Spring Festival Joint Exhibition of Chinese Books, (1) theme was "Reading China", was held on January 24th in 85 bookstores worldwide. It (2) (carry) out a variety of activities such as book exhibitions and cultural performances. Books displayed in the exhibition were philosophical and artistic, which closely met the needs of overseas readers. Overall, this year's book exhibition presented the newest and (3) (fine) Chinese publications to local readers so that they could better understand China in the new era.
(1)
(2)
(3)
32. ChatGPT is a new artificial intelligence technology (1) (create) by Open AI. It enables machines to understand and respond to human conversations in a (2) (nature) and conversational way. ChatGPT has shaken the tech world since it was opened for public use last year. While it certainly comes across as knowledgeable, it's far (3) perfect. It cannot answer questions about things that have happened recently because it (4) (train) using data from 2021 and before.
(1)
(2)
(3)
(4)
四、阅读表达(本大题共1小题,共2.0分)
33. Over the years I have been fascinated to read about studies into the power of touch.
One famous study examined videos of how people responded to those near them who had been the victim of a bad fortune. Researchers looked at their interaction with the victim, and compared this with behaviour in non-human primates (灵长类动物). It found that humans and primates comfort one another and demonstrate care in a similar way. It makes sense for me that offering hugs to calm victims may be an instinct that we got from primate ancestors.
Another study found that when the husband or wife of a patient in sorrow or discomfort reaches out and holds their hand and, as if by magic, they become settled and less sorrowful. Perhaps we shouldn't be surprised, as we have known for many years about the importance of touch. It symbolizes safety and love, and this is actually one of the most important aspects for development as a child. Is it any wonder that, when we are upset and distressed as adults, we seek out the same things? Whether young or old, humans are wired to be touched.
Nevertheless, many people today suffer from "touch hunger", which typically occurs when a person experiences little touch or contact for a long time. It serves as a warning that the sense of security and care that comes with the contact of touch is missing. Thus, their well-being can suffer. It is associated with greater stress, anxiety and loneliness, and lower-quality sleep.
Actually, even the briefest touch from us can bring strong emotional experiences to the receivers who suffer from "touch hunger". A warm handshake, a gentle pat on the shoulder, or a high-five is often enough to convey love and care.
Be a giver!
(1) What did the first study find about touch?
_________________________________________________________________________________________________
(2) Why is touch important?
_________________________________________________________________________________________________
(3) Please decide which part is false in the following statement, then underline it and explain why.
Touch has the great power to give people who suffer from "touch hunger" strong emotional experiences, but a brief touch like a handshake is too light to convey love and care.
_______________________________________________________________________________________________
(4) Apart from touch, what other way(s) do you often use to express your love and care in your life? (In about 40 words)
_________________________________________________________________________________________________
五、书面表达(本大题共1小题,共25.0分)
34. 假设你是红星中学高三学生李华。你正在组建与英语学习相关的研究性学习小组,请你用英文给你校交换生Jim写一封电子邮件,邀请他参加,内容包括:
1. 介绍研究的具体内容和意义;
2. 说明邀请原因和其他相关事宜。
注意:
1. 词数100左右;
2. 开头和结尾已给出,不计入总词数。
参考词汇:研究性学习 research-based learning
Dear Jim,
Yours,
Li Hua
答案和解析
1~3.【答案】A、C、A
【解析】【文章大意】本文是一篇应用文。文章主要介绍了即将举办的2023年ECOSOC青年论坛的相关信息和内容。
1. 根据第三段中的The 2023 Forum will address the theme on speeding up the recovery from the COVID-19 and the full implementation (实施) of the 2030 Agenda for Sustainable Development.(2023年论坛的主题是加快从2019冠状病毒中复苏和全面落实2030年可持续发展议程。)可知,2023年ECOSOC青年论坛将会讨论全球从新冠病毒中复苏的问题。故选A。
2. 根据第六段中的The event will be held in a mixed way allowing for opportunities for in-person and virtual participation. Participants will also be able to ask questions via social media.(该活动将以一种混合的方式举行,允许面对面和虚拟参与的机会,参与者还可以通过社交媒体提问。)可知,参加者可以在线上和线下参加这次活动。故选C。
3. 根据最后一段中的I also strongly advise them to be open to hearing everyone's different opinions from an objective point of view.(我还强烈建议他们从客观的角度听取每个人的不同意见。)可知,2022年的参加者还建议他们听取各种不同的声音,考虑各方面不同的意见。故选A。
4~6.【答案】C、B、C
【解析】【文章大意】这是一篇记叙文。短文叙述了作者小时候撇石头的经历帮助作者获得了很多锦标赛大奖。
1. 根据第一段中的It was satisfying making them dance on the surface. That perfect skim, where the stone glided (滑行), brought me fantastic feelings-and still does.(让他们在水面上跳舞是一种满足。石头滑过的那一段完美的飞掠,给我带来了奇妙的感觉——现在仍然如此。)可知,作者小时候喜欢撇石头是因为石头滑过带来的满足感。故选C。
2. 根据第三段中的I returned to the 2018 championship, hoping for a champion.(我重返2018年的锦标赛,希望能获得冠军)和倒数第二段中的the feeling of winning made a decision for me.(胜利的感觉让我做了一个决定。)可知,对胜利的渴望帮助作者赢得了每一个冠军。故选B。
3. 根据最后一段内容(我坚信凡事都要试一试。我已经42岁了,在这个阶段成为世界冠军是相当不可能的。它告诉我,那天跳进车里是值得的,也证明了从海滩上扔泥石的童年没有浪费。)可知,短文叙述了作者小时候撇石头的经历帮助作者获得了很多锦标赛大奖。所以能推理出更大的舞台已经为那些敢于尝试的人准备好了。故选C。
7~10.【答案】A、B、D、B
【解析】【文章大意】本文是篇说明文。文章通过科研团队对小丑鱼和小热带鱼的实验和研究,说明了海洋酸化正在搅乱海洋生物的思维,对它们产生了较大的影响。
1. 根据第一段中的After hatching, they swim out to the open sea to finish developing. After maturing, the young fish swim back, during which they have to avoid a "wall of mouths" by sensing the unfriendly smells.(孵化后,它们游到大海中完成发育。成年后,幼鱼会游回来,在此期间,它们必须通过感知不友好的气味来避开“口墙”。)可知,小丑鱼出生后要独自去大海中生活,成年后才能回来,这期间随时都有被其他生物吃掉的可能,有着较大的风险,可谓是一场有风险的旅程。故划线词“treacherous”表示“有风险的”。故选A。
2. 根据第二段中的When we introduced friendly and unfriendly...They could sense chemical signals but couldn't recognize the meaning of them.(当我们同时引入友好和不友好的气味时,鱼似乎无法下定决心,花同样的时间游向一种气味和另一种气味。他们可以感知化学信号,但不能识别它们的意义。)可知,鱼在酸性水中,不太能识别不友好的具有威胁性的气味。故选B。
3. 根据第三段中的But maintaining normal functions such as avoiding danger is a different challenge.(但维持正常功能,如避免危险则是另一种挑战。)和最后一段中的Although the science is still new, the results appear to be lining up: ocean acidification is messing with fish's minds.(虽然这门科学还是新兴的,但结果似乎是一致的:海洋酸化正在扰乱鱼类的思维。)可知,海洋酸化正在扰乱鱼的思维,使鱼很难避免危险,所以恢复鱼的思维的可能性还有待观察。故选D。
4. 根据第一段中的With ocean acidification, a trend that is occurring worldwide, scientists began to wonder what might happen to fish's sense of smell.(随着全球范围内海洋酸化的趋势,科学家们开始想知道鱼类的嗅觉会发生什么。)和最后一段中的Although the science is still new, the results appear to be lining up: ocean acidification is messing with fish's minds.(虽然这门科学还是新兴的,但结果似乎是一致的:海洋酸化正在扰乱鱼类的思维。)及全文内容可知,本文主要讲述了海洋酸化对海洋生物产生的影响。故选B。
11~14.【答案】C、D、A、D
【解析】【文章大意】这是一篇说明文。文章介绍了在X背景下发明和创新会带来令人鼓舞的前景。
1. 根据第一段内容(一个蛇机器人设计师,一个技术专家,一个超维物理学家和一个记者走进一个房间。记者转向人群问道:我们应该在海洋上盖房子吗?就像一个智库小组一样,该团队的成员为这个关键问题想出了超乎想象的答案,比如可以在沿海城市中心一个接一个停放的自动驾驶住宅单元。)以及第二段中的The setting is X...the biggest self-driving-car company.(背景是X,这家企业每年会考虑100多个创意,涉及的领域从清洁能源到人工智能。虽然只有一小部分成为具有深远创造力的“项目”,但这些项目的存在最终将改变世界,就像最大的自动驾驶汽车公司Waymo一样。)可知,前两段的主要目的是揭示疯狂想法的重要性。故选C。
2. 根据第四段中的Today, we fail to give attention to planting the seeds of this kind of ambitious research, while complaining about the harvest.(今天,我们在抱怨收获的同时,没有注意播下这种雄心勃勃的研究的种子。)和But the breakthroughs come from patient and curious scientists, not the rush to market(但这些突破来自耐心和好奇的科学家,而不是急于上市。)可知,创新的收获在于一些雄心勃勃的研究。故选D。
3. 根据最后一段中的As for me, both of them are essential for technology...But they're reaching. At least someone is.(对我来说,这两者对于技术来说都是必不可少的,尽管它们相对独立。事实上,我不认为 X 是种植者或者收割者。这就像建造更高的梯子。没有人确切地知道,如果有的话,这些企业的员工会在这些梯子上发现什么。但是他们在努力。至少有人是。)可推知,关于约翰 · 费尔纳德对技术的看法,作者是支持的。故选A。
4. 根据第二段中的The setting is X...the biggest self-driving-car company.(背景是X,这家企业每年会考虑100多个创意,涉及的领域从清洁能源到人工智能。虽然只有一小部分成为具有深远创造力的“项目”,但这些项目的存在最终将改变世界,就像最大的自动驾驶汽车公司Waymo一样。)可知,X可能会带来令人鼓舞的前景。故选D。
15~19.【答案】A、F、E、G、B
【解析】【文章大意】这是一篇说明文。文章主要介绍了随着年龄的增长我们问问题的欲望不断减少的原因和和应对策略。
1.
上文Once upon a time, we were all question-asking experts.(曾几何时,我们都是提问专家。)提到了曾经的我们都爱问问题,并列举了一系列曾经问过的问题。下文Why does the child's urge to ask questions grow inactive in so many adults?(为什么在许多成年人身上,孩子问问题的冲动变得不活跃了?)提到了现在情况发生了转折,A选项中inquiring与上文的问题呼应,disappear与下文的inactive呼应,所以A选项“然后,在某个时刻,我们的探究欲望消失了。”承上启下,符合题意。故选A。
2. 下文And we recognize that society rewards the people who propose to have the answers.(我们认识到,社会会奖励那些提出答案的人。)提到了那些提出答案的人,F选项中what we know与下文那些提出答案的人呼应,所以F选项“我们学会在就业市场上用我们知道的东西来推销自己,而不是我们不知道的东西。”能引起下文内容,符合语境。故选F。
3. 下文We can be braver about asking questions in public and encouraging others to pursue their curiosity, too. In that encouragement, we help create an environment where those around us feel safe to ask questions.(我们可以更勇敢地在公共场合提问,也可以鼓励其他人追求自己的好奇心。在这种鼓励下,我们帮助创造一种环境,让我们周围的人可以放心地提出问题。)提到了创造提问的环境,E选项中mosphere是关键词,与下文的environment相呼应,所以E选项(因此,要恢复我们的探究精神,一个方法就是改变氛围。)能概括下文内容。故选E。
4. 上文We can also practice asking questions of and for ourselves by keeping a running list of questions in a journal.(我们也可以通过在日记中记录问题列表来练习问自己问题。)提到了通过日记记录问题,G选项中a place是关键词语上文的journal呼应,所以G选项“这不仅消除了提问的公共性,还为我们提供了一个实验的场所。”能承接上文内容,符合语境。故选G。
5. 上文In the world that does not look much as it did years ago, we must ask questions.(在这个与多年前大不相同的世界里,我们必须提出问题。)提到了世界的变化,B选项中change是关键词与上文呼应,所以B选项“这是一种高回报的行为,尤其是在变革时期。”能呼应上文内容。故选B。
20~29.【答案】B、A、C、D、A、A、D、C、B、B
【解析】【文章大意】本文是一篇记叙文。作者疲于工作,边午饭边工作,又想辞职,但是考虑到经济情况,很难找到工作。后来和一个女孩的谈话改变了看法,认为午饭时间就应该是自己的时间。逐渐调整了心态:不能改变环境,但可以改变对待生活的态度。
1. 句意:和许多公司一样,我的公司为了削减成本,没有在员工离职时补人。A.counted数数;B.cut削减;C.paid支付;D.raised筹集。根据本句中“by not replacing people as they left”可知,此举是为了削减成本。故选B。
2. 句意:我感觉被困住了。A. trapped受困的;B. fearful害怕的;C. shocked震惊的;D. hurt受伤的。根据前文“I wanted to quit, but given the economy, it was hard to find another job.”可知,作者想辞职,但是考虑到经济情况,很难找到工作,这是进退两难的困境。故选A。
3. 句意:后来和一个六岁女孩的谈话改变了我的看法。A. work工作;B. way方法;C. view观点;D. plan计划。根据后文“If we can't change our (10) , we can change our attitude.”可知,作者的观点发生了变化:不能改变环境,但可以改变对待生活的态度。故选C。
4. 句意:这也是我的回答。A. decision决定;B. explanation解释;C. secret秘密;D. answer回答。根据前文“I grasped a sandwich as I tried to finish my work during lunch.”和"What's your favorite subject?""Lunch."以及后文At lunch, I could talk with my friends, draw pictures or play games. There were no adults to tell me what to do. The time was mine.可知,作者因为工作陷入困境,不得不边午饭边工作,小女孩的回答解决了他的困扰,同时是也作者的内心所想,认为午饭时间就应该是自己的时间。故选D。
5. 句意:所以我决定接受它。A. take接受;B. make制作;C. find找到;D. stop停止。根据前文“I knew I was entitled to a lunch break at work.”以及前后的因果关系可知,作者知道自己有权在工作时间享用午餐,作者准备接受并享用这项权利。故选A。
6. 句意:我们的办公室位于市中心,我开始探索这个地区。A. explore探索;B. measure衡量;C. develop发展;D. identify确认。根据后文“A few blocks away was an art museum with free admission. At the end of another street, I was surprised to discover some horses eating grass in a field.”可知,作者在这个区域探索发现了自己之前未曾注意的生活。故选A。
7. 句意:在午餐时间开始观光时,同事们对我投来了一些不愉快的目光,但我选择忽略它们。A. innocent无辜的;B. determined下定决心的;C. sympathetic同情的;D. unpleasant令人不愉快的。根据本句中“but I chose to ignore them”可知,前后为转折关系,同事们对作者投来了一些不愉快的目光,但是作者选择忽视。故选D。
8. 句意:事实上,我惊讶地看到他们中的一些人开始在午餐时间把工作放在一边。A. carry on继续;B. take over接管;C. put aside把……放在一边;D. go through经历。根据后文“we started inviting each other out for walks and discovered we had other topics of conversation beyond the common complaints about work.”作者和同事出去散步,除了对工作的常见抱怨,我们还有其他话题可以聊,可以推知,作者发现同事中的一些人开始在午餐时间把工作放在一边。故选C。
9. 句意:渐渐地,我们开始邀请对方出去散步,并发现除了对工作的常见抱怨之外,我们还有其他话题可以聊。A. Generally笼统地;B. Gradually逐渐地;C. Accidentally偶然地;D. Obviously明显地。根据前文“In fact, I watched in amazement that some of them started to (8) their work during lunch.”以及后文“we started inviting each other out for walks and discovered we had other topics of conversation beyond the common complaints about work”可知,作者和同事们一开始在午餐时间把工作放在一边,然后开始邀请对方出去散步,聊天。前后为时间上的递进关系。故选B。
10. 句意:如果我们不能改变环境,我们可以改变我们的态度。A. strategies策略;B. circumstances环境;C. responsibilities责任;D. principles原则。根据前文“I wanted to quit, but given the economy, it was hard to find another job. I felt (2) .”和“Our office was located in the downtown and I set out to (6) the area.”可知,作者想辞职,但是考虑到经济情况,很难找到工作,但是作者通过探索生活,午饭时间休息不工作,逐渐调整自己的心态:不能改变环境,我们可以改变态度。故选B。
30.【答案】【小题1】
had seen
【小题2】
how
【小题3】
filling
【解析】1. 句意:在一个普通的春日,我们正在欣赏他最喜欢的电影之一,他以前看过很多次。根据后文many times before可知表示“过去的过去”应用过去完成时。故填had seen。
2. 句意:突然,他站了起来,紧紧地抱住我。你可以想象我有多兴奋。引导宾语从句,表示“多么激动”应用how excited。故填how。
3. 句意:虽然只是一个拥抱,但它对我来说意义重大,让我充满了巨大的喜悦。分析句子结构可知fill与逻辑主语hug构成主动关系,故用动词的-ing形式作状语。故填filling。
31.【答案】【小题1】
whose
【小题2】
carried
【小题3】
finest
【解析】1. 句意:今年,以“读中国”为主题的第十三届中国图书展于1月24日在全球85家书店举行。分析句子可知,该句为非限制性定语从句,从句中缺少定语,因此需使用关系代词whose引导。故填whose。
2. 句意:此次图书展将会开展书展、文艺演出等多种活动。分析句子可知,空处与主语it构成主动关系且陈述过去事实,因此可使用过去式。故填carried。
3. 句意:总的来说,今年的书展向当地读者展示了最新、最好的中国出版物,让他们更好地了解新时代的中国。由并列连词and和the newest(最新的)可知,空处应使用形容词最高级。故填finest。
32.【答案】【小题1】
created
【小题2】
natural
【小题3】
from
【小题4】
is trained
【解析】1. 句意:ChatGPT是Open AI创造的一种新的人工智能技术。分析句子结构可知,create与逻辑主语a new artificial intelligence technology构成被动关系,故用动词的-ed形式作定语。故填created。
2. 句意:它使机器能够以自然和对话的方式理解和回应人类的对话。修饰名词way应用形容词natural,作定语。故填natural。
3. 句意:虽然它看起来很有知识,但它远非完美。短语far from表示“远非”。故填from。
4. 句意:它无法回答关于最近发生的事情的问题,因为它使用的是2021年及之前的数据。分析句子可知,主语与谓语构成被动关系;且结合语境可知,此处陈述客观事实,应用一般现在时的被动语态;主语为it,谓语用单数,故填is trained。
33.【答案】【小题1】It found that humans and primates comfort one another and demonstrate care in a similar way.
【小题2】It symbolizes safety and love which are important to both children and adults.
【小题3】Touch has the great power to give people who suffer from "touch hunger" strong emotional experiences, but a brief touch like a handshake is too light to convey love and care.
According to the passage, even a brief touch like a handshake is enough to convey love and care.
【小题4】I often write notes to people I love. For example, I often write notes to remind my family to put on their coats on cold days, expressing my care and love. When reading the warm Words, they feel loved and cared./I often have little conversations with my loved ones. Talking with my parents after sch1ool can help relieve their tiredness from work. Besides, I prepare gifts for them on special occasions. The handmade gifts convey my appreciation for what they have done for me.
【解析】1. 【文章大意】这是一篇说明文。研究发现,触摸给人带来安全感;当人们难过时,触摸给人以安慰和安定的感觉。
根据第二段前三句One famous study...that humans and primates comfort one another and demonstrate care in a similar way.(一项著名的研究调查了人们如何回应他们附近遭遇不幸的人的视频。研究人员观察了它们与受害者的互动,并与非人类灵长类动物的行为进行了比较。研究发现,人类和灵长类动物以类似的方式相互安慰并表现出关心。)可知,研究发现,人类和灵长类动物以类似的方式相互安慰并表现出关心。故答案为It found that humans and primates comfort one another and demonstrate care in a similar way.。
2. 根据第三段前三句Another study found that...and this is actually one of the most important aspects for development as a child.(另一项研究发现,当悲伤或不适的病人的丈夫或妻子伸出手握住他们的手时,就像魔法一样,他们会安定下来,悲伤也会减少。也许我们不应该感到惊讶,因为我们多年来一直知道触摸的重要性。它象征着安全和爱,这实际上是孩子成长过程中最重要的方面之一。)可知,触摸象征着安全和爱,这对儿童和成人都很重要。故填It symbolizes safety and love which are important to both children and adults.。
3. 根据倒数第二段中的Actually, even the briefest touch from us can bring strong emotional experiences to the receivers who suffer from "touch hunger". A warm handshake, a gentle pat on the shoulder, or a high-five is often enough to convey love and care.(其实,即使是我们最简单的触碰,也能给“触碰饥饿”的受者带来强烈的情感体验。一个温暖的握手,轻轻拍一下肩膀,或者一个击掌,都足以传达爱和关心。)”可知,即使是一个简单的握手,也能传达爱和关心,因此所给句子中后半部分“but a brief touch like a handshake is too light to convey love and care”是错的。故答案为Touch has the great power to give people who suffer from "touch hunger" strong emotional experiences, but a brief touch like a handshake is too light to convey love and care.
According to the passage, even a brief touch like a handshake is enough to convey love and care.
4. 言之有理即可。例如:除了触摸,我们可以写温暖的字条来鼓励或提醒别人,让他们感到温暖;我们也可以和别人进行简短的对话,嘘寒问暖;我们也可以送别人小礼物来表达我们的关心。40词以内。故答案为I often write notes to people I love. For example, I often write notes to remind my family to put on their coats on cold days, expressing my care and love. When reading the warm Words, they feel loved and cared./I often have little conversations with my loved ones. Talking with my parents after sch1ool can help relieve their tiredness from work. Besides, I prepare gifts for them on special occasions. The handmade gifts convey my appreciation for what they have done for me.。
34.【答案】Dear Jim,
How is it going? We plan to form a research-based learning group. ①I wonder whether you would like to join us.
Our topic is "A Study on the Differences between British English and American English". We mainly focus on their differences in terms of spelling, pronunciation and vocabulary. ②The aim is to make us familiar with the underlying causes and effects of the differences so that we can gain a better understanding of the English language.
I know you are a native speaker of British English and you lived in America for several years, so hopefully you can give us some guidance during the research process. Please inform me of your decision by this Friday.
Your involvement will add much joy to our group. Looking forward to your reply.
Yours,
Li Hua
【解析】【思路点拨】
本文为一篇应用文写作,话题为假设你是红星中学高三学生李华。你正在组建与英语学习相关的研究性学习小组,请你用英文给你校交换生Jim写一封电子邮件,邀请他参加。写作时应注意词汇的选择和句式的准确使用,可适当添加一定的衔接词,以使行文连贯。
【结构布局】
引言:介绍写作目的
中心:介绍研究的具体内容和意义
结尾:说明邀请原因和其他相关事宜
【高分词汇】
①focus on集中于
②in terms of依据;按照
③inform sb. of sth.通知某人某事
【高分句型】
①I wonder whether you would like to join us.(whether引导的宾语从句)
②The aim is to make us familiar with the underlying causes and effects of the differences so that we can gain a better understanding of the English language.(不定式作表语;so that引导的目的状语从句)
【拓展词汇】
①arouse one's interest激发某人的兴趣
②desire to do渴望做
③confirm one's participation确认参加
【拓展句型】
①Not only does the activity broaden my horizons, but also inspires me to work harder.这次活动不仅让我大开眼界而且激励我更努力的学习。
②Not only does the activity arouse students' interest in reading, but it also cultivates students' love for knowledge.活动不仅激发了学生的阅读兴趣,而且培养了学生对知识的热爱。
2022-2023学年北京市朝阳区高一(下)期末英语试卷(含详细答案解析): 这是一份2022-2023学年北京市朝阳区高一(下)期末英语试卷(含详细答案解析),共25页。试卷主要包含了选词填空-句子,阅读理解,阅读七选五,完形填空,单句语法填空,单词拼写-单句,阅读表达,书面表达等内容,欢迎下载使用。
2022-2023学年北京市东城区高三(第1次)模考英语试卷含解析: 这是一份2022-2023学年北京市东城区高三(第1次)模考英语试卷含解析,共25页。试卷主要包含了0分)等内容,欢迎下载使用。
2022-2023学年北京市西城区高三(第1次)模考英语试卷含解析: 这是一份2022-2023学年北京市西城区高三(第1次)模考英语试卷含解析,共25页。试卷主要包含了0分)等内容,欢迎下载使用。

