


所属成套资源:2023年中考第一次模拟考试卷
2023年中考第一次模拟考试卷数学(武汉卷)(参考答案)
展开
这是一份2023年中考第一次模拟考试卷数学(武汉卷)(参考答案),共11页。试卷主要包含了选择题,填空题,解答题等内容,欢迎下载使用。
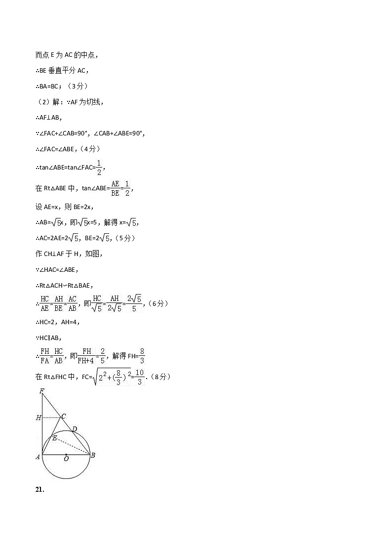
2023年中考数学第一次模拟考试卷数学·参考答案 第Ⅰ卷一、选择题(本大题共10小题,每小题3分,共30分.在每小题给出的四个选项中,只有一个选项是符合题目要求的)12345678910DACABACCDC第Ⅱ卷二、填空题(本大题共6小题,每小题3分,共18分)11. 12.1,1 13. 14.或 15. ①②④ 16.三、解答题(本大题共8小题,共72分.)17. 【详解】解:,由得,.由得,.(6分)解集在数轴上表示,如图所示,综合以上得,不等式组的解是.(8分)18.【详解】(1)根据,得到AE∥FG,则,由则即AB∥CD.(2)由AB∥CD,可得求出再由平行线的性质求出即可.(1)∵,∴AE∥FG.(2分)∴.∵,∴,∴AB∥CD.(3分)(2)∵AB∥CD,∴(4分)∵,∴,(5分)∵AB∥CD,∴.(8分)19.【详解】(1)解:(人,(人,(人,故答案为:2,20;(2分)(2)解:,故答案为:;(4分)(3)解:补全频数分布直方图如下:(6分)(4)解:(人.(8分)答:这所学校作业量适中的学生人数约为3200人.20.【详解】:(1)证明:连接BE.∵AB是⊙O的直径,∴∠AEB=90°,∴BE⊥AC,(2分)而点E为AC的中点,∴BE垂直平分AC,∴BA=BC;(3分)(2)解:∵AF为切线,∴AF⊥AB,∵∠FAC+∠CAB=90°,∠CAB+∠ABE=90°,∴∠FAC=∠ABE,(4分)∴tan∠ABE=tan∠FAC=,在Rt△ABE中,tan∠ABE==,设AE=x,则BE=2x,∴AB=x,即x=5,解得x=,∴AC=2AE=2,BE=2,(5分)作CH⊥AF于H,如图,∵∠HAC=∠ABE,∴Rt△ACH∽Rt△BAE,∴==,即==,(6分)∴HC=2,AH=4,∵HC∥AB,∴=,即=,解得FH=在Rt△FHC中,FC==.(8分)21.【详解】(1)解:如图1中,线段CE即为所求作.(2分)(2)如图1中,线段DN即为所求作.(4分)(3)如图2中,点G即为所求作.(6分)(4)如图3中,直线EQ即为所求作.(8分)22.【详解】(1)解:由题意,得,,顶点, 设直线解析式为,把,代入,得,解得:,∴直线解析式为;(3分)设抛物线的解析式为,把代入,得,解得:,∴抛物线的解析式为.(4分)(2)解:设,则,,,,,(6分)设,则,(7分)∵,∴当时,w有最小值,最小值为.(8分)即竖直钢索加在离立柱150米处,竖直钢索加在离立柱50米处,使得它们的高度之和最小,高度之和最小是米.(10分)23.【详解】(1)过点作于点,如图1,,,,,,.,,,.,,,,;(3分)(2).过点作交于点,过点作于点,如图2,,,,.,.,,,.在和中,,..,四边形为矩形,,.,,,.,即:..(6分)(3),,.是线段的中点,是等腰直角三角形,,.在和中,,...过点作于点,延长至使,则与关于对称,连接交于点,如图,则此时,取得最小值,过点作,交的延长线于点,,,,,..,四边形为矩形.,...的最小值为.(10分)24.【详解】(1)∵抛物线与x轴交于点A,B,与y轴交于点C,顶点为,∴设抛物线解析式为,∴,∴,∴抛物线解析式为;(3分)(2)令,解得或3,∴,∵抛物线与y轴交于点C,∴,对称轴为直线,设直线的解析式为,把的坐标代入得,∴,∴直线的解析式为,设,∴,∴,,∴,∵,即,解得或,∴或;(7分)(3)由图得,当点N经过抛物线顶点时,有最小值,∴,代入,得,解得,∴,令,解得或1,∴点M的横坐标为,∵直线轴,∴点T的横坐标为,设直线的解析式为,把坐标代入,得,解得,∴直线的解析式为,当时,,∴,∴.(12分)
相关试卷
这是一份2023年中考第一次模拟考试卷数学(新疆卷)(参考答案),共8页。试卷主要包含了选择题,填空题,解答题等内容,欢迎下载使用。
这是一份2023年中考第一次模拟考试卷数学(武汉卷)(全解全析),共31页。试卷主要包含了选择题,四象限,,解答题等内容,欢迎下载使用。
这是一份2023年中考第一次模拟考试卷数学(武汉卷)(考试版)A4,共10页。试卷主要包含了图所示的几何体的左视图是等内容,欢迎下载使用。